The simple pendulum L m The simple pendulum
































- Slides: 32
The simple pendulum θ L m
The simple pendulum θ L m mg
The simple pendulum θ L m mg sinθ mg
The simple pendulum θ L x m mg sinθ mg
Some trig: θ L x m mg sinθ mg sin θ = x L For small angles ( < 5 0) θ = x in radians L
Some trig: sin θ = x L For small angles ( < 5 0) θ = x in radians L θ L + x m mg sinθ mg
Some trig: sin θ = x L For small angles ( < 5 0) θ = x in radians L θ L + x m mg sinθ mg Restoring force = - mg sinθ
Some trig: sin θ = x L For small angles ( < 5 0) θ = x in radians L θ L + Restoring force = - mg sinθ ( -ve sign indicates a left displacement and a right restoring force) x m mg sinθ mg
Some trig: sin θ = x L For small angles ( < 5 0) θ = x in radians L θ L + Restoring force = - mg sinθ ( -ve sign indicates a left displacement and a right restoring force) Restoring force x m mg sinθ mg = - mg x L
Some trig: sin θ = x L For small angles ( < 5 0) θ = x in radians L θ L + Restoring force = - mg sinθ ( -ve sign indicates a left displacement and a right restoring force) Restoring force x m = - mg x L From Newton’s second law mg sinθ mg F=ma
Some trig: sin θ = x L For small angles ( < 5 0) θ = x in radians L θ L + Restoring force = - mg sinθ ( -ve sign indicates a left displacement and a right restoring force) Restoring force x m = - mg x L From Newton’s second law F=ma mg sinθ mg ma = - mg x L
Some trig: sin θ = x L For small angles ( < 5 0) θ = x in radians L θ L + Restoring force = - mg sinθ ( -ve sign indicates a left displacement and a right restoring force) Restoring force x m = - mg x L From Newton’s second law F=ma mg sinθ mg ma = - mg x L
Some trig: sin θ = x L For small angles ( < 5 0) θ = x in radians L θ L + Restoring force = - mg sinθ ( -ve sign indicates a left displacement and a right restoring force) Restoring force x m = - mg x L From Newton’s second law F=ma mg sinθ and mg a= - gx L
Some trig: sin θ = x L For small angles ( < 5 0) θ = x in radians L θ L + Restoring force = - mg sinθ ( -ve sign indicates a left displacement and a right restoring force) Restoring force x m = - mg x L From Newton’s second law F=ma mg sinθ and mg a= - gx L Compare with SHM equation: a = - (2πf)2 x
and - gx L Compare with SHM equation: a = - (2πf)2 x θ L + x m mg sinθ mg a=
and - gx L Compare with SHM equation: a = - (2πf)2 x θ - (2πf)2 = - g L L + x m mg sinθ mg a=
and - gx L Compare with SHM equation: a = - (2πf)2 x θ - (2πf)2 = - g L L + x m mg sinθ mg a= f = 1 2π g L
and - gx L Compare with SHM equation: a = - (2πf)2 x θ - (2πf)2 = - g L L + x m mg sinθ mg a= f = 1 2π g L T = 2π L g
and - gx L Compare with SHM equation: a = - (2πf)2 x θ - (2πf)2 = - g L L + x m Discuss: mg sinθ mg a= effect of length, mass, gravity, angle of swing. f = 1 2π g L T = 2π L g
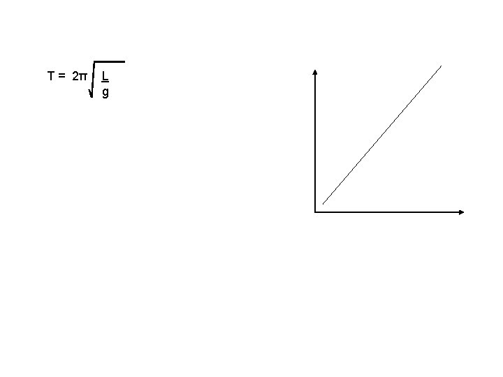
T = 2π L g
T = 2π L g Put in the form: y = m x + c
T = 2π L g Put in the form: y = m x + c T 2 = 4π2 L g + 0
T = 2π T 2 L g /s 2 Put in the form: y = m x + c T 2 = 4π2 L g + 0 L/m
T = 2π T 2 L g /s 2 Put in the form: y = m x + c T 2 = 4π2 L g Ts m mg + 0 L/m Max force on pendulum bob occurs as it passes through the equilibrium:
T = 2π T 2 L g /s 2 Put in the form: y = m x + c T 2 = 4π2 L g + 0 L/m Ts m mg Max force on pendulum bob occurs as it passes through the equilibrium: mv 2 r = Ts - mg
T = 2π T 2 L g /s 2 Put in the form: y = m x + c T 2 = 4π2 L g + 0 L/m Ts m mg Max force on pendulum bob occurs as it passes through the equilibrium: mv 2 r = Ts - mg but r = L so mv 2 L = Ts - mg