Teoria do Produtor Pedro Telhado Pereira O que






























































![Cme=3*(Q-10)^2+100 • C=Cme*Q=[3*(Q^2 -20 Q+100)+100]*Q=3*Q^3 -60*Q^2+400*Q • Cma=9*Q^2 -120*Q+400 • Cme’ =3*(2*Q-20)=0 • Q=10 Cme=3*(Q-10)^2+100 • C=Cme*Q=[3*(Q^2 -20 Q+100)+100]*Q=3*Q^3 -60*Q^2+400*Q • Cma=9*Q^2 -120*Q+400 • Cme’ =3*(2*Q-20)=0 • Q=10](https://slidetodoc.com/presentation_image_h2/3c10edf78fdc858feb75d8bc7dfc2e0d/image-63.jpg)































- Slides: 94
Teoria do Produtor Pedro Telhado Pereira
O que a empresa pode produzir? Pedro Telhado Pereira
Conjunto de possibilidades de produção CPP • Conjunto de produção tecnologicamente realizáveis.
Por exemplo, pode-se produzir uma omelete de camarão com 100 g de camarão e dois ovos. O plano de produção representa-se por
Um caso mais geral será Y = (-10; -20, 5; -3, 2; -30; 5; 2; 25; 3; 6) ou seja o plano de produção utiliza 10 unidades do input 1, 20, 5 do input 2, 3, 2 do input 3 e 30 do input 4 e produz 5 unidades do output 1, 2 do output 2, 25 do output 3, 3 do output 4 e 6 do output 5.
Plano de produção • Um plano de produção Y é um elemento do CPP, de dimensão m+n, em que yi > 0 significa o plano produz yi unidades do bem i e yj < 0 significa o plano consome yj unidades do bem i.
Axiomas ou Pressupostos • Axioma (pressuposto) 1: O CPP é um conjunto não vazio e fechado.
Bens Económicos • Axioma (pressuposto) 2: (a tecnologia refere-se a bens económicos) y CPP, então y é limitado superiormente.
Disposição livre • Axioma (pressuposto) 3: (Livre disposição) Se y CPP e então z CPP
Convexidade • Axioma (pressuposto) 4: (Convexidade) O CPP é um conjunto convexo.
Se plano Y CPP e o plano W CPP então o
Eficiência tecnológica • y é tecnologicamente eficiente se não existir outro plano z >y e z CPP
Produções tecnologicamente eficientes
Lucro • O lucro é dado por pelo produto p y
O produtor vai escolher o plano de produção possível que lhe traz o lucro máximo. Sabendo o vetor dos preços dos fatores P então o lucro do plano W é dado por
Se o plano W é escolhido pelo produtor quando os preços são P então
Maximização do lucro e eficiência tecnológica • Mostre que o plano que maximiza os lucros é tecnologicamente eficiente (prova por contradição).
• Mostre que • O que se pode concluir sobre a procura de um fator quando o preço desse fator aumenta?
Função de produção • Existe só um output. • É a fronteira superior do CPP. • Os factores aparecem agora com valores positivos.
Função de produção geral com o factor trabalho variável Determinação gráfica da produtividade média e marginal
Propriedades: • 1) f(x) > 0 se x > 0 • 2) f(x) real, contínua, crescente com limite superior. • 3) f(x) é côncava (talvez exista uma parte convexa para pequenas quantidades de factor).
Função côncava
Na Introdução à Microeconomia aprendeu alguns conceitos • Relembre os conceitos de: • factor produtivo fixo • factor produtivo variável • curto prazo • longo prazo.
Efectue os exercícios • 10. 1 • 10. 2 • 10. 3 • 10. 5 • 10. 7 • 10. 8
O que o produtor oferece
Função de produção • Existe só um output. • É a fronteira superior do CPP. • Os factores aparecem agora com valores positivos.
Função de produção geral com o factor trabalho variável Determinação gráfica da produtividade média e marginal
Propriedades: • 1) f(x) > 0 se x > 0 • 2) f(x) real, contínua, crescente com limite superior. • 3) f(x) é côncava (talvez exista uma parte convexa para pequenas quantidades de factor). • Explique porque esta parte não tem interesse económico.
Produtividade média e produtividade marginal. • Verifique a relação entre as curvas no gráfico anterior.
Lei dos rendimentos marginais decrescentes • Se aumentarmos a quantidade do factor produtivo variável… • Mantendo fixas as quantidades de todos os outros factores… • Os resultantes acréscimos são cada vez menores.
Efectue os exercícios • 10. 10 • 10. 11 • 10. 15
Q = f(L, K) Isoquanta – todas as combinações de fatores produzem a mesma quantidade de produto • A quantidade produzida é constante.
Possibilidade de substituição • É dada pela curvatura das isoquantas. • Taxa marginal de substituição técnica de K por L •
Maximização do lucro •
No ótimo •
O ótimo do produtor é •
Relembre da Introdução à Microeconomia • Rendimentos crescentes (constantes, decrescentes) à escala • Custo total, custo fixo e custo variável • Custo contabilístico e custo económico
Podemos resolver o problema do produtor em 2 passos • 1º passo – saber qual o custo que mínimo para produzir uma certa quantidade de produto • 2º passo – escolher a quantidade de produto que maximiza o lucro.
1º passo • Custo • Isocusto
Graficamente
Minimização do custo
Solução Intuitiva –Deixa de contratar uma unidade de trabalho • Benefício – o salário w que não tem de pagar • Mas para manter a produção constante tem que comprar mais de capital. Quanto? • Custo -
No ótimo e f(K, L)=Q
Ou seja
Calcule as condições de 1ª ordem
No ótimo interior, as condições de primeira ordem são
Graficamente
• Inclinação da Isoquanta • Inclinação da reta de isocusto
No óptimo • K=K(r, w, Q) • L=L(r, w, Q) e • C - função custo total = C(r, w, Q)
Função custo total A função custo é uma relação entre a quantidade produzida e a despesa mínima (custo mínimo) para a produzir
Propriedades da função custo • 1) positiva e linear homogénea em relação aos preços dos factores • 2) não decrescente e côncava em relação aos preços dos factores. • 3) não decrescente na quantidade produzida • Faça a demonstração destas propriedades.
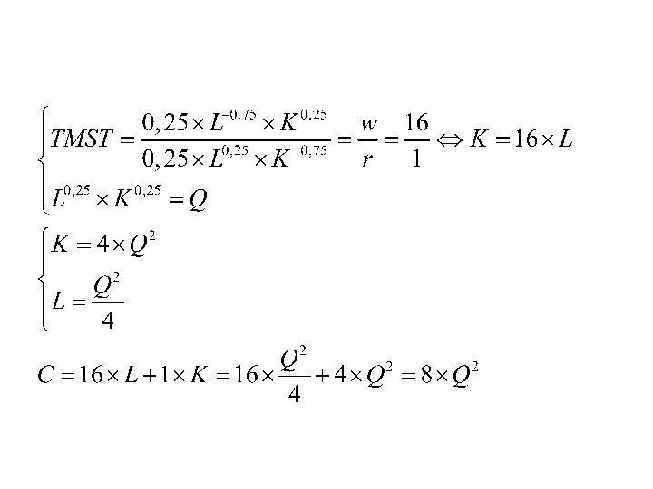
• Exercício de aplicação 4. 2. • A empresa do exercício de aplicação 4. 1. tem uma função de produção dada por onde L e K são as quantidades utilizadas dos factores trabalho e capital respetivamente e Y é a quantidade do bem produzido (produto). Os preços são 16€ por unidade de trabalho e 1€ por unidade de capital. Qual a função custo para este produtor?
Custos Fixos e Variáveis Custos médios
Custos Marginais
Função custo médio e custo marginal de longo prazo • Relação entre estas duas curvas. • Mostre que se cruzam no mínimo.
Efectue os exercícios • 11. 1 • 11. 2 • 11. 3 • 11. 5 • 11. 7 • 11. 10 • 11. 11
Cme=3*(Q-10)^2+100 • C=Cme*Q=[3*(Q^2 -20 Q+100)+100]*Q=3*Q^3 -60*Q^2+400*Q • Cma=9*Q^2 -120*Q+400 • Cme’ =3*(2*Q-20)=0 • Q=10 • Cme’’=6 o Cme tem um mínimo quando o Q=10 e Cme=100 • Cma(10)=9*10^2 -120*10+400=100
Procura de factores: e função procura condicionada • função procura condicionada K=K(r, w, Q) L=L(r, w, Q) • função procura K=K(r, w, p) L=L(r, w, p)
Mostre • A função procura é decrescente
Efectue os exercícios • 11. 14 • 11. 15 • 11. 19 • 11. 23
Vamos agora relembrar o que aprendeu em Introdução à Microeconomia
Nessa cadeira pedimos-lhe que pensasse que é um produtor e vai decidir quanto quer produzir e vender • Suponha que está num mercado de concorrência perfeita. • A quantidade que você oferece não altera o preço. Explique como. • Você vai maximizar o lucro • O pior que lhe pode acontecer é não produzir e ter que pagar os custos fixos, ou seja ter um prejuízo igual aos custos fixos. Justifique. • Mas quanto produz?
Mas o que é o lucro? • Em contabilidade, é a diferença entre as receitas menos os custos adequadamente imputados aos bens vendidos. • Na teoria económica, é a diferença entre as receitas das vendas e o custo de oportunidade total dos recursos envolvidos na produção dos bens.
No nosso exemplo • Receita p. Xq • Calcule a receita média • E a receita marginal
Graficamente
Se o preço for p. Faça uma análise custo benefício para saber quanto deve produzir Benefício • O preço p por cada unidade vendida Custo • O custo marginal por cada unidade produzida. • Para produzir o custo não pode ser superior ao benefício logo o custo marginal não pode exceder p
Num gráfico
No óptimo • P = CMa • CMa crescente • Condição de não encerramento.
Confirmação
Condição de não encerramento
Curva da oferta de curto prazo Y tal que Se y = 0 nos outros casos
Graficamente
Curva da oferta de longo prazo Y tal que Se y = 0 nos outros casos
Graficamente
Oferta dada a função custo
Qual a oferta no mercado no caso de existirem 100 empresas? No curto prazo
E no longo prazo? • No longo prazo vão entrar empresas até o lucro ser zero • Logo • P=min Cme = 100 • A oferta de longo prazo é uma reta horizontal
Graficamente • Oferta da empresa individual
Oferta no mercado no curto prazo
Oferta no mercado no longo prazo
Qual o equilíbrio no mercado no curto prazo (100 empresas) sabendo que ?
Qual o equilíbrio no mercado no curto prazo (100 empresas) sabendo que ?
Equilíbrio no mercado no longo prazo
Se a taxa de IVA for de 22%, a oferta de cada empresa passa a ser
Outro exercício de aplicação
Efectue os exercícios • 12. 1 • 12. 2 • 12. 3 • 12. 9 • 12. 10 • 12. 11 • 12. 12 • 12. 13 • 12. 15