The Hu Value Tool for Product Design Shadi

![Cultural Computing: Attitudes Norms Values Beliefs Etc. Karl MARX [1818 -1883] © Matthias Rauterberg, Cultural Computing: Attitudes Norms Values Beliefs Etc. Karl MARX [1818 -1883] © Matthias Rauterberg,](https://slidetodoc.com/presentation_image_h2/f42ff669c69a3e3d8b0c466cf06ca952/image-2.jpg)
















- Slides: 18
The Hu. Value Tool for Product Design Shadi KHEIRANDISH & Matthias RAUTERBERG Eindhoven University of Technology – TU/e The Netherlands 2020
Cultural Computing: Attitudes Norms Values Beliefs Etc. Karl MARX [1818 -1883] © Matthias Rauterberg, 2020 conscious unconscious Attitudes Norms Values Beliefs Etc. “It is not the consciousness of men that determines their being, but, on the contrary, their social being that determines their consciousness. ” Eindhoven University of Technology 2/20
Big Questions: How to design product/service systems based on human values? and How to convey these human values through their usage? © Matthias Rauterberg, 2020 3/20
Ph. D Scholarship 2013 -2018: Ministery of Science, Research and Technology in the Islamic Republic of Iran Shadi KHEIRANDISH Supervisory Team: Matthias RAUTERBERG and Ph. D Thesis, 2018 Maarten VERKERK Professor of Reformational Philosophy © Matthias Rauterberg, 2020 Stephan WENSVEEN Professor of Constructive Design Research Mathias FUNK Associate Professor of Design with and for Data and Systems Behavior 4/20
© Matthias Rauterberg, 2020 5/20
Step-1: Human Values © Matthias Rauterberg, 2020 6/20
Theoretical Approach Empirical Approach Step-2: Value Framework Design Dooyeweerd, H. (1955). A new critique of theoretical thought. Volume 2. The general theory of the modal spheres. H. J. Paris. Herman Dooyeweerd (7 October 1894, Amsterdam – 12 February 1977, Amsterdam) was a professor of law and jurisprudence at the Vrije Universiteit, Amsterdam from 1926 to 1965. © Matthias Rauterberg, 2020 7/20
Step-3: Value Categories Final Grouping (9 categories): © Matthias Rauterberg, 2020 8/20
© Matthias Rauterberg, 2020 9/20
(Table 4. 1 continued) © Matthias Rauterberg, 2020 10/20
Step-4: Value Cards © Matthias Rauterberg, 2020 11/20
Step-5: Hu. Value (N=45) (N=207) Using the tool for seeing anything (object/subject/situation) from a human value point of view © Matthias Rauterberg, 2020 12/20
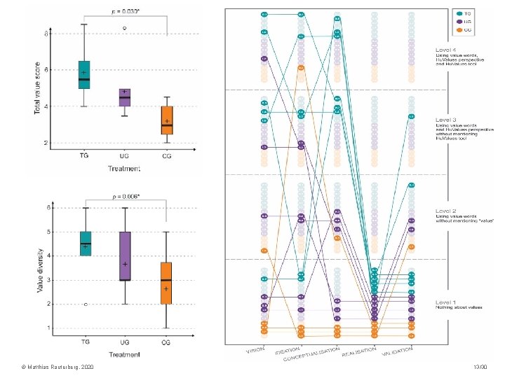
© Matthias Rauterberg, 2020 13/30
Hu. Value Using the tool for defining designer’s vision or identifying the user and other stakeholders © Matthias Rauterberg, 2020 14/30
Hu. Value Using the tool as criteria for evaluating existing products or new concepts © Matthias Rauterberg, 2020 15/20
Three main conclusions can be drawn: © Matthias Rauterberg, 2020 Eindhoven University of Technology 16/20
KHEIRANDISH, Shadi (2018). Hu. Value - A tool to enrich design concepts with human values. Ph. D Thesis, Eindhoven University of Technology (305 pages). (online) [tool] Kheirandish S. , Diggelen van M. , Rauterberg M. (under preparation). How to measure human values awareness. Kheirandish S. , Funk M. , Wensveen S. , Verkerk M. , Rauterberg M. (2020). A comprehensive value framework for design. Technology in Society, vol. 62, article 101302 (pp. 1 -12). (online) [IF=1. 670] Kheirandish S. , Funk M. , Wensveen S. , Verkerk M. , Rauterberg M. (2019). Hu. Value: A tool to support design students in considering human values in their design. International Journal of Technology and Design Education, pp. 1 -27. (online) [IF=1. 339] Kheirandish S. , Rauterberg M. (2020). How to utilize the Hu. Value tool for daily life product design. In: M. Rauterberg (ed. ), Culture and Computing - HCII C&C (Lecture Notes in Computer Science, LNCS vol. 12215; pp. 338 -357), Cham: Springer. Nature. (online) [IF=1. 174] Kheirandish S. , Funk M. , Wensveen S. , Verkerk M. , Rauterberg M. (2019). Hu. Value: A toolkit to facilitate considering various human values in a design process. In: S. Colombo, Y. Lim, et al. (eds. ), Design and Semantics of Form and Movements: Beyond Intelligence - De. SFor. M (pp. 246 -249), Cambridge: MIT design lab. (online) Kheirandish S. , Rauterberg M. (2018). Human value based game design. In: Proceedings of 2 nd National and 1 st International Digital Games Research Conference: Trends, Technologies, and Applications - DGRC 2018 (Tehran, Iran; pp. 6 -16), Piscataway: IEEE Press. (online) (BEST PAPER) Kheirandish, S. (2018). Hu. Value: A tool to enrich design concepts with human values. Poster presented in the Design Management Academy Collective (Professional Development Workshop 2018). RMIT Europe, Barcelona, Spain. Kheirandish, S. (2015). Tracking spirituality in human values research over the last century. Poster presented in the International Convention of Psychological Science (ICPS). Amsterdam, The Netherlands. © Matthias Rauterberg, 2020 17/20
Thank you for your attention. A door goes open to a new world… Hu. Value tool can be purchased via https: //huvaluetool. com/ © 2020 Culture and Computing 8 th International Conference, C&C 2020, Held as Part of the 22 nd HCI International Conference, HCII 2020, Copenhagen, Denmark, July 19– 24, 2020, Proceedings Editors: Rauterberg, Matthias (Ed. ) © Matthias Rauterberg, 2020 Eindhoven University of Technology 18/20