Structural Loads Structural Design Strength structural system can






















- Slides: 22
Structural Loads
Structural Design Strength: structural system can support loads without failure Serviceability: deformations are within allowable limits
Design Manuals • Technical standards which establish requirements for the actual structural design. (a) Type of Structure Standard Specifications for Highway Bridges, (b) Type of Material Manual of Steel Construction, American Institute of Steel Construction (AISC) American Association of State Highway and Transportation Officials (AASHTO) Building Code Requirements for Reinforced Concrete (ACI 318), American Concrete Institute (ACI)
Building Codes • Account for influence of local conditions on building construction (e. g. , building codes specify minimum design loads for structures) International Building Code, International Code Council (ICC) Minimum Design Loads for Buildings and Other Structures, ASCE/SEI 7 -05
What kinds of loads must a structure support? • • • People Material itself Snow Wind Seismic Flood Vehicles Furniture Contents allowed on floor maximum Dirt
Classification of Structural Loads • Dead loads (DL): Dead loads have constant magnitude and fixed location Weight of objects Weight of DL = + permanently attached structure to structure • Live loads (LL): Live loads can have varying magnitude and location can change Loads that can be LL = moved during the life of a structure • Loads due to environmental factors
Environmental Loads – Wind – Snow – Earthquake Design loads given in building codes based on probability of occurrence for given location – Hydrostatic/soil pressure – Blast – Fire Dams, retaining walls, storage tanks When treated as structural loads, require complex analyses
Sample Contour Map Contour map for seismic design
Computing Loads
Floor Plan Diagram • In structural engineering, it is useful to look at floor systems from a plan view. • Plan view means to look at the structural system from directly above (“bird’s eye view”). • From a floor plan, you can: (1) determine the location of the columns, (2) determine the arrangement and spacing of the floor beams, and (3) identify which members are joists, girders, and spandrels.
Floor Plan Diagram
Gravity Loads vs. Lateral Loads
Tributary Area • Distribution of loads to structural members • Ex. - Floor system of a building consisting of a 5 -in. thick reinforced concrete slab resting on four steel floor beams, which are supported by two steel girders.
Tributary Area A 24 ft B C D E F G H Tributary Width for Beam CG = (5 ft + 5 ft) = 10 ft
Computing Dead Loads • Weights for common building materials and building components are given in tables (refer to Table 1 -2, p. 10 in Hibbeler text)
Example: Dead Load/Tributary Area • Given: – Floor plan and member areas shown in figure below. – Unit weight for reinforced concrete = 150 lb/ft 3 – Unit weight for steel = 492 lb/ ft 3 • Compute the dead load acting on beams CG and DH, and girder AD.
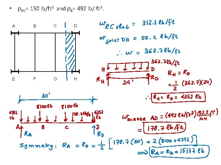
• RC= 150 lb/ft 3 and S= 492 lb/ ft 3. DBEAM-CG , DBEAM-DH , and DGIRDER-AD ?
• RC= 150 lb/ft 3 and S= 492 lb/ ft 3. A B C D E F G H
Alternatively: use tributary area to find force on column D. A B C D E F G H
Live Loads in Buildings • Design live loads for buildings provided in ASCE/SEI-7 (refer to Table 1 -4, p. 13 in Hibbeler text)
Live Loads on Bridges • Highway Bridges (AASHTO specification): Design Truck Load: • Live loads applied rapidly cause greater stresses in members Impact Factors
Computing Wind Loads • Static wind pressure computed from kinetic energy by qs = 0. 5 m. V 2 m = mass density of air V = velocity of wind (ASCE/SEI-7) • qs is then modified to account for – – – Importance of building (hospital vs. warehouse) Exposure conditions (city vs. open plains) Topography (level ground vs. on a hill) Gustiness How wind is distributed on sides of building.