STUDI KASUS BASIS DATA Tujuan Agar mahasiswa memahami
STUDI KASUS BASIS DATA
Tujuan • Agar mahasiswa memahami tahap-tahap perancangan basis data • Memahami tahapan Final Design dari ERD
DATABASE PT-FURNITURE 1 PEKERJA 3 ORDER PEMBELIAN 5 PELANGGAN 2 DEPARTEMENT 4 PRODUCT
Nama nama alamatlengkap Id_pekerja Telf iddepartemen DEPARTEMENT Lokasi Tgl_lhr PEKERJA nohp Tgl_order jk Gol_drh agama foto Id_order ORDER PEMBELIAN Via_pengiriman
nama alamatlengkap nohp Id_pelanggan PELANGGAN email fax Nama Id_product PRODUCT jenis stok harga
PEKERJA miliki DEPARTEMENT hasilkan tangani jlh ORDER PEMBELIAN memuat Tgl_pengiriman kirim PELANGGAN Tgl_jadi PRODUCT
PEKERJA 1 n miliki 1 DEPARTEMENT 1 hasilkan tangani n n ORDER PEMBELIAN n jlh memuat Tgl_pengiriman kirim 1 PELANGGAN Tgl_jadi n n PRODUCT
Implementasi ke Bentuk Tabel
TABEL PEKERJA TABEL DEPARTEMENT TABEL PRODUCT
TABEL ORDER PEMBELIAN TABEL PELANGGAN TABEL MEMUAT
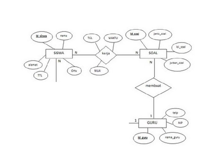
Contoh 2 • Buatlah ERD untuk kasus quiz online (seperti quiz online Basis data / Pemrograman). • Deskripsi: dosen membuat soal yang kemudian akan dikerjakan oleh mahasiswa secara online.
Contoh 3 • Bangun sebuah ER-Diagram untuk perusahaan asuransi mobil yang costumer–costumernya masing-masing memiliki satu atau lebih mobil. Setiap mobil memiliki 0 sampai banyak catatan kecelakaan. Serta bangun tabel-tabel untuk ER-diagram!
Contoh 4 • Desain sebuah generalisasi – spesialisasi hirarki untuk sebuah perusahaan kendaraan bermotor. Perusahaan menjual sepeda motor, mobil penumpang, van, dan bus. Tentukan penempatan atribut Anda pada setiap level hirarki.
Contoh 5 • Sebuah bank memiliki beberapa cabang di daerah yang berlainan. Masing-masing cabang memiliki pelanggan yang relatif banyak. Sebuah rekening mungkin saja dimiliki oleh beberapa pelanggan dan setiap pelanggan boleh memiliki beberapa rekening. Gambarkan skema ERD dan tabel untuk kasus ini.
- Slides: 19