Transformadores Ideales Ley de Faraday Ley de Ampere

  • Slides: 18
Download presentation
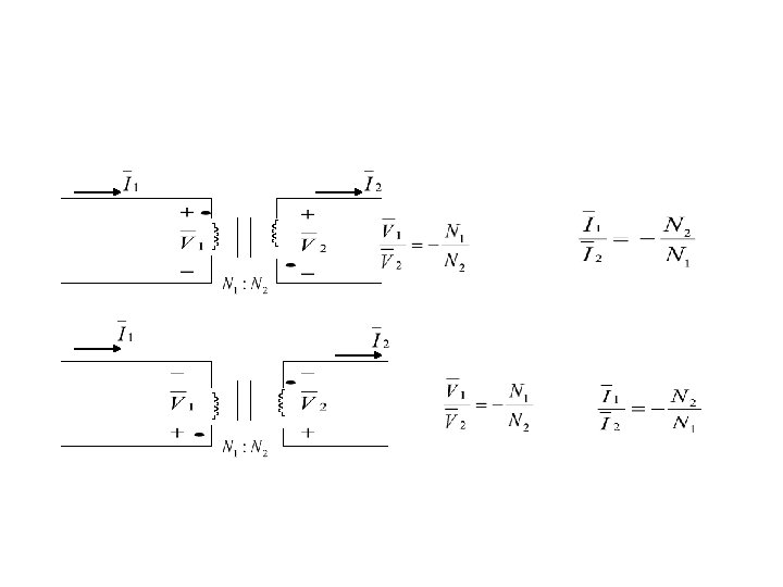
Transformadores Ideales Ley de Faraday

Transformadores Ideales Ley de Faraday

Ley de Ampere No hay pérdidas Primario Secundario Se pone la fuente Se pone

Ley de Ampere No hay pérdidas Primario Secundario Se pone la fuente Se pone la carga

Clasificación Según el número de vueltas N 1, N 2 a los transformadores se

Clasificación Según el número de vueltas N 1, N 2 a los transformadores se los clasifica como: • Aislador(N 1=N 2) • Elevador(N 1 < N 2) • Reductor(N 1 > N 2)

Transformador Aislador (N 1=N 2) Si:

Transformador Aislador (N 1=N 2) Si:

Transformador Elevador (N 1<N 2)

Transformador Elevador (N 1<N 2)

Transformador Reductor (N 1>N 2)

Transformador Reductor (N 1>N 2)

Impedancia Reflejada Para transferir al primario Si:

Impedancia Reflejada Para transferir al primario Si:

Resumen

Resumen

Ejercicio + a) Calcular la potencia activa consumida por cada una de las resistencias

Ejercicio + a) Calcular la potencia activa consumida por cada una de las resistencias de 10 ohmios. b) Potencia entregada por la fuente. c) Si A se conecta con C, B con D, calcular la potencia activa en cada una de las resistencias de 10 ohmios.

a)

a)

b)

b)

c)

c)

Hallando V 10 sin usar mallas ni nodos Divisor de corriente

Hallando V 10 sin usar mallas ni nodos Divisor de corriente

Ejercicio Determine: a) Todos los voltajes y las corrientes marcadas. b) Potencia consumida por

Ejercicio Determine: a) Todos los voltajes y las corrientes marcadas. b) Potencia consumida por cada resistencia. c) Potencia entregada por la fuente.

Ejercicio

Ejercicio

Ejercicio. - Primer tema TERCERA EVALUACION– II TERMINO 2007 -2008 En el siguiente circuito

Ejercicio. - Primer tema TERCERA EVALUACION– II TERMINO 2007 -2008 En el siguiente circuito a) Calcular los voltajes fasoriales V 1, V 2, V 3, V 4 b) Calcular la corriente que circula por las resistencias R 1 y RL c) Calcula la potencia consumida por las resistencias R 1 y RL, y la potencia suministrada por la fuente.

Ejercicio. - Primer tema TERCERA EVALUACION– III TERMINO 2005 -2006 Calcular la potencia que

Ejercicio. - Primer tema TERCERA EVALUACION– III TERMINO 2005 -2006 Calcular la potencia que entrega la fuente y la consumida por cada una de las resistencias