Teorema lui Noether 1918 Simetrie Conservare Orice simetrie














- Slides: 14
Teorema lui Noether (1918) Simetrie Conservare Orice simetrie continua independenta de timp a Lagrangianului genereaza o integrala a miscarii. Emmy Noether Data fiind o solutie a ecuatiei de miscare, putem utiliza simetria pentru a genera o familie continua de solutii
L are o simetrie continua daca este invariant la transformarea: unde s este un parametru constant real, iar hs=0 este transformarea identica -Dandu-se o cale (nu neaparat fizica) q(t), L are aceeasi valoare pentru toate caile familiei qs(t). pentru toti membrii - Daca pe calea q(t) , atunci familiei qs(t) - Daca este o cale fizica, atunci toate caile qs(t) generate de simetria hs sunt fizice d/dt este derivata totalin lugul caii s=const. cum Ls=const. pe toata familia de cai, atunci
Integrala de miscare generata de simetria h Simetrie Conservare
Simetria de rotatie Coordonate polare Coordonate carteziene Conservarea momentului cinetic
Ne vedem in doua saptamani !
Sistem invariant in raport cu translatiile temporale
daca S=f(punct. de capat ale limitei temporale)
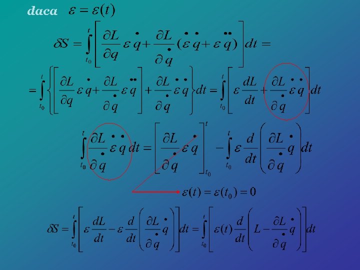
daca
Posibilitatea obtinerii unor marimi care se conserva, direct din S, fara a utiliza ecuatiile de miscare ! Din invarianta actiunii la o transformare simetrica (≡ parametru independent de timp) rezulta intotdeauna marimi care se conserva
L = T – V Daca Lagrangianul este invariant la o translatie temporala Conservarea energiei.
Sa presupunem ca x 1, x 2, …, xn sunt variabilele dinamice ce caracterizeaza starea fizica a unui sistem, fiecare din ele fiid o functie de timp, iar L(x 1, x 2, …, xn). Obtinerea ecuatiilor de miscare implica luarea in considerare a urmatorului set de variabile perturbate : unde δi(t) sunt variatii arbitrare si apoi stabilirea conditiilor ce trebuiesc indeplinite pentru ca integrala din Ldt sa fie stationara, adica san nu fie afectata de o crestere a valorii parametrului variational ε. Alegand ca aceasta sa fie nula cand ε = 0 astfel Xi = xi,
Neobservabile Simétrie in raport cu transformarea : Legea de conservare Pozitia spatiala absoluta Translatia spatiala Impuls P Timp absolut Translatia in timp Energie E Orientarea spatiala absoluta Rotatia Moment cinetic L Viteze, Orientari, Pozitii absolute (RR) Transformari ale grupului Poincaré ( Lorentz + translatii in Spatiu si Timp) Intervalul spatiotemporal s², Impuls P, moment cinetic L, Energie E Orientari, Pozitii, - Covarianta generala Viteze si si Acceleratii - Difeomorfisme absolute infinitezimale (RG) -Invarianti topologici - Actiunea ( d'Hilbert) campurilor gravitationale si materiale Diferenta intre particule identice Statistica Fermi. Dirac sau Bose. Einstein Permutarea Particulelor identice
Fie un sistem inchis de N particule. Sa se deduca legile de conservare ale impulsului, momentului cinetic si energiei a) Consideram o translatie elementara 0 0 translatie Conservarea impulsului
b) Consideram o rotatie elementara rotatie Conservarea momentului cinetic (proiectia pe Oz)