The Heat Conduction Equation P M V Subbarao
The Heat Conduction Equation P M V Subbarao Associate Professor Mechanical Engineering Department IIT Delhi An Easy Solution to Industrial Heat Transfer Problems…
The Heat Equation Incorporation of the constitutive equation into the energy equation above yields: Dividing both sides by r. Cp and introducing thermal diffusivity of the material given by
For constant thermal properties and no heat generation. This is often called the heat equation.
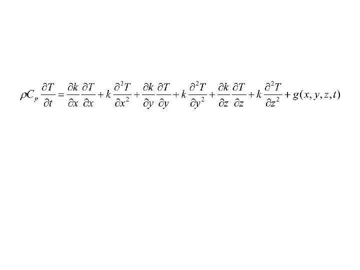
General conduction equation based on Cartesian Coordinates
For an isotropic and homogeneous material:
General conduction equation based on Polar Cylindrical Coordinates
Thermal Conductivity of Brick Masonry Walls
Thermally Heterogeneous Materials
Satellite Imaging : Remote Sensing
Ultra-sound Imaging of Brain
Steady-State One-Dimensional Conduction • For one-dimensional steady state conduction with no energy generation, the heat equation reduces to : • Assume a homogeneous medium with invariant thermal conductivity ( k = constant) : One dimensional Transient conduction with heat generation.
Steady-State One-Dimensional Conduction • For one-dimensional heat conduction in a variable area geometry. • We can devise a basic description of the process. • The first law in control volume form (steady flow energy equation) with no shaft work and no mass flow reduces to the statement that SQ = 0 for all surfaces. • From Fourier law of conduction, the heat transfer rate in at the left (at x) is:
Taylor’s Theory of Continuum • For a function converging & well behaving… • For a pure steady state conduction:
Substitute Fourier’s law of conduction:
If k is constant (i. e. if the material is homogeneous and properties o medium are independent of temperature), this reduces to Pure radial conduction through A Sphere.
Surface area of a sphere at r
Heat transfer through a plane slab
Isothermal Wall Surfaces
Wall Surfaces with Convection Boundary conditions:
Wall with isothermal Surface and Convection Wall Boundary conditions:
Electrical Circuit Theory of Heat Transfer • Thermal Resistance • A resistance can be defined as the ratio of a driving potential to a corresponding transfer rate. Analogy: Electrical resistance is to conduction of electricity as thermal resistance is to conduction of heat. The analog of Q is current, and the analog of the temperature difference, T 1 - T 2, is voltage difference. From this perspective the slab is a pure resistance to heat transfer and we can define
The composite Wall • The concept of a thermal resistance circuit allows ready analysis of problems such as a composite slab (composite planar heat transfer surface). • In the composite slab, the heat flux is constant with x. • The resistances are in series and sum to R = R 1 + R 2. • If TL is the temperature at the left, and TR is the temperature at the right, the heat transfer rate is given by
Wall Surfaces with Convection Boundary conditions: T 1 T 2 Rconv, 1 Rcond Rconv, 2
T 1 T 2 Rconv, 1 Rcond Rconv, 2
- Slides: 30