SUMMARY OF TESTS SUMMARY OF TESTS Series Tests

  • Slides: 25
Download presentation
SUMMARY OF TESTS

SUMMARY OF TESTS

SUMMARY OF TESTS Series Tests Special Series: 1) Divergence Test 1) Geometric Series 2)

SUMMARY OF TESTS Series Tests Special Series: 1) Divergence Test 1) Geometric Series 2) Integral Test 2) Harmonic Series 3) Comparison Test 3) Telescoping Series 4) Limit Compar Test 4) Alter Harmonic 5) Ratio Test 5) p-series 6) Root Test 6) Alternating p-series 7) Alter Series Test

Types of questions in the exam 1) Determine whether convg or divg AC, CC

Types of questions in the exam 1) Determine whether convg or divg AC, CC 2) Find the sum s 4 -types 5) Partial sums and their properties 4) How many terms are needed within error

PART-1: Series with positive terms 1) Divg Test 2) factorial: ratio test comp+lim comp

PART-1: Series with positive terms 1) Divg Test 2) factorial: ratio test comp+lim comp 3) power of n: root test 4) easy to integrate: integral test 5) similar to geometric: try comp+lim comp 6) Similar to p-series: try comp+lim comp STRATEGY FOR TESTING SERIES PART-2: Alternating Series 1) Study (use PART-1) convg divg use alt. -Test AC convg CC divg PART-3: Series with some negative terms 1) Study convg AC (use PART-1) divg REMARK: For multiple-choice-question: before you start read the alternatives first. It guides you to which tests you need to use.

Final-121

Final-121

Final-121

Final-121

Final-122

Final-122

Final-121

Final-121

Final-131

Final-131

Final-131

Final-131

Final-131

Final-131

Final-131

Final-131

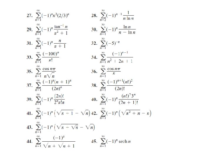
Final-122

Final-122

Final-122

Final-122

Final-122

Final-122

Final-122

Final-122

Final-122

Final-122

Types of questions in the exam 1) Determine whether convg or divg AC, CC

Types of questions in the exam 1) Determine whether convg or divg AC, CC 2) Find the sum s 4 -types 5) Partial sums and their properties 4) How many terms are needed within error

4) How many terms are needed within error PART-1: Series with positive terms PART-2:

4) How many terms are needed within error PART-1: Series with positive terms PART-2: Alternating Series