The Respiratory Chain Oxidative Phosphorylation BIOMEDICAL IMPORTANCE Capture
The Respiratory Chain & Oxidative Phosphorylation
BIOMEDICAL IMPORTANCE • Capture a far greater proportion of the available free energy – Generation of the high-energy intermediate, ATP • A number of drugs inhibit oxidative phosphorylation • Several inherited defects have been reported – Myopathy & encephalopathy & often have lactic acidosis.
• Energy capture – Substrate level – Oxidative phosphorylation at the respiratory chain level • Components – Respiratory chain – Oxidative phosphorylation – NAD-linked dehydrogenase – Flavoprotein- linked dehydrogenase
Mitochondria
Enzymes of Mitochondrial Subcompartments
• Foodstuffs - generation of reducing equivalents (2 H) - collected by the respiratory chain for oxidation - coupled generation of ATP. • The respiratory chain collects & oxidizes reducing equivalents • Conversion of food energy to ATP
• Sources of reducing equivalents – β-oxidation – the citric acid cycle – Extramitochondrial
Transport of reducing equivalents through the respiratory chain.
Components of the respiratory chain, collecting points
Model of complex I.
Reduction of ubiquinone (UQ)
• Oxidation-Reduction Reactions – electron donor (reductant) – electron acceptor (oxidant)
• Only electrons are transferred • both electrons & protons (hydrogen atoms) are transferred
standard Oxidation-Reduction Potentials for Various Biochemical Reactions
Components of the respiratory chain • arranged in order of increasing redox potential – NAD+/NADH to O 2/2 H 2 O – redox span of 1. 1 V • Redox carriers – NAD-linked dehydrogenase systems, through flavoproteins and cytochromes, to molecular oxygen – iron-sulfur protein (Fe. S; nonheme iron)
• Cytochromes – contain a heme group – Heme a, b, c • absorption band • type of heme group attached to the protein
Structure of ubiquinone (Q)
Iron-sulfur-protein complex (Fe 4 S 4)
• The respiratory chain is a proton pump
• The P/O ratio – a measure of the number of ATP molecules formed during the transfer of two electrons through all or part of the electron transport chain.
• enough energy to synthesize three molecules of ATP
Four protons are taken into the mitochondrion for each ATP exported
Model for mitochondrial F, Fo-ATP synthase. A rotating molecular motor.
Experimental evidence for rotation of y. and c·subunits
Respiratory Control
States of respiratory control
MANY POISONS INHIBIT THE RESPIRATORY CHAIN • Classification – Inhibitors of the respiratory chain – Inhibitors of oxidative phosphorylation • Atractyloside , transporter – Uncouplers of oxidative phosphorylation
Action of the uncoupler. 2, 4 -dinitrophenol,
Activation of UCP-1 by cold adaptation.
• Mitochondrial inner membrane contains substrate transport systems
Mitochondrial metabolite transporters.
• glycerol-phosphate shuttle • malate-aspartate shuttle
Glycerophosphate shuttle for transfer of reducing equivalents
Malate shuttle for transfer of reducing equivalents from the cytosol into the mitochondrion
MITOCHONDRIAL GENES AND DISEASES Subunits of Electron Transport Complexes Encoded by Human Mitochondrial DNA
MITOCHONDRIAL GENES AND DISEASES • Leber's Hereditary Optic Neuropathy – Single base changes • NADH: ubiquinone oxidoreductase (complex I) • sudden-onset blindness in early adulthood
MITOCHONDRIAL GENES AND DISEASES • Mutations in Cytochrome b – Exercise Intolerance – lowered activity of the cytochrome bc 1 complex • Mutation substituted an aspartate residue for a conserved glycine at position 290. • Guanine to adenine transition in the mt. DNA, – Missense mutations – Nonsense mutations
Generation of superoxide anions by mitochondrial electron transfer chain.
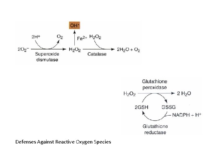
formation of reactive oxygen species superoxide. hydrogen peroxide. and hydroxyl radical.
Defenses Against Reactive Oxygen Species
- Slides: 51