Theory of Approximation Orthogonal Basis Periodic Functions Least
Theory of Approximation: Orthogonal Basis, Periodic Functions
Least Square Solution: Normal Equations •
Orthogonal Polynomials: Tchebycheff •
Orthogonal Polynomials: Tchebycheff •
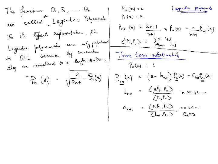
Orthogonal Polynomials: Legendre •
Orthogonal Polynomials: Legendre •
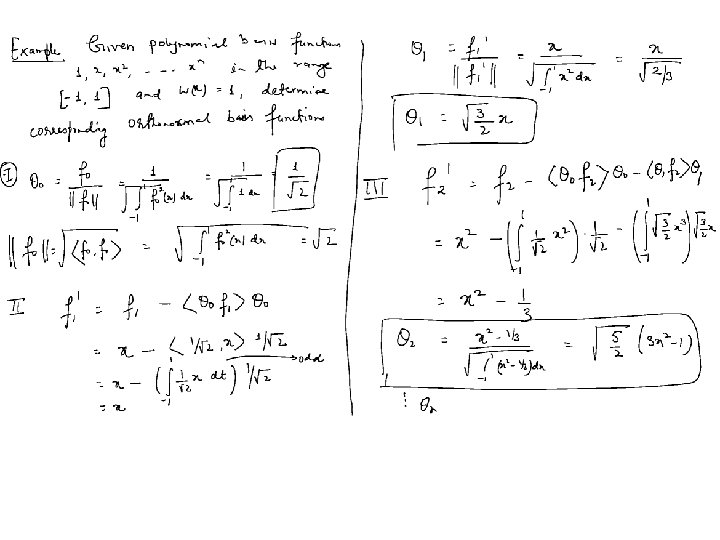
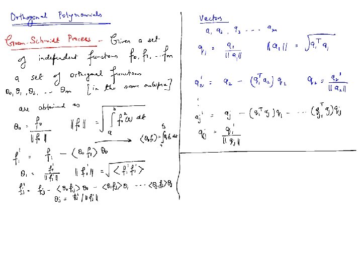
Orthonormal Polynomials: Gram •
Orthonormal Polynomials: Gram •
Least Square Solution: Example (Continuous) •
Periodic Functions •
Periodic Orthogonal Basis Functions •
Periodic Orthogonal Basis Functions •
Least Square Approximation of Periodic Functions •
Least Square Approximation of Periodic Functions •
Least Square Approximation of Periodic Functions •
Least Square Approximation of Periodic Functions •
Fourier Series Approximation: Alternate Basis Functions •
Least Square Approximation of Periodic Functions •
Least Square Approximation of Periodic Functions •
Fourier Series Approximation: Alternate Basis Functions •
The Fourier Series •
The Fourier Series •
The Discrete and Finite Fourier Series •
The Fourier Series •
Theory of Approximation: Interpolation Abhas Singh Department of Civil Engineering IIT Kanpur Acknowledgements: Profs. Saumyen Guha and Shivam Tripathi (CE)
Approximation of Continuous Function f(x) Complicated Analytical Function, Analog Signal from a measuring device Missing Data, Derivative, Integration for or tab (f): Interpolation Approximation of Discrete data or tab (f): Regression Discrete measurements of continuous experiments or phenomena Approximation of Discrete data or tab (f): Regression
Discrete Data •
Interpolation Polynomials ü Newton’s Divided Difference ü Lagrange Polynomials ü Gram’s polynomials (introduced earlier) ü Spline Interpolation: piecewise continuous, smoothing
Newton’s Divided Difference •
Newton’s Divided Difference •
- Slides: 34