Transformasi Laplace Xs xt xt 1Xs Transformasi Laplace

  • Slides: 17
Download presentation
Transformasi Laplace • X(s) = ζ[x(t)] • x(t) = ζ-1[X(s)]

Transformasi Laplace • X(s) = ζ[x(t)] • x(t) = ζ-1[X(s)]

Transformasi Laplace x(t) X(s) ROC δ(t) 1 Semua s u(t) tn u(t) e-at u(t)

Transformasi Laplace x(t) X(s) ROC δ(t) 1 Semua s u(t) tn u(t) e-at u(t) Cos ω0 t u(t) Sin ω0 t Re(s)>0 Re(s)+Re(a)>0 Re(s)>0

Sifat-sifat Transformasi Laplace Sifat x(t) X(s) Kelinearan a x(t) + b y(t) a X(s)

Sifat-sifat Transformasi Laplace Sifat x(t) X(s) Kelinearan a x(t) + b y(t) a X(s) + b Y(s) Penskalaan x(at) Geseran waktu x(t-a) e-sa X(s) Geseran frekuensi e-at x(t) X(s+a) Konvolusi waktu x(t) * y(t) X(s) Y(s)

Sifat-sifat Transformasi Laplace Sifat x(t) Konvolusi frekuensi (modulasi) x(t) y(t) Diferensiasi frekuensi (-t)n x(t)

Sifat-sifat Transformasi Laplace Sifat x(t) Konvolusi frekuensi (modulasi) x(t) y(t) Diferensiasi frekuensi (-t)n x(t) X(s) Diferensiasi waktu Untuk TL dua sisi

Sifat-sifat Transformasi Laplace Sifat Integrasi waktu Teorema nilai awal Teorema nilai akhir x(t) X(s)

Sifat-sifat Transformasi Laplace Sifat Integrasi waktu Teorema nilai awal Teorema nilai akhir x(t) X(s)

Pecahan Parsial X(s) • Jika X(s) berbentuk pecahan parsial yang pembilang dan penyebutnya berbentuk

Pecahan Parsial X(s) • Jika X(s) berbentuk pecahan parsial yang pembilang dan penyebutnya berbentuk polinomial • Derajat P(s) < derajat Q(s)

Pecahan Parsial X(s) • Akar-akar Q(s) berbeda, tidak ada yang sama x(t) menjadi :

Pecahan Parsial X(s) • Akar-akar Q(s) berbeda, tidak ada yang sama x(t) menjadi :

Pecahan Parsial X(s) • Jika pi = pk*, maka penyelesaian dapat diselesaikan secara khusus

Pecahan Parsial X(s) • Jika pi = pk*, maka penyelesaian dapat diselesaikan secara khusus yang menghasilkan x(t) merupakan fungsi Cosinus dan Sinus

Pecahan Parsial X(s) • Q(s) mempunyai akar rangkap

Pecahan Parsial X(s) • Q(s) mempunyai akar rangkap

Sistem LTI dengan penyelesaian Pers Diferensial koefisien konstan x(t) Sistem LTI • Sistem mempunyai

Sistem LTI dengan penyelesaian Pers Diferensial koefisien konstan x(t) Sistem LTI • Sistem mempunyai hubungan y(t)

Sistem LTI dengan Pers Diferensial • Supaya dapat diselesaikan, sistem harus diketahui 1. x(t)

Sistem LTI dengan Pers Diferensial • Supaya dapat diselesaikan, sistem harus diketahui 1. x(t) untuk t>0 2. y(0 -), y´(0 -), . . . , y(n-1)(0 -) 3. x(0 -), x´(0 -), . . . , x(m-1)(0 -) Secara fisis butir 3 sulit dipenuhi, oleh karena itu hanya dipakai keadaan awal x(0), x´(0). . . Walaupun ini juga beresiko menyebabkan hasil tidak tepat 100%.

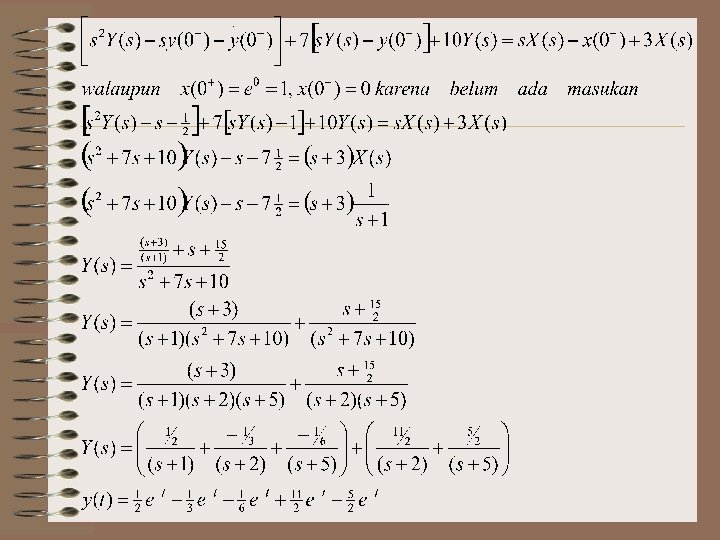
Transformasi Laplace • Contoh soal

Transformasi Laplace • Contoh soal

Transformasi Laplace • Contoh soal

Transformasi Laplace • Contoh soal

Transformasi Laplace

Transformasi Laplace

Transformasi Laplace

Transformasi Laplace

Transformasi Laplace

Transformasi Laplace