TRANSFORMASIZ q TransformsiZ Langsung q q Sifatsifat TransformasiZ





















































- Slides: 53
TRANSFORMASI-Z q Transformsi-Z Langsung q q Sifat-sifat Transformasi-Z Transformasi -Z Rasional Transformasi-Z Balik Transformasi-Z Satu Sisi
q TRANSFORMASI-Z LANGSUNG § Definisi : Contoh Soal 8. 1 Tentukan transformasi Z dari beberapa sinyal diskrit di bawah ini
Jawab:
Contoh Soal 8. 2 Tentukan transformasi Z dari beberapa sinyal impuls di bawah ini Jawab:
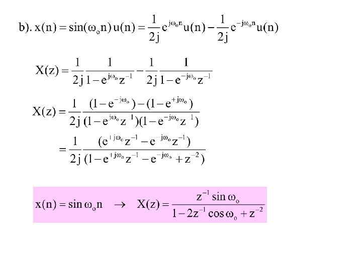
Contoh Soal 8. 3 Tentukan transformasi Z dari sinyal Jawab:
q SIFAT-SIFAT TRANSFORMASI-Z § Linieritas Contoh Soal 8. 4 Tentukan transformasi Z dari sinyal Jawab:
Contoh Soal 8. 5 Tentukan transformasi Z dari sinyal-sinyal di bawah ini : Jawab:
§ Scaling in the Z-domain Contoh Soal 8. 6 Tentukan transformasi Z dari sinyal-sinyal di bawah ini : Jawab:
§ Time Reversal Contoh Soal 8. 7 Tentukan transformasi Z dari sinyal Jawab:
§ Diferensiasi dalam domain z Contoh Soal 8. 8 Tentukan transformasi Z dari sinyal Jawab:
§ Konvolusi antara dua sinyal Contoh Soal 8. 9 Tentukan konvolusi antara x 1(n) dan x 2(n) dengan : Jawab:
q TRANSFORMASI Z RASIONAL § Pole dan Zero Pole : harga-harga z = pi yang menyebabkan X(z) = Zero : harga-harga z = zi yang menyebabkan X(z) = 0 § Fungsi Rasional
§ N(z) dan D(z) polinom
Contoh Soal 8. 10 Tentukan pole dan zero dari Jawab:
Contoh Soal 8. 11 Tentukan pole dan zero dari Jawab:
§ Fungsi Sistem dari Sistem LTI Respon impuls Fungsi sistem Persamaan beda dari sistem LTI :
Fungsi sistem rasional
pole-zero system Hal khusus I : ak = 0, 1 k N All-zero system Hal khusus II : bk = 0, 1 k M All-pole system
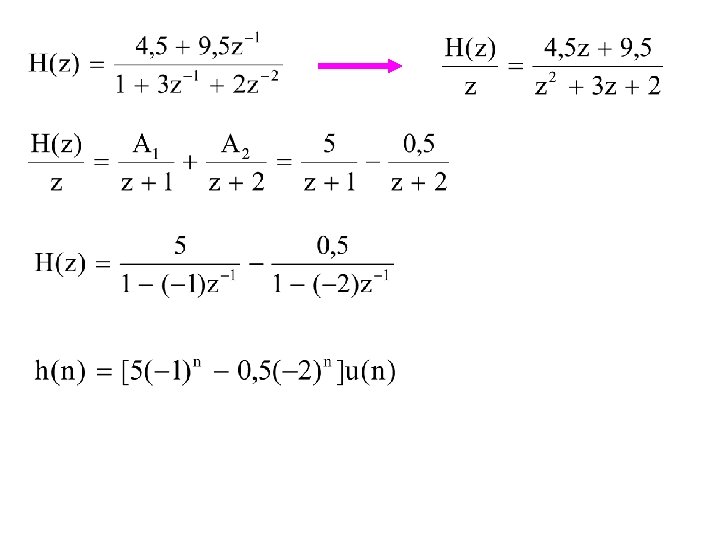
Contoh Soal 8. 12 Tentukan fungsi sistem dan respon impuls sistem LTI : Jawab:
q TRANSFORMASI -Z BALIK § Definisi transformasi balik Teorema residu Cauchy :
§ Ekspansi deret dalam z dan z-1 Contoh Soal 8. 13 Tentukan transformasi-z balik dari Jawab:
§ Ekspansi fraksi-parsial dan tabel transformasi-z Contoh Soal 8. 14 Tentukan transformasi-z balik dari Jawab:
Contoh Soal 8. 15 Tentukan respon impuls dari suatu sistem LTI (Linear Time Invariant) yang dinyatakan oleh persamaan beda : Jawab:
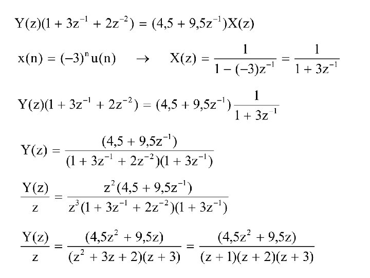
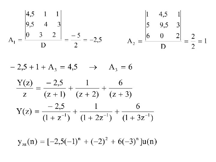
Contoh Soal 8. 16 Tentukan output dari suatu sistem LTI (Linear Time Invariant) yang dinyatakan oleh persamaan beda : dan mendapat input x(n) = (-3)nu(n) Jawab:
§ Pole-pole berbeda semua
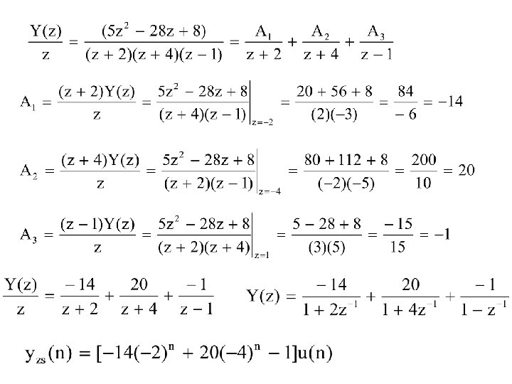
Contoh Soal 8. 17 Tentukan zero-state response dari suatu sistem LTI yang mendapat input x(n) = u(n) dan dinyatakan oleh persamaan beda : Jawab:
§ Ada dua pole yang semua
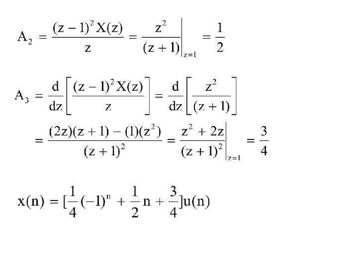
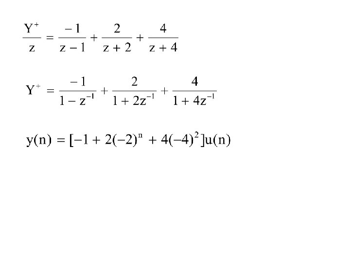
Contoh Soal 8. 18 Tentukan transformasi-Z balik dari : Jawab:
§ Pole kompleks
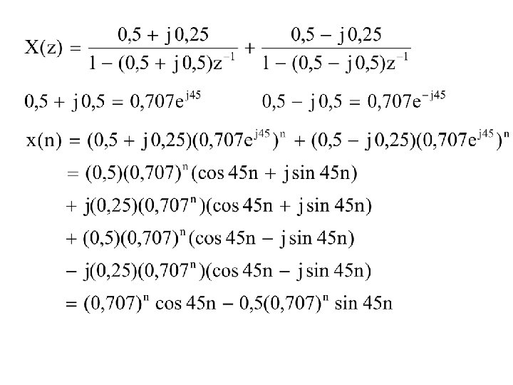
Contoh Soal 8. 19 Tentukan transformasi-Z balik dari : Jawab:
q. TRANSFORMASI-Z SATU SISI § Definisi : Contoh Soal 8. 20 Tentukan transformasi Z satu sisi dari beberapa sinyal diskrit di bawah ini
Jawab:
Contoh Soal 8. 21 Tentukan transformasi Z satu sisi dari beberapa sinyal impuls di bawah ini Jawab:
§ Time Delay Contoh Soal 8. 22 Tentukan transformasi Z satu sisi dari x 1(n) = x(n-2) dimana x(n) = anu(n ) Jawab:
§ Time advance Contoh Soal 8. 23 Tentukan transformasi Z satu sisi dari x 2(n) = x(n+2) dimana x(n) = anu(n ) Jawab:
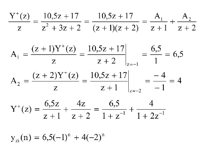
Contoh Soal 8. 24 Tentukan output dari suatu sistem LTI (Linear Time Invariant) yang dinyatakan oleh persamaan beda : dengan input x(n) = 0 Jawab:
Contoh Soal 8. 25 Tentukan output dari suatu sistem LTI yang mendapat input x(n) = u(n) dan dinyatakan oleh persamaan beda : Jawab: