Storage The Memory Hierarchy Typically magnetic disks magneto


















- Slides: 18
Storage
The Memory Hierarchy Typically magnetic disks, magneto optical (erasable), CD ROM. • Access times in milliseconds, great variability. • Unit of read/write = block or page, typically 16 Kb. • Capacities in gigabytes. Desired data carried to read/write port, access times in seconds. Most common: racks of tapes; newer devices: CD ROM “juke boxes, ” tape “silo's. ” Capacities in terabytes. under a microsecond, random access, perhaps 2 Gb fastest, but small
Volatile vs. Non Volatile A storage device is nonvolatile if it can retain its data after a power shutoff. Volatile
Computer Quantities Roughly: K M G T P Kilo Mega Giga Tera Peta
Disks • Platters with top and bottom surfaces rotate around a spindle. • Diameters 1 inch to 4 feet. • 2 --30 surfaces. • Rotation speed: 3600 --7200 rpm. • One head per surface. • All heads move in and out in unison.
Tracks and sectors • Surfaces are covered with concentric tracks. – Tracks at a common radius = cylinder. – Important because all data of a cylinder can be read quickly, without moving the heads. – A big magnetic disk: 216 = 65, 536 cylinders • Tracks are divided into sectors by unmagnetized gaps (which are 10% of track). – Typical track: 256 sectors. – Typical sector: 4096 bytes. • Sectors are grouped into blocks. – Typical: one 16 K block = 4 4096 byte sectors.
MEGATRON 747 Disk Parameters • • • There are 8 platters providing 16 surfaces. There are 216, or 65, 536 tracks per surface. There are (on average) 28= 256 sectors per track. There are 212=4096=4 K bytes per sector. Capacity = 16*28*212 = 240 = 1 TB
Disk Controller 1. Schedule the disk heads. 2. Buffer data in and out of disk. 3. Manage the "bad blocks'' so they are not used.
Disk access time • Latency of the disk (access time): The time to bring block X, to main memory, from disk after the “read block” command is issued. • Main components of access time are: – Seek time = time to move heads to proper cylinder. – Rotational delay = time for desired block to come under head. – Transfer time = time during which the block passes under head.
Cause of rotational delay On average, the desired sector will be about half way around the circle when the heads arrive at the cylinder.
MEGATRON 747 Timing Example Timing properties of the Megatron 747 disk: 1. To move the head assembly between cylinders takes 1 ms to start and stop, plus 1 additional millisecond for every 4000 cylinders traveled. – Thus, moving from the innermost to the outermost track, a distance of 65, 536 tracks, is about 17. 38 milliseconds. 2. The disk rotates at 7200 rpm; i. e. , it makes one rotation in 8. 33 milliseconds. 3. Gaps occupy 10% of the space around a track.
MIN time to read a 16, 384 byte block • • The minimum time, is just the transfer time. Since there are 4096 bytes per sector on the Megatron 747, the block occupies 4 sectors. – The heads must therefore pass over 4 sectors and the 3 gaps between them. • Recall that: – the gaps represent 10% of the circle and sectors the remaining 90%, – i. e. 36 degrees are occupied by gaps and 324 degrees by the sectors. – there are 256 gaps and 256 sectors around the circle, So – a gap is 36/256 = 0. 14 degrees, and – a sector is 324/256 = 1. 265 degrees The total degrees covered by 3 gaps and 4 sectors is: 3*0. 14+4*1. 265 = 5. 48 degrees • • • The transfer time is thus (5. 48/360) x 0. 00833 =. 00013 seconds. That is, the block might be on a track over which the head is positioned already, and the first sector of the block might be about to pass under the head. That is, 5. 48/360 is the fraction of a rotation need to read the entire block, and. 00833 seconds is the amount of time for a 360 degree rotation.
MAX time to read a 16, 384 byte block • First thing the controller must do is move the heads. As we observed above, the time to move the Megatron 747 heads across all cylinders is about 17. 38 ms. This quantity is the seek time for the read. • The worst thing that can happen when the heads arrive at the correct cylinder is that the beginning of the desired block has just passed under the head. • Assuming we must read the block starting at the beginning, we have to wait essentially a full rotation, or 8. 33 ms for the beginning of the block to reach the head again. • Once that happens, we have only to wait an amount equal to the transfer time, 0. 13 ms, to read the entire block. • Thus, the worst case latency is 17. 38+8. 33+0. 13=25. 84 ms. The heads are positioned at the innermost cylinder, and the block we want to read is on the outermost cylinder (or vice versa).
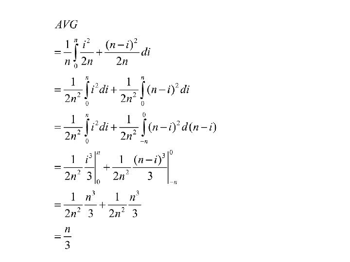
AVG time to read a 16, 384 byte block • Two of the components of the latency are easy to compute: – the transfer time is always 0. 13 milliseconds and – the average rotational latency is the time to rotate the disk half way around, or 4. 17 milliseconds. • We might suppose that the average seek time is just the time to move across half the tracks. – Not quite right, since typically, the heads are initially somewhere near the middle and therefore will have to move less than half the distance, on average, to the desired cylinder. • Assume the heads are initially at any of the 65, 536 cylinders with equal probability. • If at cylinder 1 or cylinder 65, 536, then the average number of tracks to move is (1 + 2 +. . . + 65, 536)/65, 536, or about 32, 000 tracks. • At the middle cylinder 32, 000, the head is equally likely to move in or out, and either way, it will move on average about a quarter of the tracks (4096) • So, what’s the average number of tracks to travel?
AVG time to read a 16, 384 -byte block Average number of cyls to travel, if the heads are currently positioned at cyl i. Avg number of cyls to travel if the block is on the left. Probabilit y the block is on the left Avg number of cyls to travel if the block is on the right. Probabilit y the block is on the right
AVG time to read a 16, 384 byte block • Transfer time is always 0. 13 milliseconds and • Average rotational latency is the time to rotate the disk half way around, or 4. 17 milliseconds. • Average seek time is: 1+(65536/3)*(1/4000) +1 = 6. 46 ms • Total: 6. 46 + 4. 17 + 0. 13 = 10. 76 ms
Writing and Modifying Blocks • Writing same as reading, unless we verify written blocks. – Takes another rotation of disk. – Verify by observing parity check bits. – Try again if fail (same for reading a block). • Modifying a block requires: 1. Read the block into main memory. 2. Modify the block there. 3. Write the block back to disk.