TEK HALKALI HETEROSKLKLERDE NUMARALANDIRMA KURALLARI 1 Tek hetero


































![8, 8 -Dimetil-8 -azoniabisiklo[3. 2. 1]oktan bromür 8, 8 -Dimetil-8 -azoniabisiklo[3. 2. 1]oktan bromür](https://slidetodoc.com/presentation_image_h/2376c595070de134aeb5279365e02f9e/image-35.jpg)











- Slides: 46
TEK HALKALI HETEROSİKLİKLERDE NUMARALANDIRMA KURALLARI 1 - Tek hetero atomlu halkalarda numaralandırma hetero atomdan başlar ve eğer varsa sübstitüente sonraki en küçük numara verilecek şekilde devam eder. 3 -Metilpiridin b-pikolin 2 -Metilpiridin a-pikolin
2 - Aynı cins atomdan birden çok olması halinde, hetero atomlardan biri bir numarayı alır ve numaralandırma ikinci hetero atom en küçük numarayı alacak yönde devam eder. 4 -Metilpirimidin 4 -Metil-1, 3 -diazin 4 -Metilpiridazin 4 -Metil-1, 2 -diazin
3 - Hetero atomların farklı cinsten olması halinde, numaralandırmaya 0 -S-N-P sırasına göre üst sırada olan hetero atomdan başlanır ve diğer hetero atomlara, sıralamaya bakılmaksızın en küçük numara yada numaralar toplamı verilecek yön izlenir. 1, 4, 3 -Oksatiyazosin
İŞARETLİ HİDROJEN 2 H-Piran 4 H-Piran
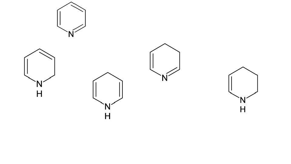
KISMİ DOYMUŞ HETEROSİKLİK YAPILAR
4 ve 5 üyeli halkalarda sadece bir çift bağ bulunduğu takdirde, 4 üyeli azotlu halkalarda etin, azotsuz halkalarda eten , 5 üyeli azotlu halkalarda olin , azotsuz halkalarda olen özel ekleri kullanılır. 1 -Azetin
2 H-Pirol
2 -pirazolin 3 -pirazolin 1 -pirazolin
Hetero atom içeren halkaları tanımlamak için kullanılan ekler Azotlu Halkalar Halkadaki üye sayısı 3 4 5 6 7 8 9 10 *Maksimum Doymuş iridin etidin olidin inan epan okan onan ekan Doymamış* irin et ol in epin osin onin esin Azotsuz Halkalar Doymuş iran etan olan an epan okan onan ekan sayıda nonkümülatif bağ içerenler Doymamış* iren et ol in epin osin onin esin
UYGULAMA ÖRNEKLERİ Formülü verilen heterosikliklerin isimlerini, isimleri verilen heterosikliklerin formüllerini yazınız
1, 2 -dihidro-1, 3 -diazet 5 -Metil-4, 5 -dihidroisoksazol (5 -Metil-4, 5 -dihidro-1, 2 -oksazol)
1, 2, 4 -tiyadiazol 1, 4, 2 -dioksazol 5, 6 -Dihidro-2 H-1, 2, 4 -oksadiazin
4, 5 -Dihidro-1, 2, 3, 5 -tetrazin 2, 3 -Dihidro-1, 3 -tiyazepin 4 H, 8 H-1, 5, 3 -oksatiyazosin
1, 2 -Dihidropirazin 6 H-1, 3 -oksazin
HETEROSİKLİK KATYONLAR: Yer değiştirme nomenklatürü ile isimlendirilen bileşikler katyonik atom içerdiklerinde: Bileşiğin ismindeki hetero atomu belirten “oksa”, “tiya”, “aza” ön ekleri yerine katyonik oksijen için “oksonia”, katyonik kükürt için “tiyonia”, katyonik azot için “azonia” ön ekleri kullanılır.
1 -Oksonianaftalen klorür (Kromenyum klorür)
8, 8 -Dimetil-8 -azoniabisiklo[3. 2. 1]oktan bromür
Yer değiştirme nomenklatürü ile isimlendirilen bileşikler dışındaki yapılar katyonik atom içerdiklerinde: Heterosiklik yapının isminin sonuna ‘’yum’’ eki getirilerek isimlendirme yapılır. Piridinyum klorür
Kinolinyum klorür 1, 3 -Tiyazol-3 -yum bromür
EKLENMIŞ HIDROJEN Kimyasal ad içindeki yeri asli fonksiyonel grubun konumunu belirten rakamın hemen arkasına, parantez içine alınıp rakam yanına italik H konularak yazılır ( Keto, iliden gibi yapılarda). Piridin-3(2 H)-on