Thermochemistry HQ Enthalpy change equals to heat When












































- Slides: 44
Thermochemistry · H=Q Enthalpy change equals to heat · When chemical reactions occur, heat is released to (or absorbed from) the surroundings. · Under a constant applied pressure this heat is enthalpy change and is called the Enthalpy change of Reactions and given the symbol r. H.
· We can represent all chemical reactions as follows AB+CD=AC+BD
Hess’s Law · Hess’s Law states that the enthalpy change for a chemical reaction is the same whether it takes place in one or several steps. · r. H depends only on the initial and final states of the system and not on the path of the reaction. · Calculate the enthalpies of reactions which cannot be easily measured by designing reactions.
From the enthalpies of combustion given below, calculate the enthalpies of reaction, Hr(298 k) Nb 2 C(s)+C(s)=2 Nb. C(s) Thermodynamic data
For formation of AB from element A and B A+B=AB · is formation enthalpy and is normally listed for 298 K. · Standard enthalpies 298 k is taken as zero. of each element at
The standard enthalpy of reaction
Kirchhoff’s equation:
Example Given: CH 4+ theoretical air = products Reaction at standard reference state a) b) c) Enthalpy of reaction Enthalpy of combustion Heat of combustion CH 4+2(O 2+3. 76 N 2)=CO 2+2 H 2 O+7. 52 N 2
Q: If reaction takes place at 1000 K, what data should be obtained for calculating the enthalpy of reaction? How the calculation should be made?
The 1 st Law of thermodynamics · Conservation of energy, energy balances · Hess’s law and Kirchhiff Law etc. · Balance between the work done by a system w, the heat absorbed q and the internal energy change
The 1 st law is not concerned with the direction in which changes can occur. Changes in nature always occur in a specific direction
* The 2 nd law ~ the direction in which changes can occur. * Spontaneous change in a direction ~ increase in the stability of the system. * The state of maximum stability occurs when no further change take place- known as equilibrium. * For an isolated system equilibrium is reached when the entropy reach a maximum ie. S=maximum for equilibrium in isolated system
Second Law of Thermodynamics S>0 for spontaneous change in isolated system. Entropy is the ‘driving force’ for spontaneous change in isolated systems. What is Entropy? Entropy is Heat Temperature When qrev= heat absorbed when change is carried out reversibly (i. e. when work done is a maximum, wmax.
Approach to be used in this course: (i) We will identify four different types of changes which we can all agree would occur spontaneously in an isolated system. (ii) We will show that in each case when the change occurs there is an increase in entropy (iii) Thus, we will see that, even though we have separate explanations for each of the four changes, they all occur because they lead to an increase in entropy. (iv) Later on we will see that increases in entropy can also be identified with increases in randomness (or disorder)
The four changes we will consider are 1. 2. 3. 4. Expansion of gas into vacuum Mixing of ideal gases Flow of heat from hot body to a cold body Melting of cold ice in hot water. All these occur spontaneously, i. e. we don’t have to make them happen.
The 2 nd Law of thermodynamics says that each of these processes occurs because in each case there is an increase in entropy: i. e. Having agreed that all of the changes 1 -4 will occur spontaneously in an isolated system we now confirm by calculation that each is accompanied by an increase in entropy:
(i) Expansion of Gas into vacuum Have seen that for the reversible isothermal expansion of an ideal gas Where Vf =final volume, Vi=initial volume; If Vf>Vi, Ln(Vf/Vi)>0 S>0 Entropy increases.
Example: 1 mole gas of N 2 at 25 o. C expands from 1 l into vacuum to 2 l. Calculate the entropy change.
(i) Mixing of ideal gases For mixing of n. A moles of A and n. B moles of B, the increase in entropy is given by XA and XB <1 Log terms<0, S>0 Example 1 mole of O 2 and 1 mole of N 2 mix, calculate entropy change.
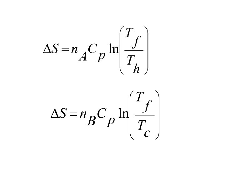
(i) Flow of heat down temperature gradient Need first to consider how entropy varies with temperature at constant pressure
If Cp is constant from Ti to Tf If the two blocks are same
Example Two pieces of blocks are at temperatures of 100 o. C and 0 o. C respectively. They have same heat capacity. Prove the entropy chance is positive when they are in contact.
Flow of heat down Temperature Gradient Hot Cold Hot T 1 T 2 T 1>Tf>T 2 100>50>0 o. C Tf
For T 1=100+273 K, T 2=273 K, and Tf=273+50 K Tf 2/T 1 T 2=3232/273 373 =1. 02>1 S>0
Melting of cold ice in warm water Consider dropping 10 grams of ice at 10 degrees below its freezing point (273 K) into 100 grams of water at 50 degrees above freezing point, 323 K. Step 1. Calculate the final temperature of the water. Assume specific heat of both ice and water to be 4. 184 JK-1 g-1 and that the latent heat of fusion of ice to be 334. 7 JK-1 g-1. Isolated system: no heat lost to surroundings
Apply Heat lost by water = Heat gain by ice Gives
To calculate the entropy change, we have to devise a reversible path to restore the system back to its initial state. In each step we have to calculate or
Reversible path (to restore system) 1. 2. 3. 4. Reduce T from 310. 3 K to 273 K (310 g water) Freeze 10 g water into ice Cool 10 g ice to 263 K Heat 100 water to 323 K System is now back in its initial state i. e. 10 g ice at 263 K and 100 g water at 323 K.
Calculation of entropy changes Step 1 Step 2 Step 3 Step 4.
Total Entropy change S (B->A)= S 1+ S 2+ S 3+ S 4 =-58. 94 -12. 26 -1. 56+70. 37=-2. 39 JK-1 S (A->B)=2. 39 JK-1
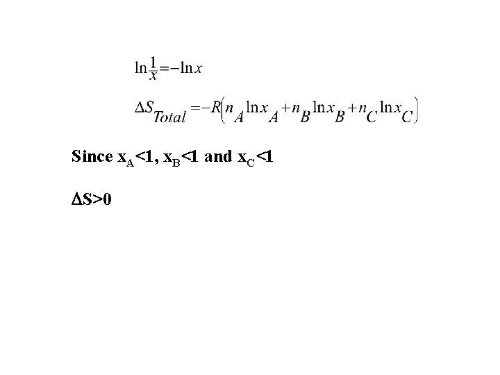
Entropy change when gases mix Since this change is spontaneous it must lead to a state of higher stability and must be accompanied by an increase in entropy ie Why? To understand this we need to apply Dalton’s Law of Partial Pressures- concerned with gas mixtures Consider a mixture of intert ideal gases (A+B+C+ …) containing n. A moles of A, n. B moles of B, n. C moles of C etc.
Pressure which A would exert if present in same volume at T Therefore, Dalton’s Law: Total pressure of a mixture of ideal gases is equal to sum of partial pressures.
Since Then Where xi = mole fraction of i in mixture.
Let us go back to case (i) where gas of a certain volume ex to vacuum. We saw
Since at constant T, PV=constant Allow us to calculate S from pressure changes (instead of volume changes)
We now apply the above to the mixing of gases Ie.
Gas A: Initial pressure P, final pressure PA Gas B: Gas C:
What is total entropy change?
Since x. A<1, x. B<1 and x. C<1 S>0