Substrates for lipid synthesis Phosphatidate is a precursor
 
											Substrates for lipid synthesis Phosphatidate is a precursor of storage and membrane lipids Formed by the addition of two fatty acids to glycerol 3 -phosphate
 
											Triacylglycerol synthesis Triacylglycerol (TAG) synthesis is completed by TAG synthase complex bound to the endoplasmic reticulum The liver is the primary site of triacylglycerol synthesis Liver TAGs are transported to muscle for use as fuel or to adipose tissue for storage
 
											Phospholipid synthesis Phosphatidate is also a precursor for phospholipids Phospholipid synthesis combines diacylglyceride with an alcohol, one of the components must be activated Ethanolamine Choline Inositol
 
											Synthesis from an activated diacylglycerol This reaction is driven by hydrolysis of PPi The activated phosphatidyl unit then reacts with the hydroxyl group of an alcohol
 
											Synthesis from an activated alcohol This reaction is driven by hydrolysis of PPi Phosphatidylethanolamine can be synthesized from CDP-ethanolamine Phosphatidylcholine is the most common phospholipid in humans Dietary choline is activated in a series of reactions analogous to those in the activation of ethanolamine
 
											Phosphatidylcholine may also be synthesized from phosphatidylethanolamine when dietary choline is insufficient S-Adenosyl methionine is the methyl donor
 
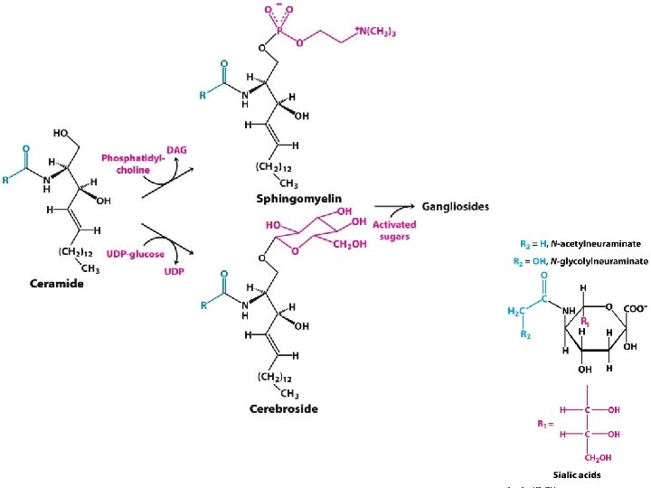
											Sphingolipids are synthesized from ceramide
 
											 
											 
											 
											 
											b-N-acetyl hexosaminidase Tay Sachs disease results from the inability to degrade a ganglioside
 
											Cholesterol synthesis Cholesterol maintains proper fluidity of cell membranes and is the precursor of steroid hormones De novo synthesis occurs predominantly in the liver All 27 C atoms of cholesterol are derived from acetyl Co. A Synthesis begins with the formation of isopentenyl pyrophosphate (IPP), an activated isoprene unit Six molecules of IPP condense to form squalene Squalene cyclizes to a tetracyclic product that is converted to cholesterol
 
											Isopentenyl pyrophosphate synthesis The synthesis of mevalonate is the committed step in cholesterol formation 2 NADPH + 2 H+ HMG-Co. A reductase Mevalonate is converted to an activated 5 -carbon isoprene
 
											Lovastatin is a competitive inhibitor of HMG-Co. A reductase
 
											Squalene synthesis Squalene is synthesized from IPP C 5 C 10 C 15 C 30
 
											Squalene cyclization
 
											Regulation of cholesterol synthesis The rate of cholesterol synthesis is responsive to the cellular levels of cholesterol Cholesterol can be obtained from the diet or synthesized de novo A person on a low cholesterol diet will synthesize about 800 mg of cholesterol per day Feedback inhibition is mediated primarily by changes in the amount and activity of HMG Co. A reductase
 
											When cholesterol levels are high: ↓ Synthesis of reductase m. RNA ↓ Translation of reductase m. RNA ↑ Degradation of the reductase ↑ Phosphorylation of the reductase, decreasing activity
 
											Plasma lipoproteins transport cholesterol and triacylglycerols Lipoproteins are classified according to increasing density
 
											Lipoprotein metabolism
 
											Low-density lipoproteins play a central role in cholesterol metabolism
 
											 
											Familial hypercholesteremia is caused by failure of LDL receptors and consequent high concentrations of LDL cholesterol in the blood
 
											Bile acids facilitate lipid absorption Bile acids are synthesized in the liver from cholesterol, stored and concentrated in the gall bladder and released into the small intestine 7α-Hydroxylase
 
											Liver HMG Co. A Glucose HMG Co. A Reductase Cholesterol Levels LDL Receptor Cholesterol Absorption Blood Vessel Small Intestines LDL
 
											Liver HMG Co. A Glucose HMG Co. A Reductase Cholesterol-7 -hydroxylase Cholesterol Levels LDL Receptor Bile Acid Pool Blood Vessel Re-absorption Gall Bladder Small Intestines LDL
 
											Steroid hormones are signaling molecules that are synthesized from cholesterol Progesterone (a progestagen) prepares the uterus for implantation and the maintenance of pregnancy Testosterone (an androgen) directs the development of male secondary sex characteristics, including maintenance of the testes and development of muscle mass (thus testosterone is an anabolic steroid) Estrogens (eg, estradiol) direct female secondary sex characteristics and participate in the ovarian cycle Glucocorticoids (eg, cortisol) promote gluconeogenesis and glycogen formation, enhance degradation of fat and protein and inhibit the inflammatory response Mineralocorticoids (eg aldosterone) regulate salt balance, volume and pressure of the blood
 
											 
											Vitamin D is derived from cholesterol by the energy of sunlight Vitamin D plays an essential role in calcium and phosphorous metabolism
- Slides: 30
