Traffic Engineering Studies Volume Studies Chapter 4 Dr
































- Slides: 32
Traffic Engineering Studies (Volume Studies) Chapter 4 Dr. TALEB AL-ROUSAN
Introduction o o Traffic volume studies are conducted to collect data on the number of vehicles and/or pedestrians that pass a point on the highway during a specified time period. Time period varies from 15 minutes to one year depending on the use of data. The data may be put into subclasses: n Directional movement. n Occupancy rates. n Vehicle classification. n Pedestrian age. Volume studies are usually conducted when certain volume characteristics are needed, some of which are:
Volume Characteristics 1 - Average Annual Daily Traffic (AADT): o Is the average of 24 -hr counts collected every day in the year. o AADT used in several traffic and transportation analysis that includes: n Estimate of highway user revenues. n Computation of accident rates in terms of accident per 100 million vehicle-miles. n Establishment of traffic volume trends. n Development of freeways and major arterial street system. n Development and improvement of maintenance programs.
Volume Characteristics 2 - Average Daily Traffic (ADT) o Is the average of 24 -hr counts collected over a number of days (> 1 and <1 year) o ADT may be used for: n n n Planning of highway activities. Measurements of current demands. Evaluation of existing traffic flow.
Volume Characteristics 4 - Peak Hour Volume (PHV) o Is the maximum number of vehicle that pass a point during a period of 60 consecutive minutes. o PHVs are used for: n Functional classification of highways. n Design of the geometric characteristics of highways (e. g. number of lanes, intersection signalization and channelization). n Capacity analysis. n Development of parking regulations. n Development of traffic operation programs (e. g. oneway street system or traffic routing).
Volume Characteristics 4 - Vehicle Classification (VC) o Records volume with respect to the type of vehicles (e. g. passenger cars, two-axle trucks, …) o VCs are used for: n n Design of geometric characteristics (turning radii requirements, maximum grades, lane width, …). Capacity analysis (ESAL). Adjustment of traffic counts obtained by machines. Structural design of highway pavements and bridges.
Volume Characteristics 5 - Vehicle Miles of travel (VMT) o Is a measure of travel a long a section of road. o VMT = (ADT or average week day volume) x (length of roadway in miles) o VMTs are used for: n Base for allocating resources for maintenance and improvement of highway.
Methods of Conducting Volume Counts o o Traffic volume counts are conducted using two basic methdos: 1. Manual 2. Automatic Manual Methods: n One or more persons recording observed vehicles using a counter. n More than one counter can be used for turning movements at intersections and types of vehicles. One counter can be used for each type. n Disadvantages: o o o Labor-intensive thus can be expensive. Subject to the limitations of human factor. Can not be used for long periods of counting.
Methods of Conducting Volume Counts o Automatic Method n some automatic counters use counting methods that involve the laying on the road: o o n surface detector (e. g. pneumatic road tubes) (phoenix vehicle traffic classifier). Subsurface detectors (e. g. magnetic or electric contact devices) (Hi-Star NC-90 A) These detect the passing vehicles and transmit the information to a recorder placed at the side of the road
Types Volume Counts o 1. Depending on the use of data, different types of counts available: Cordon: o For information on vehicle accumulation within an area such as CBD during a specific time o Area of study is cordoned off by an imaginary closed loop (cordon area) o Intersection of each street crossing the cordon line is taken as a count station. o Volume counts of vehicle or persons entering and leaving the cordon area are taken. o Information collected is useful for planning parking facilities, updating and evaluating traffic operational techniques, and making long-range plans.
Types Volume Counts 2. Screen Line Counts: o o o The study area is divided into large sections by running imaginary lines (screen lines) across it. Screen lines Some times may be natural or man made barriers (rivers, railway tracks). Traffic counts are then taken where roads cross the screen line. Screen lines are chosen such that they are not crossed more than once by the same street. It facilitate the detection of variations in the traffic volume and traffic flow direction due to changes in the land-use patterns of the area.
Types Volume Counts 3. Intersection Counts: o Are taken to determine the vehicle classification of through at turning movements at intersections. o Data used to determine phase length and cycle times for signalized intersections, and in design of improvements to intersections. 4. Pedestrian Volume Counts: o Are made at locations such as subway stations, midblocks, and crosswalks. o Used for evaluating of existing or proposed pedestrian facilities (pedestrian overpasses or underpasses). o Can be conducted using manual counters. o Also can be used for crash analysis, capacity analysis, and in determining minimum timings at signalized intersections.
Types Volume Counts 6. Periodic Volume Counts: o o o AADT requires continuous volume counts… expensive and not always feasible. To make reasonable estimate of traffic volume characteristics on area wide bases…periodic count are conducted (range from 15 minutes to continuous). Three types of periodic volume counts: o Continuous Counts: uses permanent stations and highways must be properly classified. Used for AADT, daily, weekly, and seasonal variation in traffic volumes o Control Counts: o Coverage Counts
Types Volume Counts 6. Periodic Volume Counts: o Control Counts: o o o control stations are strategically located. Used to count for seasonal and monthly variations of traffic characteristics so that expansion factors can be determined which can be used to determine year round average values from short counts. Major control counts: taken monthly, with 24 hr directional counts taken on at least three days (Tue, Wed, Thur), and also on (Sat & Sun) to oibtain information on weekends on major roads. Data collected give information regarding hourly, monthly, and seasonal variations of traffic characteristics Minor control counts: are five-day weekday counts taken every other month on minor roads. Coverage Counts
Types Volume Counts 6. Periodic Volume Counts: o Coverage Counts: o o Are used to estimate ADT, using expansion factors developed from control counts. Study area divided into zones with similar traffic characteristics. A 24 -hr non-directional weekday count is taken at least once every four years at each coverage station. Data indicate changes in area wide traffic characteristics.
Traffic Volume Data Presentation o 1. 2. 3. 4. Data collected from traffic counts can be presented in several ways depending on the type of counts conducted and primary use of data. Traffic flow maps: n show volumes on individual routes. n The volume of traffic on each route is presented by the width of a band. n See Figure 4. 12 Intersection summary sheet: See Figure 4. 13 Time-Based distribution chart: See Figure 4. 14 Summary Tables: See Table 4. 4
Example on Summary of Traffic Volume Data for A Highway Section PHV 430 ADT 5375 Vehicle Classification Passenger Cars 70% Two-Axle Trucks 20% Three-Axle trucks 8% Other Trucks 2%
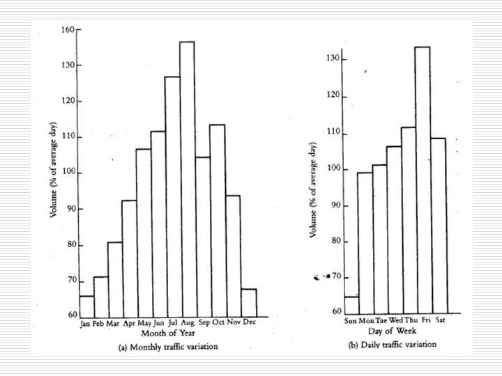
Traffic Volume Characteristics o o o Traffic volume varies from hour to hour, from day to day, and from month to month. It was identified that this variation is repetitive and rhythmic. These characteristics can be used for planning and projections for other time and place, and to estimate the accuracy of traffic counts. See Figure 4. 14 Monthly variations (Fig. 4. 14 a): n Low in Jan. & Feb. because of winter weather. n Peak is during August due to vacation traffic. n This indicate that traffic counts during these two periods can not be representative of the average annual traffic
Traffic Volume Characteristics o Daily variations (Fig. 4. 14 b): n n o Similar volumes on (Tue. , Wed. , and Thu. ). Peak is observed on Friday. Indicating that when short counts are planned, they should be held on (Tue. , Wed. , and Thu. ). When planning for weekend counts use Fridays and Saturdays. Hourly variations (Fig. 4. 14 c): n n n Very low volumes between (1: 00 and 5: 00 am). Peak volumes between (8: 00 and 9: 00 am) (12: 00 -1: 00 pm) and (4: 00 – 6: 00 pm). Work trips are the primarily responsible for the peaks.
Sample Size (Determination of Number of Count Stations) o o o The min. sample size depend on the precision level desired, which is commonly used as 95%. When sample size is less than 30 and selection of counting station is random…. Student (t) distribution may be used to determine sample size of each class of highway links. t-distribution is unbound, with a mean of zero, and variance the depends on degrees of freedom (n). Degrees of freedom is a function of the sample size [n = N-1]. The variance of (t-dist. ) is ( n/ n-2) which indicate that as (n) approach infinity the variance approach 1. Confidence levels for t-dist. are given in Appendix A.
Sample Size (Determination of Number of Count Stations) Cont. The min. sample number is given by: N = [ (t 2 a/2, N-1 (S 2/d 2)) /(1+(1/N) (t 2 a/2, N-1)(S 2/d 2))] n: min. number of count locations required. t: value of the student t-dist. With (1 -a/2) confidence level and (N-1) degrees of freedom. N: total number of links (population) from which a sample is to be selected. a: significance level. S: estimate of the standard deviation of the link volumes. d: allowable range of error. o To use the above equation estimates of the mean and std. dev. Of the link volumes are required. Which can be found be taking volume counts at few links or by using known value of other similar highways. o
Sample Size (Determination of Number of Count Stations) Cont. o o o The FHWA suggested that the Highway Performance Monitoring System (HPMS) sample design is more realistic to use. HPMS: is a stratified simple random sample based on AADT. The data are stratified by: n n Type of area (rural, urban, …) Functional class.
Adjustment of periodic Counts o o 1. o Expansion factors are used to adjust periodic counts, which can be determined either from continuous count stations or from control count stations. Expansion factor from continuous count station: 1. Hourly Expansion factor (HEF) 2. Daily Expansion Factor (DEF) 3. Monthly Expansion Factor (MEF) HEF = (total volume for 24 -hrperiod / volume for particular hour) Used to expand counts of durations shorter than 24 hrs to 24 hrs volumes by multiplying the hourly volume for each hour during the count period by the HEF for that hour and finding the means of these products.
Adjustment of periodic Counts Cont. 2. DEF = (Average total volume for week / Average volume for particular day) o Used to determine weekly volumes from counts of 24 hr duration by multiplying the 24 -hr volume by the DEF. 3. MEF = (AADT / ADT for particular month) o o o The AADT for a given year may be obtained from the ADT for a given month by multiplying this volume bt the MEF. See Table 4. 5 to 4. 7 for examples on expansion factors. See Example 4. 5