Superhorizon Fluctuations CMBR and Relativistic Heavy Ion Collisions
Superhorizon Fluctuations, CMBR and Relativistic Heavy Ion Collisions P. S. Saumia Collaborators: A. P. Mishra, R. K. Mohapatra, A. M. Srivastava Institute of Physics, Bhubaneswar, India ICPAQGP, 2010
Outline • CMBR and HIC – Similarities in the Physics • CMB analysis techniques in HIC • Effect of magnetic field in CMB acoustic peaks and in flow 2
Similarities in the nature of density fluctuations in early universe and the plasma in relativistic heavy ion collisions: Superhorizon fluctuations (Phys. Rev. C 77, 064902 (2008)) In universe: Inflation In RHICE? Consider central collision Initial transverse energy density fluctuations at 1 fm From HIJING Nucleon size ~ 1. 6 fm horizon at thermalization ~ 1 fm Central Au – Au Collision C M Energy 200 Ge. V 3
CMBR Acoustic Oscillations Plot shows variance of various spherical harmonic components Ylm as a function of l. Is there any reasons to expect similar effects in heavy ion collisions? Can we adapt the same analysis techniques to calculate higher harmonics of flow in heavy ion collisions? 4
Look for coherence and acoustic oscillations The transverse velocity of the fluid to start with is zero. The fluctuations in transverse directions are essentially frozen in time to begin with. So the fluctuations are expected to be coherent. 5
II I IV The oscillation of plasma region in non-central collision There is a non-zero pressure in RHICE. 6
CMBR temperature anisotropies analyzed using Spherical Harmonics Average values of these expansions coefficients are zero due to overall isotropy of the universe However: their standard deviations are non-zero and contain crucial information. Apply same technique for RHICE also 7
The Analysis: Calculate the momentum anisotropies in different azimuthal bins in a fixed co-ordinate system. Calculate the Fourier coefficients of the momentum anisotropies. Find the root mean square values which will give different flow coefficients. Note: Any deviation from spherical shape is treated as a fluctuation, so the non-central collisions have a large wavelength fluctuation mode which is the elliptic mode. Important: There is no symmetry here as there are random fluctuatons in each event, so we need to look for bothe even and odd flow coefficients. 8
Conventional flow coefficients re-written in lab fixed frames Flow co-efficients in lab fixed frame 9
True for elliptic flow, but not for other fluctuations. 10
Calculations: The spatial anisotropies for RHICE are estimated using HIJING event generator. We calculate initial anisotropies in the fluctuations in the spatial extent R(φ) (using initial parton distribution from HIJING). R(φ) represents the energy density weighted average of the transverse radial coordinate in the angular bin at azimuthal coordinate φ. Fourier coefficients Fn of the anisotropies are calculated as where R is the average of R(φ). Fluctuations are represented essentially in terms of fluctuations in the boundary of the initial region. 11
For elliptic flow we know: Momentum anisotropy v 2 ~ 0. 2 spatial anisotropy Є. For simplicity, we use same proportionality constant for all Fourier coefficients: This does not affect any peak structures Important: In contrast to the conventional discussions of the elliptic flow, we do not need to determine any special reaction plane on event-by-event basis. A fixed coordinate system is used for calculating azimuthal anisotropies. This is why, as we will see, averages of Fn (and hence of vn) will vanish when large number of events are included in the analysis. However, the root mean square values of Fn , and hence of vn , will be non-zero in general and will contain non-trivial information. 12
Results: HIJING parton distribution Uniform distribution of partons HIJING part 13
peak at n~5, higher modes are suppressed. (no dissipation included here) “The sound of the little bang” (search Youtube for the video by Sorensen and collaborators. ) 14
Important information contained in such a plot: overall shape of the plot : information on the early stages of evolution of the system and evolution, regime of break down of hydrodynamics (look at higher modes). first peak : freeze-out stage, equation of state. successive peaks : dissipative factors, nature of the phase transition if any. . No cosmic variance limitation on accuracy! Universe: Only one CMBR sky: 2 l+1 independent measurement for each l mode. RHICE: Each nucleus-nucleus collision with same parameters provides a new sample. Accuracy limited only by the number of events. 15
Plot for non-central collision from Hijing parton distribution Phys. Rev. C 81, 034903 (2010) b = 8 fm, 5 fm and 0 V 2 can be directly measured 16
Effect of Magnetic Field On acoustic peaks of CMBR: Primordial magnetic fields are present in the universe. Plasma will evolve according to the equations of magnetohydrodynamics. In presence of magnetic field, there are three types of waves in the plasma in place of ordinary sound waves. Fast magnetosonic waves: Generalised sound waves with significant contributions from the magnetic pressure. Their velocity is given by c 2+~c 2 s + v 2 Asin 2θ where θ is the angle between the magnetic field B 0 and the wave vector and the Alfven velocity v. A=B 0/√ 4πρ Slow magnetoacoustic waves: Sound waves with strong magnetic guidance. c 2 -=v 2 Acos 2θ Alfven waves: Propagation of magnetic field perturbations. 17
The magnetic field effects distort the CMBR acoustic peaks. The distortion can be seen as an effect due to the modified sound velocity (fast magnetosonic waves) with some modulation from slow magnetosonic waves. Jenni Adams et al. (1996) 18
B 19
We simulate the effect of magnetic field on v 2 as follows: Generate initial density fluctuations from HIJING Calculate Fn (the Fourier coefficients of spatial anisotropy) v 2 is calculated from F 2 but now the proportionality constant is proportional to group velocity which in turn is a function of the azimuthal angle. Note: We are assuming a constant magnetic field here. 20
21
We see that v 2 rms is larger with magnetic field. vnrms with magnetic field no magnetic field If we include the effect of magnetic field in flow, a larger η/s value can be accommodated. n 22
Summary and Conclusions: • The similarities in the physics of CMBR and heavy ion collisions are studied. • The CMB analysis techniques can be applied in heavy ion collisions as well. • A plot of vnrms vs. n for a large range of n following the CMB analysis technique gives important information about the initial fluctuations in HIC. • The technique can be used to measure v 2 without determining the reaction plane. • The presence of large magnetic field will modify the equations of hydrodynamics. • The sound velocity is larger in certain azimuthal bins and as a result v 2 is also large. • When the effect of magnetic field is incorporated in hydrodynamics, larger η/s values can be accommodated. 23
Thank You 24
Physics of CMBR Peaks Two most crucial aspects of the inflationary density fluctuations which gave rise to remarkable acoustic peaks in CMBR: coherence and acoustic oscillations Inflationary density fluctuations when stretched out to superhorizon scales are frozen out dynamically. Later when they re-enter the horizon and start growing due to gravity and subsequently start oscillating due to radiation pressure, the fluctuations start with zero velocity. For oscillation, it means that only cos(ωt) term survives. All fluctuations of a given wavelength are phase locked. 25
26
In summary: Crucial requirement for coherence: fluctuations are essentially frozen out until they re-enter the horizon 27
Acoustic peaks in CMB: Oscillations: Gravity Radiation pressure 28
Coherence in RHICE: The transverse velocity of the fluid to start with is zero. Initial state fluctuations in parton position and momenta may give rise to some residual velocities at earlier stages But for wavelengths larger than the nucleon size, due to averaging, it is unlikely that the fluid will develop any significant velocity at thermalization. Larger wavelength modes those which enter (sound) horizon at times much larger than equilibration time may get affected due to the build up of the radial expansion. Our interest is in oscillatory modes. For oscillatory time dependence even for such large wavelength modes, there is no reason to expect the presence of sin(wt) term at the stage when the fluctuation is entering the sound horizon. So the fluctuations are expected to be coherent. 29
Hydrodynamical simulations: Kolb, Sollfrank and Heinz, PRC 62, 054909 (2000) By the time ε changes sign, radial velocity VT becomes large: suppresses oscillation What about fluctuations of much smaller wavelengths ? 30
Inflationary density fluctuations and CMBR anisotropies: In the universe, density fluctuations with wavelengths of superhorizon scale have their origin in the inflationary period. Quantum fluctuations of sub-horizon scale are stretched out to superhorizon scales during the inflationary period. During subsequent evolution, after the end of the inflation, fluctuations of sequentially increasing wavelengths keep entering the horizon. The largest ones to enter the horizon, and grow, at the stage of decoupling of matter and radiation lead to the first peak in CMBR anisotropy power spectrum. 31
Physics of CMBR Peaks Two most crucial aspects of the inflationary density fluctuations which gave rise to remarkable acoustic peaks in CMBR: coherence and acoustic oscillations Inflationary density fluctuations when stretched out to superhorizon scales are frozen out dynamically. Later when they re-enter the horizon and start growing due to gravity and subsequently start oscillating due to radiation pressure, the fluctuations start with zero velocity. For oscillation, it means that only cos(ωt) term survives. All fluctuations of a given wavelength are phase locked. 32
Coherence in RHICE: The transverse velocity of the fluid to start with is zero. Initial state fluctuations in parton position and momenta may give rise to some residual velocities at earlier stages But for wavelengths larger than the nucleon size, due to averaging, it is unlikely that the fluid will develop any significant velocity at thermalization. Larger wavelength modes those which enter (sound) horizon at times much larger than equilibration time may get affected due to the build up of the radial expansion. Our interest is in oscillatory modes. For oscillatory time dependence even for such large wavelength modes, there is no reason to expect the presence of sin(wt) term at the stage when the fluctuation is entering the sound horizon. So the fluctuations are expected to be coherent. 33
Acoustic oscillations in RHICE: There is a non-zero pressure in RHICE II I IV The oscillation of plasma region in non-central collision. Note: Any deviation from spherical shape is treated as a fluctuation, so the noncentral collisions have a large wavelength fluctuation mode which is the elliptic mode. Not seen in hydrodynamic simulations: Development of strong radial flow. 34
Consider a fluctuation with small wavelength, say 2 fm. Unequal initial pressures in the φ1 and φ2 directions: momentum anisotropy will build up in a relatively short time. Spatial anisotropy should reverse sign in time of order l/(2 cs)~ 2 fm Due to short time scale of evolution here, radial expansion may still not be most dominant. Possibility of momentum anisotropy changing sign, leading to some sort of oscillatory behavior. 35
. Suppression of superhorizon modes Acoustic horizon and development of flow: In RHICE, the azimuthal spatial anisotropies are detected only when they are transferred to momentum anisotropies of particles. The anisotropies of larger wavelength compared to sound horizon at freezeout are not expected to build up completely by freeze out. So the momentum anisotropies corresponding to these wave lengths should be suppressed by a factor, where Hsfr is the sound horizon at the freezeout time tfr (~ 10 fm for RHIC) 36
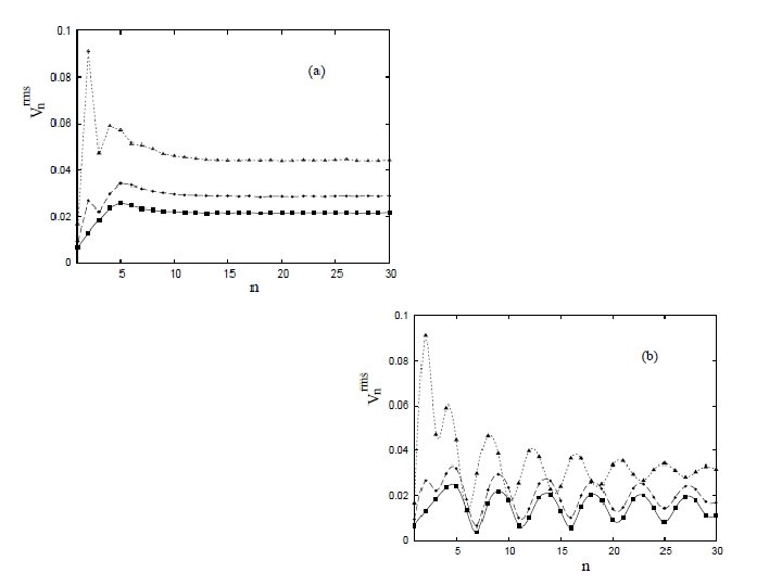
Flow coefficients calculated from HIJING final particle momenta with momentum cut-off no cut-off 37
38
• Correspondence between the physics of Heavy Ion Collisions and Cosmic Microwave Background Radiation • Importance of CMBR data analysis technique in the flow analysis in Heavy Ion Collisions. 39
- Slides: 39