SWBATsimplify radicals using the product property of radicals

SWBAT…simplify radicals using the product property of radicals Wed, 3/14 Agenda 1. WU (10 min) 2. Lesson on product property of radicals – 13 examples! (30 min) Warm-Up: HW #6: Simplifying radicals

Simplifying Radical Expressions

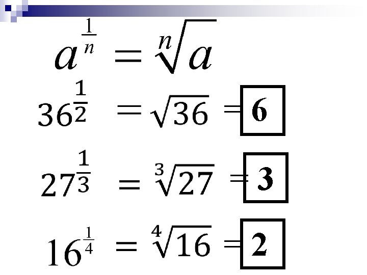
Properties of Radicals

In the expression , is the radical sign and 64 is the radicand.

What numbers are perfect squares? 1 • 1=1 2 • 2=4 3 • 3=9 4 • 4 = 16 5 • 5 = 25 6 • 6 = 36 49, 64, 81, 100, 121, 144, . . .

Product Property of Radicals (13 examples)

How do you know when a radical problem is done? 1. No radicals can be simplified. Example: 2. There are no fractions in the radical. Example: 3. There are no radicals in the denominator. Example:

Product Property of Radicals For any numbers a and b where and ,

1. Simplify Find a perfect square that goes into 48.

2. Simplify Find a perfect square that goes into 147.

3. Simplify

4. Simplify Find a perfect square that goes into 605.

5. Simplify 1. 2. 3. 4. . .

6. Simplify 6 b. Simplify As a general rule, divide the exponent by two. The remainder stays in the radical.

7. Simplify

8. Simplify As a general rule, divide the exponent by two. The remainder stays in the radical.

9. Simplify As a general rule, divide the exponent by two. The remainder stays in the radical.

10. Simplify 1. 2. 3. 4. 3 x 6 3 x 18 6 9 x 18 9 x As a general rule, divide the exponent by two. The remainder stays in the radical.

11. Simplify Multiply the radicals.

12. Simplify Multiply the coefficients and radicals.

13. Simplify 1. 2. 3. 4. . .

SWBAT…simplify radicals using the quotient of property of radicals Fri, 3/16 Agenda 1. WU (10 min) 2. Lesson on quotient property of radicals – 5 examples (20 min) 3. Lesson on adding and subtracting radicals – 6 examples (15 min) Simplify: HW #7: Product & Quotient Property of Radicals

Quotient Property of Radicals (5 examples)

Quotient Property of Radicals For any numbers a and b where and ,

Examples:

Rationalizing the denominator means to remove any radicals from the denominator. 3. Simplify

4. Simplify

Simplify 5.

How do you know when a radical problem is done? 1. No radicals can be simplified. Example: 2. There are no fractions in the radical. Example: 3. There are no radicals in the denominator. Example:


Adding and Subtracting Radicals (6 examples)

Sums and Differences The previous rules allowed us to split radicals that had a radicand which was a product or a quotient. However, we can NOT split sums or differences.

Adding and Subtracting Radicals We can only combine terms with radicals if we have like radicals Ex 1 Ex 2 Ex 3 Simplified

Adding and Subtracting Radicals Ex 4

Adding and Subtracting Radicals Ex 5 Simplify the following radical expression.

Ex 6

- Slides: 37