Tangent Lines 1 Equation of lines 2 Equation

















































- Slides: 49
Tangent Lines 1. Equation of lines 2. Equation of secant lines 3. Equation of tangent lines
Equation of Lines Write the equation of a line that passes through (-3, 1) with a slope of – ½. or or
Equation of Lines Write the equation of a line that passes through (0, 1) with a slope of ½. or or
Equation of Lines Write the equation of the line. or or
Lines When writing the equation of a line that passes through (0, 1) with a slope of -3. What is the missing blue number? A -3 B -1 C 0 D 1
Lines When writing the equation of a line that passes through (0, 1) with a slope of -3. What is the missing blue number? A -3 B -1 C 0 D 1
Passes through (0, 1) with a slope of -3. The missing blue number was zero. . . .
Write the equation of a green line that passes through (0, 1) with a slope of -3. What is the missing green number m? A -3 B -1 C 0 D 1
Write the equation of a green line that passes through (0, 1) with a slope of -3. What is the missing green number m? A -3 B -1 C 0 D 1
Secant Lines • Write the equation of the secant line that passes through • and (200, 220).
What is the slope of this secant line that passes through (200, 220) and (184, 210) ? A B C D E 5/9 5/7 5/8 10/6 10/12
What is the slope of this secant line that passes through (200, 220) and (184, 210) ? A B C D E 5/9 5/7 5/8 10/6 10/12
Secant Lines • Write the equation of the secant line that passes through • and (200, 220).
• http: //www. youtube. com/watch? v=P 9 dp. TT pjym. E Derive
The slope of f(x) =x 2 and when x = 1
Find the slope of the tangent line of f(x) = x 2 when x = x. 1. Calculate f(x+h) – f(x) f(x+h) = x 2 + 2 xh + h 2 f(x) = x 2 f(x+h) – f(x) = 2 xh + h 2. 2. Divide by h and get 2 x + h 3. Let h go to 0
Find the slope of f(x)=x 2 A. 2 x+h B. 2 x C. x 2
Find the slope of f(x)=x 2 A. 2 x+h B. 2 x C. x 2
Find the slope of the tangent line of f(x) = x 2 when x = x. 1. Calculate f(x+h) – f(x) f(x+h) = x 2 + 2 xh + h 2 f(x) = x 2 f(x+h) – f(x) = 2 xh + h 2. 2. Divide by h and get 2 x + h 3. Let h go to 0 and get 2 x
Finding the slope of the tangent line of f(x) = x 2, f(x+h) - f(x) = A. (x+h)2 – x 2 B. x 2 + h 2 – x 2 C. (x+h)(x – h)
Finding the slope of the tangent line of f(x) = x 2, f(x+h) - f(x) = A. (x+h)2 – x 2 B. x 2 + h 2 – x 2 C. (x+h)(x – h)
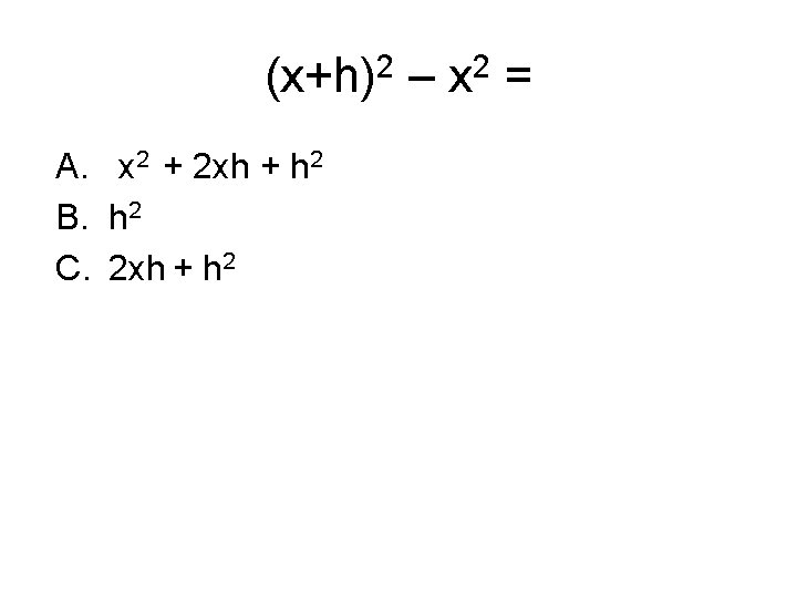
(x+h)2 – x 2 = A. x 2 + 2 xh + h 2 B. h 2 C. 2 xh + h 2
(x+h)2 – x 2 = A. x 2 + 2 xh + h 2 B. h 2 C. 2 xh + h 2
= A. 2 x B. 2 x + h 2 C. 2 xh
= A. 2 x B. 2 x + h 2 C. 2 xh
Find the slope of the tangent line of f(x) = 2 x + 3 when x = x. 1. Calculate f(x+h) – f(x) f(x+h) = 2(x+h) + 3 f(x) = 2 x + 3 f(x+h) = 2 x + 2 h + 3 f(x) = 2 x +3 f(x+h)-f(x) = 2 h 2. Divide by h and get 2 3. Let h go to 0 and get 2
=0 Rule 5
sin(0. 0018) = • • • A 1. 8 B 0. 18 C 0. 018 D 0. 0018 E 0. 00018
sin(0. 0018) = • • • A 1. 8 B 0. 18 C 0. 018 D 0. 0018 E 0. 00018
• Rule 4
=0 • Rule 5
. A B C D E 12 6 1 0 -1
. A B C D E 12 6 1 0 -1
. 1*0
. A B C D E 12 6 1 0 -1
. A B C D E 12 6 1 0 -1
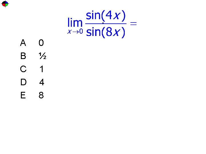
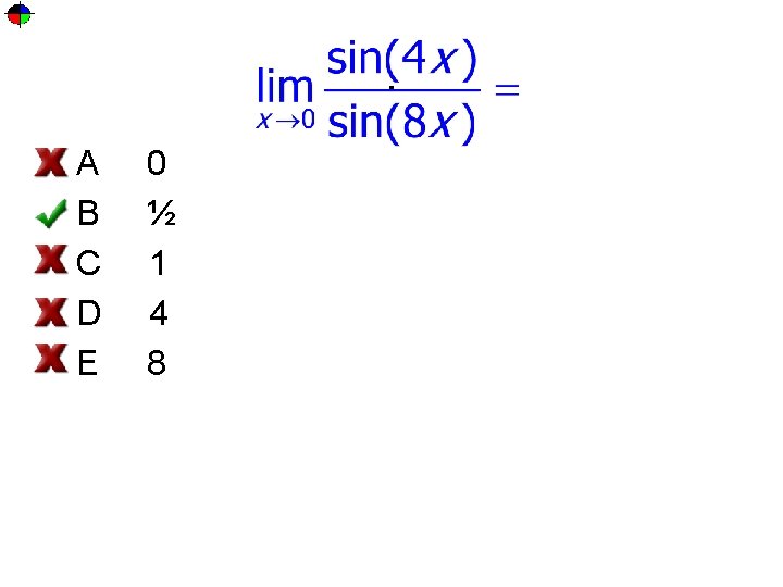
. A B C D E 0 ½ 1 4 8
. A B C D E 0 ½ 1 4 8
Write the equation of the line tangent to y = x + sin(x) when x = 0 given the slope there is 2. A. y = 2 x + 1 B. y = 2 x + 0. 5 C. y = 2 x
Write the equation of the line tangent to y = x + sin(x) when x = 0 given the slope there is 2. A. y = 2 x + 1 B. y = 2 x + 0. 5 C. y = 2 x