Tevenenova teorema Ciljevi Odreivanje parametara Tevenenovog generatora Primena

  • Slides: 30
Download presentation
Tevenenova teorema

Tevenenova teorema

Ciljevi • Određivanje parametara Tevenenovog generatora • Primena Tevenenove teoreme sa ciljem pojednostavljivanja analize

Ciljevi • Određivanje parametara Tevenenovog generatora • Primena Tevenenove teoreme sa ciljem pojednostavljivanja analize električnog kola

Za kolo prikazano na slici poznato je: E=10 V, Ig= 100 m. A, R

Za kolo prikazano na slici poznato je: E=10 V, Ig= 100 m. A, R 1=400 Ω, R 2=600 Ω, R 3=120 Ω, R 4=40 Ω, R 5=100 Ω. Odrediti ekvivalentan Tevenenov generator između tačaka A i B

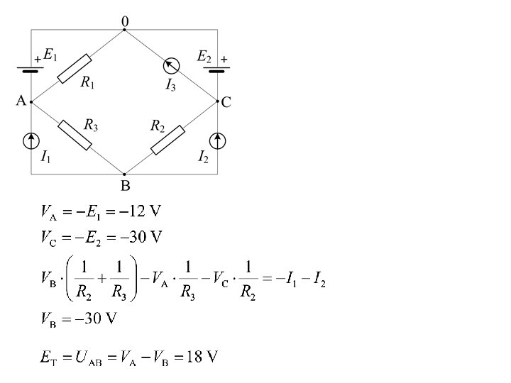
Za kolo prikazano na slici poznato je: E 1=12 V, E 2=30 V, I

Za kolo prikazano na slici poznato je: E 1=12 V, E 2=30 V, I 1=10 m. A, I 2=20 m. A, I 3=30 m. A, R 1=1200 Ω, R 2=200 Ω, R 3=600 Ω. Odrediti ekvivalentan Tevenenov generator između tačaka A i B

Za kolo prikazano na slici poznato je: E=20 V, I 1=10 m. A, I

Za kolo prikazano na slici poznato je: E=20 V, I 1=10 m. A, I 2=20 m. A, I 3=30 m. A, R 1=100 Ω, R 2=200 Ω, R 3=300 Ω, R 4=400 Ω. Odrediti ekvivalentan Tevenenov generator između tačaka A i B

Za električno kolo prikazano na slici poznato je: R 1 = 200 Ω R

Za električno kolo prikazano na slici poznato je: R 1 = 200 Ω R 2 = 60 Ω R 3 = 300 Ω R 4 = 10 Ω E 1 = 100 V E 2 = 120 V E 4 = 40 V Primenom Tevenenove teoreme naći struju kroz granu 4 i snagu koju razvija E 4.

Za električno kolo prikazano na slici poznato je: E 1=30 V, E 2=9 V,

Za električno kolo prikazano na slici poznato je: E 1=30 V, E 2=9 V, Ig=10 m. A, R 1=200 Ω, R 2=250 Ω, R 3=100 Ω, R 4=1000 Ω, R 6=600 Ω. Primenom Tevenenove teoreme naći snagu koja se razvija na otporniku R 1.

Za električno kolo prikazano na slici poznato je: E 1=45 V, E 2=20 V,

Za električno kolo prikazano na slici poznato je: E 1=45 V, E 2=20 V, Ig=10 m. A, R 1=25 Ω, R 3=100 Ω, R 4=60 Ω, R 6=40 Ω. Primenom Tevenenove teoreme naći snagu koju razvija strujni generator Ig.

Za električno kolo prikazano na slici poznato je: E 1=18 V, E 2=20 V,

Za električno kolo prikazano na slici poznato je: E 1=18 V, E 2=20 V, I 1=10 m. A, I 2=20 m. A, R 1=600 Ω, R 2=400 Ω, R 3=400 Ω, R 4=600 Ω. Primenom Tevenenove teoreme naći snagu koju razvija naponski generator E 2.

Za kolo prikazano na slici poznato je: E 1=18 V, E 2=20 V, I

Za kolo prikazano na slici poznato je: E 1=18 V, E 2=20 V, I 1=10 m. A, I 2=20 m. A, R 1=600 Ω, R 2=600 Ω, R 3=400 Ω. Odrediti ekvivalentan Tevenenov generator između tačaka A i B

Za kolo prikazano na slici poznato je: E 1=12 V, E 2=30 V, I

Za kolo prikazano na slici poznato je: E 1=12 V, E 2=30 V, I 1=10 m. A, I 2=20 m. A, I 3=30 m. A, R 1=1200 Ω, R 2=200 Ω, R 3=600 Ω. Primenom Tevenenove teoreme naći snagu koju razvija strujni generator I 1.

Za kolo prikazano na slici poznato je: E 1=42 V, E 2=30 V, I

Za kolo prikazano na slici poznato je: E 1=42 V, E 2=30 V, I 1=10 m. A, I 2=20 m. A, R 1=1200 Ω, R 2=200 Ω, R 3=600 Ω. Odrediti ekvivalentan Tevenenov generator između tačaka A i B