Teorema Fundamental da Trigonometria Demonstrao sen 1 sen
























































- Slides: 56
Teorema Fundamental da Trigonometria
Demonstração. . . sen 1 · sen θ -1 0 )θ cos θ -1 θ 1 cos
Continuação. . . sen 1 1 -1 0 )θ cos θ -1 sen θ 1 cos
Continuação. . . 1 sen θ )θ cos θ Utilizando o teorema de Pitágoras h 2 = c 2 + c 2, temos : CMPQD
Relações Trigonométricas no Triângulo Retângulo o ost Op )θ teto C to e t a ja d A Ca e t n ce Hipotenusa
Continuação. . . Ente Trigonométrico Seno de θ Cosseno de θ Tangente de θ Cossecante de θ Secante de θ Cotangente de θ Relação no Triângulo Retângulo
Na Circunferência Trigonométrica sen tg · tg θ sen θ 0 )θ cos
Continuação. . . cotg θ cossec θ 0 · )θ secante θ cotg
Arcos Notáveis sen 120° 90° tg 60° 135° 45° 30° 150° 180° 0°/360° 0 cos 210° 225° 330° 315° 240° 300° 270°
Tabela de Entes Trigonométricos. . .
Vamos pensar. . .
Que tal fazermos um teste para verificação do que foi apresentado? Observem a figura ao lado 1) Em relação ao ângulo a, podemos dizer que o sen a vale: a) b/c b) a/c c) c/b d) c/a e) a/b
2) Em relação ao ângulo a, podemos dizer que o cos a vale: a) b/c b) a/c c) c/b d) c/a e) a/b
3) Em relação ao ângulo a, podemos dizer que a tg a vale: a) b/a b) b/c c) c/b d) a/b e) a/c
4) Em relação ao ângulo a, podemos dizer que a cotg a vale: a) b/a b) b/c c) c/b d) a/b e) a/c
5) Em relação ao ângulo a, podemos dizer que tg a. cotg a vale: a) 1/a b) 1/c c) 1/b d) 0 e) 1
6) Se a = 3 b, podemos dizer então, que sen 2 a + cos 2 a vale: a) b 2 / a 2 b) 9 c 2 / b 2 c) 0 d) 1 e) (c 2 + b 2) / 9 a 2 Pelo teorema fundamental da trigonometria, temos que: sen 2 q + cos 2 q = 1 portanto,
7) Em relação ao ângulo a, podemos dizer que sec 2 a - 1 vale: a) tg 2 a b) cotg 2 a c) - 1 d) 0 e) 1
8) Em relação ao ângulo a, podemos dizer que cossec 2 a - 1 vale: a) tg 2 a b) cotg 2 a c) - 1 d) 0 e) 1
9) Se sen a = b/c, então, calculando o valor de chegaremos a: a) a/c b) b/c c) a/b d) b/a e) 1
Voltando para a parte teórica. . .
Lei dos Senos Seja um triângulo ABC qualquer C b A temos : ) a c ( B
Lei dos Cossenos Seja um triângulo ABC qualquer C b A temos : ) a c ( B
Continuação. . . Curiosidade : Quando um dos ângulos do triângulo é reto, por exemplo, = 90°, temos : Sabe-se que cos 90° = 0, logo. . . Temos, portanto. . . Teorema de Pitágoras
Gráficos das funções trigonométricas y sen x -180° -90° • 1 • 0° • -1 • • 270° 90° • 180° • 360° • 450° • 540° 630° • • 720° x
Continuação. . . y cos x • -180° • -90° • 1 • • 90° 0° -1 180° • 270° • • 540° 360° • 450° • 630° • 720° x
Continuação. . . y tg x -90° • • 0° • 90° • 180° • 270° • 360° • 450° • • 540° 630° x
Continuação. . . y cossec x -180° -90° • 1 • 270° • • 90° -1 • 180° • 360° • 450° • 540° 630° • • 720° x
Continuação. . . y sec x 1 • • -180° • -90° • • 90° 0° -1 180° • 270° • • 540° 360° • 450° • 630° • 720° x
Continuação. . . y cotg x • 0° 90° • 270° • 180° • 450° • 360° • 630° • 540° • • 720° x
TRIGONOMETRIA APLICADA • Modelo matemático que indica ao número de horas do dia, com luz solar, de uma determinada cidade norte americana, “t” dias após 1º de janeiro. Fonte : J. Stewart – Cálculo vol. I – Pág. 34
Continuação. . . • Função de Fresnel, assim chamada em homenagem ao físico francês Augustin Fresnel (1788 -1827), famoso por seus trabalhos em ótica. Esta função foi primeiramente apresentada num trabalho sobre difração de ondas de luz de Fresnel, porém recentemente foi aplicado no planejamento de auto-estradas. Fonte : J. Stewart – Cálculo vol. I – Pág. 394
Continuação. . . • Integração por Substituição trigonométrica Demonstrando o Caso I. . . CMPQD
Trigonometria Algumas Aplicações
Parte Prática O exemplo clássico da Sombra Para que possamos medir (aproximadamente) a altura de um prédio, sem a necessidade de subir ao terraço, ou utilizar equipamentos sofisticados, seria necessário somente 2 elementos. São eles: uma distância um ângulo Observe a seguir. . .
temos que: portanto: Conhecendo a distância d que vale 50 metros e o ângulo a que vale 30°, podemos dizer então que:
Exemplo 1 A inclinação de uma rampa
Uma rampa com inclinação constante, (como a que existe em Brasília) tem 6 metros de altura na sua parte mais elevada. Um engenheiro começou a subir, e nota que após ter caminhado 16, 4 metros sobre a rampa está a 2, 0 metros de altura em relação ao solo. Será que este engenheiro somente com esses dados e uma calculadora científica conseguiria determinar o comprimento total dessa rampa e sua inclinação em relação ao solo?
Como poderíamos resolver essa situação? Como sugestão, faremos um “desenho” do que representa essa situação. Comprimento total da rampa Observemos: 6 metros 16, 4 metros 2 metros q solo
Observemos o triângulo retângulo em destaque. . . 16, 4 metros hip c. o. q 2 metros c. a. Temos em relação ao ângulo q: hip = 16, 4 metros c. o. = 2 metros
Como: hip = 16, 4 metros c. o. = 2 metros 16, 4 metros hip c. o. q 2 metros c. a. Obs. : quando dizemos que arcsen a = 1/2 , podemos transformar essa igualdade em uma pergunta: “qual é o arco, cujo seno vale 1/2? ”, a resposta seria dizer que a = 30°.
Em nosso exercício, chegamos a conclusão que: sen q = 0, 1219512, logo podemos encontrar o ângulo q, com o auxílio da calculadora que normalmente utiliza as funções ASIN ou SIN-1, então, devemos digitar 0, 1219512 e a opção acima de sua calculadora. Se o processo foi realizado corretamente, deverá ser encontrado o valor 7, 00472640907, que iremos considerar como aproximadamente 7°. Encontramos assim, a inclinação da rampa!
Notamos que os triângulos abaixo são semelhantes, portanto, podemos dizer que q é válido para ambos 16, 4 metros hip c. o. q 2 metros c. a. q = 7° Como: Chegamos a conclusão que o comprimento total da rampa é 49, 2 metros 6 metros
Exemplo 2 Mecânica Geral ou Trigonometria?
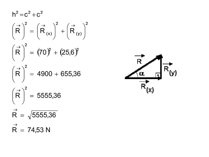
Os conceitos trigonométricos aparecem com muita freqüência no estudo da Física, Topografia, Astronomia e de muitos outros assuntos. Observemos os exemplos a seguir: Em relação ao sistema de forças representado na figura, onde F 1 = 20 N, F 2 = 100 N, F 3 = 40 N e F 4 = 10 N, você seria capaz de determinar a intensidade da resultante do sistema e o ângulo que essa resultante forma com o eixo das abscissas (x)?
! o i f a s e D
Um alpinista muito ágil, percorre um trajeto passando pelos pontos A e B. Não se sabe ao certo o que ocorreu, mas ele conseguiu com o material apropriado chegar a conclusão das medidas abaixo mencionadas. Quando chega até a árvore ele percebe que o único caminho que o levará até o ponto C é escalando -a. (a altura da árvore é representada por h - despreze a largura do tronco) Se sua velocidade média é de 0, 2 m/s, quantos minutos ele demorou para sair do ponto A e chegar ao ponto C? ( )
Solução: Resumidamente, temos o triângulo ao lado que representa nosso desafio.
Igualando o h das equações ( I ) e (II) Como
Agora com o valor das medidas temos condição de determinar quanto ele percorreu do ponto A até o ponto C, observe: v = 0, 2 m/s 17 metros para subir a árvore 17 metros para descer da árvore 30 metros De A até C ele percorreu 30 + 17 = 64 metros