TERMODINAMIKA q PROSESPROSES TERMODINAMIKA Proses Isobarik 1 Tekanan
TERMODINAMIKA q PROSES-PROSES TERMODINAMIKA Ø Proses Isobarik (1) § Tekanan konstan Ø Proses Isotermis (2) § Temperatur kontan Ø Proses Adiabatis (3) § Tidak ada kalor yang hilang Ø Proses Isokorik (4) § Volume konstan
HUKUM TERMODINAMIKA PERTAMA Selisih antara Kalor yang diberikan dan kerja yang dilakukan selalu sama untuk setiap proses Ui = Energi dalam mula-mula Uf = Energi dalam akhir U = Perubahan energi dalam sistem Q = Panas yang diberikan pada sistem W = Kerja yang dilakukan oleh sistem
Ø PROSES ISOKHORIK § KERJA : § KALOR § PERUBAHAN ENERGI DALAM : n = Jumlah mol CV = Kapasitas panas volume konstan
Ø PROSES ISOBARIK § KERJA : § KALOR § PERUBAHAN ENERGI DALAM : R = Konstanta gas universal = 8. 31 J/mol. K CP = Kapasitas panas tekanan konstan
Ø PROSES ISOTERMIS § KERJA : § KALOR § PERUBAHAN ENERGI DALAM : § KALOR :
Ø PROSES ADIABATIK § KERJA :
§ PERUBAHAN ENERGI DALAM :
W Isokhorik Q U 0 Isobarik Isotermis Adiabatik 0 0
TEORI KINETIK GAS MOLEKUL GAS ENERGI DALAM CV Monoatomik He, Ne Diatomik O 2, H 2 Poliatomik 1. 5 n. RT 1. 5 R CV J/mol. K 12. 5 n. RT 2. 5 R 20. 8 3 n. RT 3 R 24. 9 NH 4 29. 0 CO 2 29. 7
MESIN-MESIN KALOR = Efisiensi mesin kalor
MESIN-MESIN PENDINGIN COP = Coefficient Of Performance mesin pendingin
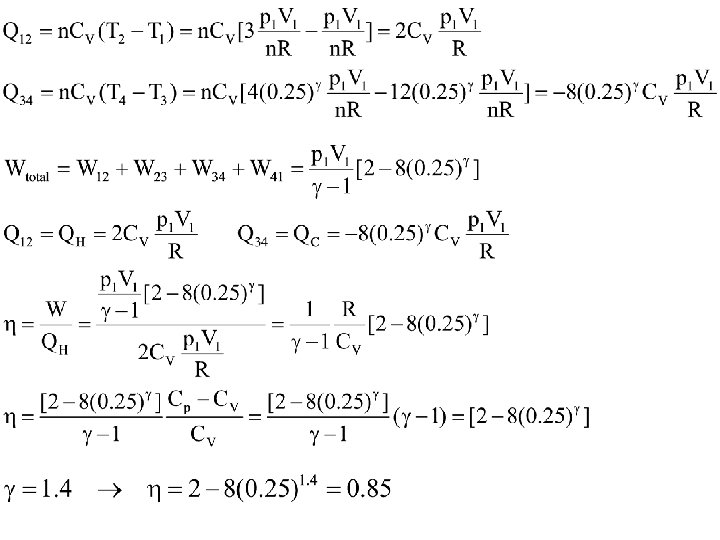
Contoh Soal No. 1 Pada gambar di bawah ini ditunjukkan siklus proses-proses yang terjadi pada mesin diesel (gasoline internal combustion engine). a). Tentukan tekanan dan temperatur pada setiap keadaan (titik) dalam p 1, V 1 dan perbandingan panas jenis . b). Hitung efisiensi dari mesin diesel ini Jawab : a). Titik 1 :
1 2 : Proses isokhorik Titik 2 :
1 2 : Proses adiabatik Titik 3 :
3 4 : Proses isokhorik 4 1 : Proses adiabatik Titik 4 :
Contoh Soal No. 2 Pada gambar di bawah ini ditunjukkan siklus mesin kalor yang disebut mesin kalor Carnot. Mesin ini bekerja pada dua temperatur TH dan TC. Nyatakan efisiensinya dalam TH dan TC Jawab : a b : Isotermis c d : Isotermis
b c : Adiabatis
d a : Adiabatis
Efisiensi mesin Carnot
HUKUM TERMODINAMIKA KEDUA • Tidak ada mesin kalor yang mempunyai efisiensi lebih besar dari mesin kalor Carnot • Tidak ada mesin pendingin yang mempunyai COP lebih besar dari mesin pendingin Carnot
Contoh Soal No. 3 Sebuah turbin pada suatu steam power plant mengambil uap air dari boiler pada temperatur 520 o. C and membuangnya ke condenser pada temperatur 100 o. C. Tentukan efisiensi maksimumnya. Jawab : Efisiensi maksimum = efisiensi Carnot Karena gesekan, turbulensi dan kehilangan panas Efisiensi aktual dari turbin disekitar 40 % Efisiensi teoritis dari mobil adalah disekitar 56 %. Eefisiensi aktualnya hanya disekitar 25 %
Contoh Soal No. 4 Seorang inventor menyatakan bahwa ia telah mengembangkan sebuah mesin kalor yang selama selang waktu tertentu mengambil panas sebesar 110 MJ pada temperatur 415 K dan membuang panas hanya sebesar 50 MJ pada temperatur 212 K sambil menghasilkan kerja sebesar 16. 7 kwh. Apakah saudara akan menginvestasikan uang saudara ? Jawab : Efisiensinya > Efisiensi mesin Carnot Jangan investasi
Contoh Soal No. 5 Sebuah mobil yang efisiensinya 22 % beroperasi pada 95 c/s dan melakukan kerja dengan daya sebesar 120 hp. a). Berapa kerja yang dilakukan mesin tersebut setiap siklus ? b). Berapa bayak kalor yang diserap dari reservoir setiap siklus ? c). Berapa banyak kalor yang terbuang setiap siklus Jawab : a). Kerja setiap siklus :
- Slides: 27