Topic 4 Organic and Biological Chemistry 4 1
Topic 4: Organic and Biological Chemistry 4. 1 Systematic Nomenclature
Key Ideas Intended Student Learning The presence or absence of functional groups in an organic compound determines its physical and chemical properties. Identify the functional groups in the structural formulae of alcohols, aldehydes, ketones, carboxylic acids, amines, esters, and amides. Organic compounds are named systematically to provide unambiguous identification. State, given its structural formula, the systematic name of an organic compound containing: up to eight carbon atoms arranged as either a straight chain or a branched chain one or more of the same functional groups (with these limited to hydroxyl, aldehyde, ketone, carboxyl, or primary amino groups). The structural formula of an organic compound can be deduced from its systematic name. Given its systematic name, draw the structural formula of an organic compound containing: up to eight carbon atoms arranged as either a straight chain or a branched chain one or more of the same functional groups (with these limited to hydroxyl, aldehyde, ketone, carboxyl, or primary amino groups). Esters are named as derivatives of a carboxylic acid. State the systematic names of methyl and ethyl esters of straight-chain acids containing up to eight carbon atoms. The structural formula of an ester can be deduced from its systematic name. Given its systematic name, draw the structural formula of an organic methyl or ethyl ester of a straight-chain acid containing up to eight carbon atoms.
Identify the functional groups in the structural formulae of alcohols, aldehydes, ketones, carboxylic acids, amines, esters, and amides. "A group of atoms or small groups of atoms which show a characteristic reactivity when treated with certain reagents and impart some characteristic chemical and physical properties to the main molecule is termed as function group. "
• State, given its structural formula, the systematic name of an organic compound containing: • up to eight carbon atoms arranged as either a straight chain or a branched chain • one or more of the same functional groups (with these limited to hydroxyl, aldehyde, ketone, carboxyl, or primary amino groups).
Key Ideas The melting points and boiling points of organic compounds that contain the same functional group increase with the length of carbon chain. Intended Student Learning Predict and explain the melting points and boiling points of an organic compound in comparison with those of other compounds that contain the same functional group. The boiling points of organic compounds that Predict and explain the boiling points of display hydrogen bonding between molecules alcohols in comparison with those of are higher than those of compounds of aldehydes and ketones of similar molar mass that do not display hydrogen bonding. The boiling points of esters are lower than those of isomeric acids because of the absence of hydrogen bonding between molecules of the ester. Predict and explain the boiling points of esters in comparison with those of isomeric acids. Organic compounds are generally insoluble in water. Explain the insolubility in water of most organic compounds. Hydrogen bonding between functional groups Predict and explain the solubility in water of and water can explain the solubility in water the smaller amino acids, carboxylic acids, of some smaller organic compounds. alcohols, aldehydes, and ketones. The solubility in water of an organic compound depends on its molar mass and the functional groups present. Predict and explain the relative solubilities in water of two organic compounds, given their structural formulae.
4. 2 Physical Properties The melting points and boiling points of organic compounds that contain the same functional group increase with the length of carbon chain. Predict and explain the melting points and boiling points of an organic compound in comparison with those of other compounds that contain the same functional group.
As the chain increases the molar mass increases. Therefore dispersion force increases
• Complete Q 4. 8 page 248
4 -2 Physical Properties bp and mp affected by secondary bonding – especially hydrogen bonds Need to assess relative polarity Remember H-Bonds between H and N, O or F Mark on polarity Prentice-Hall © 2002 General Chemistry: Chapter 27 Slide 12 of 76
The polarity of functional groups and boiling points • Aldehydes, alcohols and ketones Its important to work out the polarity of functional group and then explain how it affects the boiling point
• • Compound Propan-1 -ol Propanal Propanone For example: molar mass 60 58 58 Boiling point 97. 2 47. 9 56. 1 Alcohol has the highest- why? ? Functionol group present is polar hydroxyl group 0 -H. This polar groups form strong hydrogen bonds with each other. On the other hand Aldehyde and ketone both have polar carbonyl group. Dipole- dipole interactions between these polar groups
4 -2 Physical Properties In organic the H- bond will increase bp and mp. Bishop ch 14 p 555 -556 Prentice-Hall © 2002 General Chemistry: Chapter 27 Slide 15 of 76
4. 2 Physical Properties Assessing Polarity Glucose Least polar Most polar All six carbons, but different number of oxygens and hydroxy groups. 4, 5, 6 Trihydroxy 2, 3 dioxy hexanoic acid Prentice-Hall © 2002 General Chemistry: Chapter 27 Slide 16 of 76
• Complete Q 4. 9 pg 249
Organic compounds are generally insoluble in water. Explain the insolubility in water of most organic compounds. Hydrogen bonding between functional groups Predict and explain the solubility in water of and water can explain the solubility in water the smaller amino acids, carboxylic acids, of some smaller organic compounds. alcohols, aldehydes, and ketones. The solubility in water of an organic compound depends on its molar mass and the functional groups present. Predict and explain the relative solubilities in water of two organic compounds, given their structural formulae.
Esters and carboxylic acids • When comparing boiling points- clear pattern is evident • A carboxylic acid that has the same molecular formula as a particular group of esters is called an isomeric acid of those esters. In other words the esters and carboxylic acid form a group of structural isomers
For example: • Propanoic acid- CH 3 CH 2 COOH • Methyl ethanoate- CH 3 COOCH 3 • Ethyl methanoate- HCOOCH 2 CH 3 All have molecular formula of C 3 H 6 O 2 Therefore propanoic acid is isomeric acid of the two esters. Same molecular formula: same molar mass: same dispersion forces. HOWEVER – the different functional groups will have an effect on boiling points!
Continued…. • Ester- lower boiling point- functional group in ester have only one polar group as part of their structure O -C=O. therefore dipole interaction occurs between the groups • On the other hand • Carboxylic acid – higher boiling point- Carboxyl groups in carboxylic acid have both polar C=O and OH groups as part of their molecule. Hydrogen bonding operates between both of these groups
• Fig 4. 2 important
The solubility of organic compounds in water • Non polar organic compounds, such as hydrocarbons are not soluble in water because they cannot form hydrogen bonds with the polar water molecules. • Molecules with polar functional groups but long chains( 6 Carbon atoms or more) are classified as non polar because non polar C chain is the dominant feature • The influence of functional groups is increased when more than one functional group is present such as diols, dicarboxylic acids and diamines.
• Read page 251 -252 • Complete question on pg 253
An organic compound which has the general formula Cn. H 2 n+1 OH, they consist of hydrocarbon chains terminated by hydroxyl groups, O-H. Smaller members are water soluble, flammable and are useful as organic solvents and fuels. As with hydrocarbons, each member differs from the previous by an additional CH 2 - group.
Polar molecule +/ or able to make H-bonds with water Give the expected trend (lowest to highest) in boiling points for the following series of compounds :
4. 3. Alcohols • Alcohols are organic compounds which contain a hydroxyl (—OH) group covalently bonded to a carbon atom.
The boiling points of organic compounds that display hydrogen bonding between molecules are higher than those of compounds of similar molar mass that do not display hydrogen bonding. Predict and explain the boiling points of alcohols in comparison with those of aldehydes and ketones of similar molar mass.
Predict and explain the boiling points
Key Ideas Intended Student Learning Ethanol is produced by the fermentation of glucose, which can be derived by the hydrolysis of complex carbohydrates. Describe the conditions, and write equations, for the hydrolysis of polysaccharides and disaccharides, and the production of ethanol by the fermentation of glucose. Alcohols are classified as primary, secondary, or tertiary. Identify a hydroxyl group in an alcohol as primary, secondary, or tertiary, given the structural formula. Primary and secondary alcohols can be distinguished from tertiary alcohols by their reaction with acidified dichromate solution. Describe how primary and secondary alcohols can be distinguished from tertiary alcohols by their reaction with acidified dichromate solution. The type of product obtained by oxidising an alcohol depends on whether the alcohol is primary or secondary. Predict the structural formula(e) of the product(s) of dichromate oxidation of a primary or secondary alcohol, given its structural formula.
Ethanol is produced by the fermentation of glucose, which can be derived by the hydrolysis of complex carbohydrates. Describe the conditions, and write equations, for the hydrolysis of polysaccharides and disaccharides, and the production of ethanol by the fermentation of glucose.
4 -0 Hydration Reaction One way to form ethanol. Requires high temperature, high pressure and catalyst (phosphoric acid, sulfuric acid or aluminium oxide). Ethanol produced in this way is called synthetic or industrial ethanol Prentice-Hall © 2002 General Chemistry: Chapter 27 Slide 35 of 76
2 nd method- fermentation of glucose • Glucose is a monosaccharide which is obtained directly from fruits. • If there is disaccharides or polysaccharidesthese cannot undergo fermentation. Therefore undergoes hydrolysis first to form monosaccharide.
Equations: • Hydrolysis of polysaccharides to monosaccharides (C 6 H 10 O 5)n + n. H 2 O n. C 6 H 12 O 6 • Hydrolysis of disaccharides to monosaccharides C 12 H 22 O 11 + H 2 O 2 C 6 H 12 O 6 • Fermentation of glucose to ethanol and carbon dioxide
Special condition required: read page 254 ( important) • Optimum temperature for fermentation- btw 20 and 30. • Since fermentation is an exothermic process, it is necessary to cool the fermentation vessel to avoid excessive high temperature. • Acidic condition required ( changing of p. H of the solution affects the structure of the enzymes which in turn produces different fermentation products. • Fermentation is anaerobic process and oxygen must be totally excluded. If oxygen enters, ethanol undergoes oxidation to produce ethanal and ethanoic acid • Yeasts- micro organisms which produces enzymes to speed up fermentation. Once the concentration of alcohol exceeds 14% yeasts die.
• Complete Q 4. 11 page 255
Alcohols are classified as primary, secondary, or tertiary. Identify a hydroxyl group in an alcohol as primary, secondary, or tertiary, given the structural formula.
Alcohols are classified as primary, secondary and tertiary depending on the position of the hydroxyl group in the molecular structure
• Complete Q 4. 12 page 256
Primary and secondary alcohols can be distinguished from tertiary alcohols by their reaction with acidified dichromate solution. Describe how primary and secondary alcohols can be distinguished from tertiary alcohols by their reaction with acidified dichromate solution. Samples of alcohols are added to acidic dichromate solutions, which are orange. The rate at which the orange color converts to blue/green chromium (III) is compared for the three types of alcohols
Oxidation of Alcohols- acidified potassium dichromate Primary Alcohol Aldehyde Cr 2 O 72 -/H+/ CH 3 CH 2 OH → Carboxylic acid CH 3 COH → CH 3 COOH Ketone Secondary Alcohol CH 3 CHOHCH 3 → CH 3 COCH 3 Tertiary Alcohol CH 3 COHCH 3 → no reaction This lack of reaction with acidified potassium dichromate could be used to distinguish primary and secondary alcohols from tertiary alcohols Prentice-Hall © 2002 General Chemistry: Chapter 27 Slide 44 of 76
Note: • Primary & secondary alcohols and their oxidation products all have the same number of carbon atoms.
• Primary and secondary alcohols- reduce orange dichromate ions to green chromium (III) ions while tertiary alcohols do not react (no colour change). Oxidation num reduces from +6 to +3 • Note: alcohols and their oxidation products are colourless ; it is the reduction of dichromate to chromium (III) ions that is responsible for the colour change. • Half equation for the reduction of dichromate:
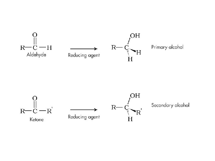
Given the structural formula of the aldehyde or ketone, draw the structural formula of the alcohol from which it could be produced by oxidation, and describe the necessary reaction conditions.
• Complete Question 4. 13 and 4. 14 page 257
4. 4 Aldehydes and Ketones Key Ideas Intended Student Learning Aldehydes and ketones are produced by the oxidation of the corresponding primary and secondary alcohols respectively. Aldehydes are readily oxidised and so must be distilled off from the reaction mixture as they are formed. Given the structural formula of the aldehyde or ketone, draw the structural formula of the alcohol from which it could be produced by oxidation, and describe the necessary reaction conditions. Aldehydes can be oxidised to form carboxylic acids or, in alkaline solutions, carboxylate ions. Draw the structural formula of the oxidation product of a given aldehyde in either acidic or alkaline conditions. Ketones cannot readily be oxidised. This difference in properties between aldehydes from ketones can be used to distinguish one from the other. Describe how acidified dichromate solution and Tollens’ reagent (ammoniacal silver nitrate solution) can be used to distinguish between aldehydes and ketones.
Aldehydes and ketones are produced by the oxidation of the corresponding primary and secondary alcohols respectively. Aldehydes are readily oxidised and so must be distilled off from the reaction mixture as they are formed. Given the structural formula of the aldehyde or ketone, draw the structural formula of the alcohol from which it could be produced by oxidation, and describe the necessary reaction conditions. • Aldehydes and ketones are organic compounds which incorporate a carbonyl functional group, C=O. The carbon atom of this group has two remaining bonds that may be occupied by hydrogen or alkyl or aryl substituents. If at least one of these substituents is hydrogen, the compound is an aldehyde. If neither is hydrogen, the compound is a ketone.
Aldehydes and ketones • One thing in common? ? • Difference?
Preparation of aldehydes and ketones - fig 4. 7
Oxidation of aldehydes by two ways
Oxidation of aldehydes by two ways 1. Aldehydes heated with acidified potassium dichromate, undergo oxidation to carboxylic acid ( orange dichromate ions reduced to green chromate ions)
2 nd way 2. Known as silver mirror test or tollen’s reagent Process • aldehydes undergo oxidation to carboxylate ions when heated with ammoniacal silver nitrate solution (Tollen’s reagent). Oxidising agent is silver diammine ion which is reduced to metallic silver and this forms a deposit on the inside of the reaction vessel. The formation of silver mirror is a positive test for the preence of an aldehyde functional group in an organic compound
Oxidation The presence of that hydrogen atom makes aldehydes very easy to oxidise. Or, put another way, they are strong reducing agents.
The electron-half-equation for the reduction of of the diamminesilver(I) ions to silver is: Combining that with the half-equation for the oxidation of an aldehyde under alkaline conditions: . . . gives the overall equation:
Using Tollens' reagent (the silver mirror test) to distinguish between an aldehyde and a ketone To carry out the test, you add a few drops of the aldehyde or ketone to the freshly prepared reagent, and warm gently in a hot water bath for a few minutes. Ketone- No change in the colourless solution. In aldehydethe colourless solution produces a grey precipitate of silver, or a silver mirror on the test tube. Aldehydes reduce the diamminesilver(I) ion to metallic silver. Because the solution is alkaline, the aldehyde itself is oxidised to a salt of the corresponding carboxylic acid.
• Complete Q 4. 15 – 4. 17 page 260
Using acidified potassium dichromate(VI) solution A small amount of potassium dichromate(VI) solution is acidified with dilute sulphuric acid and a few drops of the aldehyde or ketone are added. If nothing happens in the cold, the mixture is warmed gently for a couple of minutes - for example, in a beaker of hot water. ketone. No change in the orange solution. aldehyde. Orange solution turns green. The orange dichromate(VI) ions have been reduced to green chromium(III) ions by the aldehyde. In turn the aldehyde is oxidised to the corresponding carboxylic acid. The electron-half-equation for the reduction of dichromate(VI) ions is: Combining that with the half-equation for the oxidation of an aldehyde under acidic conditions: . . . gives the overall equation:
• Step One: Grain Receiving, Storing and Milling • We receive corn by rail and by truck, at which point we inspect, weigh and unload the corn in a receiving building and then transfer it to storage bins. On the grain receiving system, a dust collection system limits particulate emissions. Truck scales and a rail car scale weigh delivered corn. Corn unloading and storage systems include independent unloading legs and concrete and steel storage bins. From its storage location, corn is conveyed to scalpers to remove debris before it is transferred to hammermills or grinders where it is ground into a flour, or "meal. "
• Step Two: Conversion and Liquefaction, Fermentation and Evaporation Systems • The meal is conveyed into slurry tanks for enzymatic processing. The meal is mixed with water and enzymes and heated to break the ground grain into a fine slurry. The slurry is routed through pressure vessels and steam flashed in a flash vessel. This liquefied meal, now called "mash, " reaches a temperature of approximately 200°F, which reduces bacterial build-up. The sterilized mash is then pumped to a liquefaction tank where additional enzymes are added. This cooked mash continues through liquefaction tanks and is pumped into one of the fermenters, where propagated yeast is added, to begin a batch fermentation process. • The fermentation process converts the cooked mash into carbon dioxide and beer, which contains ethanol as well as all the solids from the original feedstock. We employ the batch fermentation process in which the mash is kept in one fermentation tank for approximately two days. Circulation through external plate and frame heat exchangers, designed for high solids content and easy cleaning, keeps the mash at the proper temperature.
• • Step Three: Distillation and Molecular Sieve After batch fermentation is complete, beer is pumped to the beer well and then to the distillation column to vaporize and separate the alcohol from the mash. The distillation results in a 96%, or 190 -proof, alcohol. This alcohol is then transported through a rectifier column, a side stripper and a molecular sieve system where it is dehydrated to produce 200 -proof anhydrous ethanol. The 200 -proof alcohol and up to 5% denaturant constitute ethanol ready for sale. • • Step Four: Liquid—Solid Separation System The residue corn mash from the distillation stripper, called stillage, is pumped into one of several decanter type centrifuges for dewatering. The water, or thin stillage, is then pumped from the centrifuges back to mashing as backset or to an evaporator where it is dried into a thick syrup. The solids that exit the centrifuges, known as "wet cake, " are conveyed to the wet cake storage pad or the gas-fired rotary dryer for removal of residual water. Syrup is added to the wet cake as it enters the dryer, where moisture is removed. The end result of the process is the production of dried distillers grains with solubles, or DDGS.
• Step Five: Product Storage • Final storage tanks hold the denatured ethanol product prior to being transferred to loading facilities for truck and rail car transportation. Each of our plants has one 190 -proof storage tank and one 200 -proof storage tank. Our Iowa Falls plant has two 750, 000 gallon final storage tanks with another two 750, 000 gallon final storage tanks to be be added in the fourth quarter of 2006. Our Fairbank plant has two 1, 500, 000 gallon final storage tanks. These final storage tanks will accommodate ten days of storage per plant.
Given the structural formula of the aldehyde or ketone, draw the structural formula of the alcohol from which it could be produced by oxidation, and describe the necessary reaction conditions.
Draw the structural formula of the oxidation product of a given aldehyde in either acidic or alkaline conditions.
Ald easy to oxidiz e Describe how acidified dichromate solution and Tollens’ reagent (ammoniacal silver nitrate solution) can be used to distinguish between aldehydes and ketones.
Predict and explain the melting points and boiling points of an organic compound in comparison with those of other compounds that contain the same functional group.
- Slides: 76