The Normal Probability Distribution Points of Inflection s
The Normal Probability Distribution Points of Inflection s m - 3 s m - 2 s m - s m m +s m + 2 s m + 3 s
Main characteristics of the Normal Distribution • Bell Shaped, symmetric • Points of inflection on the bell shaped curve are at m – s and m + s. That is one standard deviation from the mean • Area under the bell shaped curve between m – s and m + s is approximately 2/3. • Area under the bell shaped curve between m – 2 s and m + 2 s is approximately 95%. • Close to 100% of the area under the bell shaped curve between m – 3 s and m + 3 s,
There are many Normal distributions depending on by m and s Normal m = 100, s =20 Normal m = 100, s = 40 Normal m = 140, s =20
The Standard Normal Distribution m = 0, s = 1
• There are infinitely many normal probability distributions (differing in m and s) • Area under the Normal distribution with mean m and standard deviation s can be converted to area under the standard normal distribution • If X has a Normal distribution with mean m and standard deviation s than has a standard normal distribution. • z is called the standard score (z-score) of X.
Converting Area under the Normal distribution with mean m and standard deviation s to Area under the standard normal distribution
Perform the z-transformation then Area under the Normal distribution with mean m and standard deviation s Area under the standard normal distribution
Area under the Normal distribution with mean m and standard deviation s s m
Area under the standard normal distribution 1 0
Using the tables for the Standard Normal distribution
Example Find the area under the standard normal curve between z = - and z = 1. 45 • A portion of Table 3: z 0. 00 0. 01 0. 02 0. 03 0. 04 0. 05 . . . 1. 4. . . 0. 9265 0. 06
Example Find the area to the left of -0. 98; P(z < -0. 98) P ( z < - 0. 98) = 0. 1635
Example Find the area under the normal curve to the right of z = 1. 45; P(z > 1. 45)
Example Find the area to the between z = 0 and of z = 1. 45; P(0 < z < 1. 45) • Area between two points = differences in two tabled areas
Notes Use the fact that the area above zero and the area below zero is 0. 5000 n n n the area above zero is 0. 5000 When finding normal distribution probabilities, a sketch is always helpful
Example: Find the area between the mean (z = 0) and z = -1. 26
Example: Find the area between z = -2. 30 and z = 1. 80
Example: Find the area between z = -1. 40 and z = -0. 50
Computing Areas under the general Normal Distributions (mean m, standard deviation s) Approach: 1. Convert the random variable, X, to its z-score. 2. Convert the limits on random variable, X, to their z-scores. 3. Convert area under the distribution of X to area under the standard normal distribution.
Example: A bottling machine is adjusted to fill bottles with a mean of 32. 0 oz of soda and standard deviation of 0. 02. Assume the amount of fill is normally distributed and a bottle is selected at random: 1) Find the probability the bottle contains between 32. 00 oz and 32. 025 oz 2) Find the probability the bottle contains more than 31. 97 oz Solutions part 1) When x = 32. 00 ; When x = 32. 025; 32. 00 - m 32. 00 - 32. 0 = = 0. 00 z= s 0. 02 z= 32. 025 - m 32. 025 - 32. 0 = = 1. 25 s 0. 02
Graphical Illustration: 32. 0 - 32. 0 X - 32. 025 - 32. 0 ö æ < < ÷ P ( 32. 0 < X < 32. 025) = P ç è ø 0. 02 = P ( 0 < z < 1. 25) = 0. 3944
Example, Part 2) x - 32. 0 3197. - 32. 0 ö æ > ÷ = P ( z > -150) P ( x > 3197. ) = Pç. è 0. 02 ø 0. 02 = 1. 0000 - 0. 0668 = 0. 9332
Combining Random Variables Quite often we have two or more random variables X, Y, Z etc We combine these random variables using a mathematical expression. Important question What is the distribution of the new random variable?
An Example Suppose that a student will take three tests in the next three days 1. Mathematics (X is the score he will receive on this test. ) 2. English Literature (Y is the score he will receive on this test. ) 3. Social Studies (Z is the score he will receive on this test. )
Assume that 1. X (Mathematics) has a Normal distribution with mean m = 90 and standard deviation s = 3. 2. Y (English Literature) has a Normal distribution with mean m = 60 and standard deviation s = 10. 3. Z (Social Studies) has a Normal distribution with mean m = 70 and standard deviation s = 7.
Graphs X (Mathematics) m = 90, s = 3. Z (Social Studies) m = 70 , s = 7. Y (English Literature) m = 60, s = 10.
Suppose that after the tests have been written an overall score, S, will be computed as follows: S (Overall score) = 0. 50 X (Mathematics) + 0. 30 Y (English Literature) + 0. 20 Z (Social Studies) + 10 (Bonus marks) What is the distribution of the overall score, S?
Sums, Differences, Linear Combinations of R. V. ’s A linear combination of random variables, X, Y, . . . is a combination of the form: L = a. X + b. Y + … where a, b, etc. are numbers – positive or negative. Most common: Sum = X + Y Difference = X – Y Others Averages = 1/3 X + 1/3 Y + 1/3 Z Weighted averages = 0. 40 X + 0. 25 Y + 0. 35 Z
Means of Linear Combinations If L = a. X + b. Y + … The mean of L is: Mean(L) = a Mean(X) + b Mean(Y) + … m. L = a m. X + b m. Y + … Most common: Mean( X + Y) = Mean(X) + Mean(Y) Mean(X – Y) = Mean(X) – Mean(Y)
Variances of Linear Combinations If X, Y, . . . are independent random variables and L = a. X + b. Y + … then Variance(L) = a 2 Variance(X) + b 2 Variance(Y) + … Most common: Variance( X + Y) = Variance(X) + Variance(Y) Variance(X – Y) = Variance(X) + Variance(Y)
Combining Independent Normal Random Variables If X, Y, . . . are independent normal random variables, then L = a. X + b. Y + … is normally distributed. In particular: X + Y is normal with X – Y is normal with
Example: Suppose that one performs two independent tasks (A and B): X = time to perform task A (normal with mean 25 minutes and standard deviation of 3 minutes. ) Y = time to perform task B (normal with mean 15 minutes and std dev 2 minutes. ) X and Y independent so T = X + Y = total time is normal with What is the probability that the two tasks take more than 45 minutes to perform?
The distribution of averages (the mean) • Let x 1, x 2, … , xn denote n independent random variables each coming from the same Normal distribution with mean m and standard deviation s. • Let What is the distribution of
The distribution of averages (the mean) Because the mean is a “linear combination” and
Thus if x 1, x 2, … , xn denote n independent random variables each coming from the same Normal distribution with mean m and standard deviation s. Then has Normal distribution with
Example • Suppose we are measuring the cholesterol level of men age 60 -65 • This measurement has a Normal distribution with mean m = 220 and standard deviation s = 17. • A sample of n = 10 males age 60 -65 are selected and the cholesterol level is measured for those 10 males. • x 1, x 2, x 3, x 4, x 5, x 6, x 7, x 8, x 9, x 10, are those 10 measurements Find the probability distribution of Compute the probability that is between 215 and 225
Example • Suppose we are measuring the cholesterol level of men age 60 -65 • This measurement has a Normal distribution with mean m = 220 and standard deviation s = 17. • A sample of n = 10 males age 60 -65 are selected and the cholesterol level is measured for those 10 males. • x 1, x 2, x 3, x 4, x 5, x 6, x 7, x 8, x 9, x 10, are those 10 measurements Find the probability distribution of Compute the probability that is between 215 and 225
Solution Find the probability distribution of
Graphs The probability distribution of the mean The probability distribution of individual observations
Normal approximation to the Binomial distribution Using the Normal distribution to calculate Binomial probabilities
Binomial distribution n = 20, p = 0. 70 Approximating Normal distribution Binomial distribution
Normal Approximation to the Binomial distribution • X has a Binomial distribution with parameters n and p • Y has a Normal distribution
Approximating Normal distribution P[X = a] Binomial distribution
P[X = a]
Example • X has a Binomial distribution with parameters n = 20 and p = 0. 70
Using the Normal approximation to the Binomial distribution Where Y has a Normal distribution with:
Hence = 0. 4052 - 0. 2327 = 0. 1725 Compare with 0. 1643
Normal Approximation to the Binomial distribution • X has a Binomial distribution with parameters n and p • Y has a Normal distribution
Example • X has a Binomial distribution with parameters n = 20 and p = 0. 70
Using the Normal approximation to the Binomial distribution Where Y has a Normal distribution with:
Hence = 0. 5948 - 0. 0436 = 0. 5512 Compare with 0. 5357
Comment: • The accuracy of the normal appoximation to the binomial increases with increasing values of n
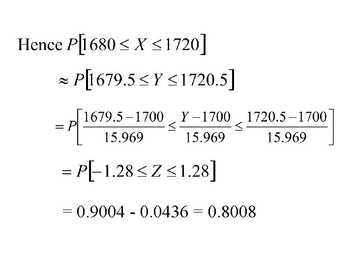
Example • The success rate for an Eye operation is 85% • The operation is performed n = 2000 times Find 1. The number of successful operations is between 1650 and 1750. 2. The number of successful operations is at most 1800.
Solution • X has a Binomial distribution with parameters n = 2000 and p = 0. 85 where Y has a Normal distribution with:
= 0. 9004 - 0. 0436 = 0. 8008
Solution – part 2. = 1. 000
- Slides: 59