Storia del pensiero economico Il corso di Storia


























- Slides: 26
Storia del pensiero economico Il corso di Storia del pensiero economico propone una indagine sulla formazione storica dei concetti economici correnti. Si affronta e discute il problema della ricostruzione delle fonti del dibattito economico contemporaneo
• Principali scuole 1. Il pensiero economico antico 2. L’epoca medievale 3. Le scuole tra il Cinque- e il Settecento Mercantilismo Fisiocrazia Aritmetica politica 4. Scuola classica Lo sviluppo della economia politica come programma scientifico illuminista Scuole nazionali (principali autori) 5. Scuola neoclassica e marginalismo 6. L’epoca di Keynes –
Cenni sul concetto di scienza e di metodo scientifico • Il problema del metodo nelle indagini di storia della scienza. • Paradigmi e programmi di ricerca in economia politica. • Rapporto tra economia positiva e storia dell'economia politica. • Autori da ricordare: K. Popper, Th. Kuhn, I. Lakatos.
Fonti del pensiero economico moderno e contemporaneo • • • - Giusnaturalismo Politica economica Aritmetica politica
Le origini: dalla oikonomia alla società commerciale. • Concezioni del sistema economico in epoca moderna: cameralismo, mercantilismo, popolazionismo; interesse e moneta; valore e prezzo; aritmetica politica, economia civile, economia politica. • L’economia politica moderna come sottoprodotto dell’Illuminismo europeo: autori, scuole, caratteri nazionali. • Misurazione dei fatti economici e contabilità. Il concetto di "ordine economico" da B. Mandeville ad Adam Smith. • La ‘Scuola classica’: significati della concezione classica in economia politica.
Mercantilismo • • • Gerald de Malynes (1586 -1641) Edward Misselden (1608 -54) Thomas Mun (1571 -1641) Josiah Child (1630 -99) Antonio Serra (seicento)
Aritmetica politica • • William Petty (1623 -87) Jean Bodin (1530 -96) John Locke (1632 -1704) Richard Cantillon (m. 1734)
Riformatori (Consultant Administrators) • Pietro Verri (1728 -97): Bilanci del commercio • Cesare Beccaria (1738 -1794): Dei delitti e delle pene • Antonio Genovesi (1713 -69): Economia civile • Ferdinando Galiani (1728 -87): Della moneta
Fisiocrazia • François Quesnay (1694 -1774): Tableau économique • A. R. J. Turgot (1727 -81): Formation et distribution des richesses • TEMI: Lavoro produttivo Produit net – Impôt unique – Capitale (avances) più importante della popolazione –
La ‘Scuola classica’: significati della concezione classica della economia politica. • Autori significativi: • Adam Smith, David Hume, Cesare Beccaria, Ferdinando Galiani, Thomas Robert Malthus, David Ricardo, Karl Marx
La concezione del sovrappiù L'analisi del "produit net" dalla fisiocrazia a Marx. Autori da ricordare: F. Quesnay, A. R. J. Turgot, Thomas Robert Malthus, David Ricardo, Karl H. Marx, P. Sraffa.
L’economia politica neoclassica • Il marginalismo. Le scuole nazionali dalla seconda metà dell'Ottocento e i loro sviluppi. Scuole e linee di pensiero negli "anni dell'alta teoria". Lo sviluppo delle discipline aziendali; la teoria dell’impresa e delle forme di mercato; l’economia industriale. • W. S. Jevons, C. Menger, L. Walras • A. Marshall, M. Pantaleoni, E. Boehm-Bawerk, K. Wicksell.
Gli anni dell’alta teoria. • Formazione e consolidamento del paradigma keynesiano. • J. M. Keynes
Retrospettive tematiche • • La teoria della moneta; La teoria della finanza pubblica; La teoria del commercio internazionale; Accumulazione, capitale, distribuzione.
La Scuola neoclassica • Le origini: W. S. Jevons, C. Menger, L. Walras. • La teoria dell'equilibrio e il problema della dinamica economica: da Walras a Schumpeter.
BIBLIOGRAFIA • Testo consigliato: • Screpanti, E. , Zamagni, S. Profilo di storia del pensiero economico: dalle origini a Keynes, Roma: Carocci, terza edizione, 2004, primo volume. • Altri suggerimenti • SCHUMPETER, J. A. Storia dell’analisi economia politica, Boringhieri, 3 voll. , 1961. • New Palgrave. A Dictionary of Economics. Macmillan, 1987 • Elgar Companions
Suggerimenti bibliografici • • • Appunti delle lezioni Gli autori da approfondire sono i seguenti: Adam Smith, David Ricardo, Karl Marx, Alfred Marshall, Vilfredo Pareto, Piero Sraffa, John Maynard Keynes E’ consigliato il testo di • B. Ingrao, F. Ranchetti • Il mercato nel pensiero economico, Hoepli, ultima edizione • • • Altri suggerimenti Schumpeter, J. A. Storia dell’analisi economia politica, Boringhieri, 3 voll. , 1961. New Palgrave. A Dictionary of Economics. Macmillan, 1987
Teoria quantitativa della moneta MV = p. Y
Scuola fisiocratica 1 M M A MP A A MP
Scuola fisiocratica 2 A M MP A A M MP
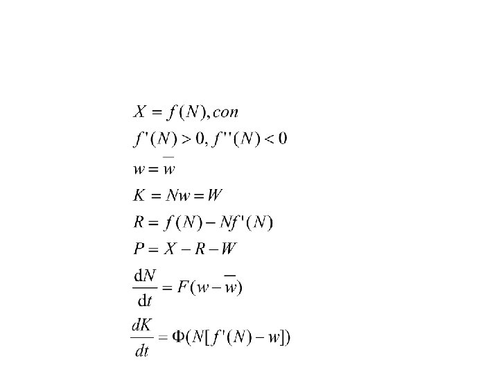
f ’(N) R P w* W 0 N* N
RICARDO • Valore: due merci che sono prodotte colla stessa quantità di lavoro possono avere diverso valore se diverso è il tempo necessario a portarle al mercato. • Con capitale circolante costituito di solo salario pagato anticipatamente, si ottiene: • p = wl (1 + r)2
ADAM SMITH • Prezzo naturale e sue parti componenti • p = wl + pkr = wl + pk (1 + r)
Adam Smith • ADAM SMITH (17231790) • Lavoro contenuto e lavoro comandato