Starting Your Own Business Types of Business Organizations
Starting Your Own Business • Types of Business Organizations – – – Sole Proprietorships General Partnerships Limited Partnerships Corporations Registered Limited Liability Partnerships Limited Liability Companies • Factors – – – – Formation Taxation Liability Management Ability to raise Capital Transferability of Ownership Interests Continuity of Life
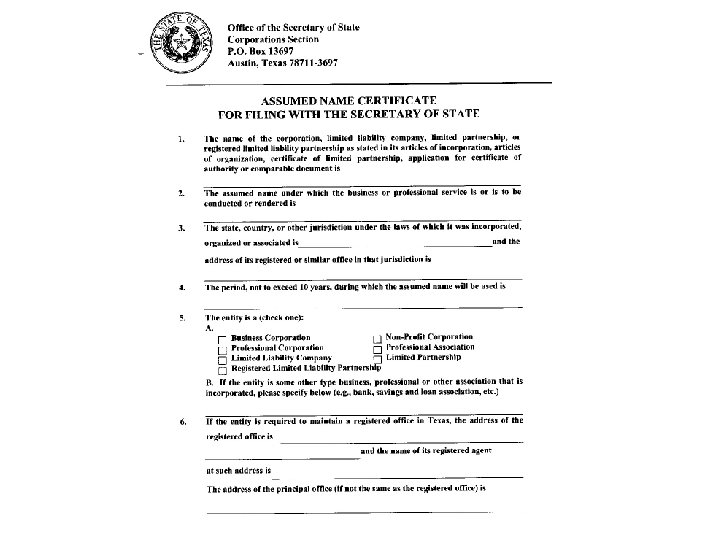
Formation of a Sole Proprietorship • • • Assumed Name Certificate Name Search TBCE Facilities Registration IRS - Employer I. D. Number Texas Work Force Commission Texas Department of Health (x-rays)
Tex. Bus. and Comm. Code, § 36. 10 (a) Any person who regularly conducts business or renders professional services. . . under an assumed name shall file in the office of the county clerk in each county in which such person has or will maintain business or professional premises. . . , a certificate setting forth: (1) the assumed name under which such business or professional service is or is to be conducted or rendered; (2) if the registrant is: (A) an individual, his full name and residence address; . . . (3) the period, not to exceed 10 years, during which the assumed name will be used; and (4) a statement specifying that the business or professional service that is or is to be conducted or rendered in the county under such assumed name is being or will be conducted or rendered as a proprietorship, sole practitioner, partnership, . . . (b) A certificate filed under Subsection (a) of this section shall be executed and acknowledged by each individual whose name is required to be stated therein. . .
Partnership • Formation of a New Partnership • The Partnership Contract – – Uniform Partnership Act Rights of Partners (profits, management, books, loans) Duties of Partners (good faith, reasonable care, accounting) Powers of Partners (apparent authority) • Liabilities of Partners – Tort Liability – Contract Liability • General v. Limited Partnership • Dissolution of a Partnership • Winding up Partnership Affairs – Public Notice of Dissolution – Creditors’ Rights on Dissolution
Uniform Partnership Act • A Partnership is an entity distinct from its partners. § 201. • Property acquired by a Partnership is property of the Partnership and not of the Partners, individually. § 203. • Relations among the Partners and between the Partners and the Partnership are governed by the Partnership Agreement. To the extent the Partnership Agreement does not otherwise provide, this Act governs relations among the Partners and between the Partners and the Partnership. § 103.
Uniform Partnership Act (Cont. ) • The association of two or more persons, to carry on as Coowners a business for profit, forms a Partnership, whether or not the persons intend to form a Partnership. § 302. • If a person, by words or conduct, purports to be a Partner, or consents to being represented by another as a Partner, in a Partnership or with one or more persons not Partners, the purported Partner is liable to a person to whom the representation is made, if that person, relying on the representation, enters into a transaction with the actual or purported Partnership. § 308.
Uniform Partnership Act (Cont. ) • A Partnership is liable [for the acts of a] Partner acting in the ordinary course of business in a Partnership or with the authority of the Partnership. § 305. • All Partners are liable jointly and severally for all obligations of the Partnership. § 306. • Each Partner is entitled to an equal share of the Partnership profits and is chargeable with a share of the Partnership losses in proportion to the Partner’s share of the profits. § 401(b).
Uniform Partnership Act (Cont. ) • A Partnership shall reimburse a Partner for payments made and indemnify a Partner for liabilities incurred by the Partner in the ordinary course of the business of the Partnership or for the preservation of its business or property. § 401(c). • A Partnership shall reimburse a Partner for an advance to the Partnership. § 401(d). • Amounts owed to Partners, other than their capital contribution, accrue interest. § 401(e).
Uniform Partnership Act (Cont. ) • Each Partner has equal rights in the management of the Partnership business. § 401(f). • Each Partner may use or possess Partnership property only on behalf of the Partnership. § 401(g). • A Partner is not entitled to payment for services performed for the Partnership. § 401(h). • A Partnership shall provide Partners, and their agents and attorneys access to its books and records. . . during ordinary business hours. § 403(d).
Uniform Partnership Act (Cont. ) • A Partner’s duty of loyalty to the Partnership includes the duty: – To account to the Partnership, – To refrain from dealing with the Partnership as or on behalf of a party having an interest adverse to the Partnership, and – To refrain from competing with the Partnership. § 404(d). • The Partner’s duty of care includes refraining from engaging in grossly negligent or reckless conduct, intentional misconduct, or a knowing violation of law. § 404(c). • Partners owe a duty of good faith and fair dealing to the Partnership and the other Partners. § 404(d).
Partnership Agreements • • • Purpose of Partnership (Broad vs. Specific) Name of Partnership Duration of Partnership Property Covenant not to Compete Management of Business (matters requiring unanimous consent) Contracts Employment and Dismissal of Personnel Sharing of Profits Buyout Agreement Right of First Refusal
Partnership Agreements (Cont. ) • • Death, Bankruptcy, Divorce or other transfers Method of Accounting Location of Books and Records Withdrawal, Retirement or Expulsion
Corporations • The Business Corporation – Definition – Advantages (raise capital, liability, transferability) – Disadvantages (costs, taxes, formalities) • Formation of a Corporation – – – – Incorporators Articles of Incorporation Registered Agent and office Organizational Minutes Bylaws $1000 Directors & Officers - same person Shareholders’ Agreement
• Powers of a Corporation – – Express Implied General Ultra Vires • Management of a Corporation – Shareholders – Directors – Officers • Court Appearances
• Rights of Stockholders – Right to a Stock Certificate – Right to Transfer Stock – Right to Attend Meetings and Vote • Cumulative voting • Proxy voting – Right to Dividends – Right to Inspect the Corporation=s Books – Preemptive Right to Purchase Stock – Right to a Share of the Net Assets
• Liability – – Shareholders Directors Officers NSF Checks • Dissolution of a Corporation – Involuntary – Forfeiture of Charter – Voluntary • Protecting Buyers of Securities – The Securities and Exchange Commission – The United States Postal Service – Blue-Sky Laws
• Registered Limited Liability Partnerships • Limited Liability Companies
Office Sharing – Common advertising – “Firm” name – Answering the telephone – Office sign – Common Entrance – Checks payable to – Office letterhead – Credit card imprinter – Insurance billing – How the doctors characterize their relationship – How staff characterizes their relationship – Seeing each other’s patients
Starting Your Own Business • Types of Business Organizations – – – Sole Proprietorships General Partnerships Limited Partnerships Corporations Registered Limited Liability Partnerships Limited Liability Companies • Factors – – – – Formation Taxation Liability Management Ability to raise Capital Transferability of Ownership Interests Continuity of Life
• Nature and Ownership of Real and Personal Property – The Nature of Real and Personal Property – Acquiring Ownership of Personal Property • Creation, Purchase or Finding • Gift (intention, delivery, acceptance) • Accession – Forms of Ownership of Real Property • • • Tenancy in Severalty Joint Tenancy in Common Tenancy by the Entirety Community Property
Acquiring Title to Real Property • Ways to Acquire Title – Acquisition by Purchase – Acquisition by Gift – Acquisition by Adverse Possession – Acquisition by Foreclosure Sale • Liens • Property Taxes – Acquisition by Inheritance
Procedures for Buying Realty • • Contract of Sale/Earnest Money Contract for Deed Title Search and Abstract of Title Environmental Issues “Closing” Recording of the Deed Kinds of Deeds – Quitclaim Deed – Bargain and Sale Deed (Special Warranty Deed) – Warranty Deed
Limitations on Ownership of Real Property • Limitations Created by Contract – Restrictions – Easements – Licenses • Limitations Imposed by Law – – Air and water rights Taxes & Assessments Eminent Domain Zoning • Real Property Liens – – Mortgages Mechanic’s Liens Judgment Liens Lis Pendens
Renting Real Property • What is a Lease? • Kinds of Leases – Tenancy for Years – Periodic Tenancy – Tenancy at Will
Important Clauses in Leases • • Acceleration of rent Anchor Stores ADA Compliance Assignment and Subletting Commencement Date Condition of Premises Default by Tenant – Right to Notice and Cure – Lockout – Mitigation • • • Entire Agreement Exclusivity Guaranty Holdover Penalty Landlord’s Lien • • • • Leasehold Improvements Leasehold title insurance Merchant’s Association “Most favored tenant” clause Non-recourse against landlord Operating (CAM) costs Percentage rent Relocate tenant Security Deposit Services and utilities Subordination, non-disturbance and attornment Trade Fixtures Use of Common areas Zoning
Renting Real Property • Tenant’s liability for injuries on premises • Termination of the Lease – – By agreement By Breach By destruction of the premises By operation of law (e. g. , eminent domain) • BP Venture v. Stucki (p. 55) – 3 year lease at $2, 000 per month, plus CAM – Breach after first year – Judgment for $66, 804. 48, including $19, 000 for CAM
Equipment Lease • Separate finance company and manufacturer • Unwritten promises • Effect of breach of warranty on liability to finance company – (pp. 83 -85)
Signing Contracts as as Agent/Employee • Agent’s Liability to Third Parties – Sign contracts with: • principal’s correct name • “by” agent’s name • agent’s title – Examples of Signature Lines (Assume Parker Chiropractic, Inc. , d/b/a Beta Clinic; Dr. Parker is President) _________ Dr. Parker
Beta Clinic, Inc. _________ By Dr. Parker Chiropractic, Inc. _______ Dr. Parker Chiropractic, Inc. , d/b/a Beta Clinic ________ By Dr. Parker, its President
Radiation • No protective material in wall to protect employee • No protective garments • No monitor • Sued for negligence, and for intentional and reckless conduct that was extreme and – Gilmore v. Ivey, p. 57
Vicarious Liability: Extended Responsibility • Basis for Liability – Respondeat Superior – Agency – Negligent Hiring
Respondeat Superior • Respondeat Superior – An employer is liable for the negligence of its employees, while they are acting within the scope of their employment. – Why should employer be liable? – Barnes v. Mitchell - x-ray tube – Shirley Cook (p. 59) • Use of cervical traction caused TMJ injury • $119, 600 verdict
Respondeat Superior • Exceptions to Respondeat Superior a) Outside the scope of employment b) Intentional tortious act of employee • Shelby - Assault (p. 60) • Kirby Vacuum Cleaners • Frito-Lay • Negligent Hiring – Nursing supervisor assaulted patient’s visitor – Nursing home failed to verify license – 56 theft convictions • Deerings West Nursing Center v. Scott (p. 62)
Respondeat Superior • Administrative matters Clerical and Billing errors Baxter: “Conscious ignorance” • Insurance Problems – Maintain adequate insurance on associate doctors • Vacations
Vicarious Liability • Vacations – Substitute to cover your office • Liable for substitute’s conduct • No insurance – Close your office • Risk of losing patients • Treatment interruption • Risk of abandonment claims – Referral
Employment Matters • What is an Employment? – Form of Employment Contracts – An Employer’s Liability for Employee’s Acts – Termination of the Employment Contract • The Employment At-Will Doctrine • Which Laws Apply • Preventive Practices
Review of Contracts • Names of Parties – Business Entity v. Individual • Location of Employment • Duties – Full Time – Additional Duties • Term of Agreement • Grounds for Termination – Limited to Good Cause – Definition of Good Cause – Notice and Opportunity to Cure Default • Severability • Entire Agreement
Review of Contracts • Covenant not to Compete – Time – Geographical Area – Scope of Activity – Patient Solicitation – Employee Raiding – Liquidated Damages – Myerowitz v. Howard (pp. 69 -70) – Ireland v. Franklin, 950 S. W. 2 d 155 (Tex. App. - San Antonio 1997, no writ)
Review of Contracts • Confidentiality – Patient Information – Other Business Information • • Compensation Vacation and Holidays Malpractice Insurance Indemnification – Pike Creek Chiropractic v. Robinson (p. 80) • Assignment – covenant not to compete may not be enforceable by new owner of clinic unless the contract includes an assignment clause • Pascal v. Beigel (p. 71) • Arbitration and Venue Clauses
Independent Contractors • IRS Factors (pp. 63 -64) 1. Instructions 2. Training 3. Integration 4. Services rendered personally 5. Hiring, supervising, and paying assistants 6. Continuing relationship 7. Set hours of work 8. Full time required 9. Working on employer premises 10. Order or sequence set
Independent Contractors • IRS Factors (continued) 11. Oral or written reports 12. Payment by hour, week, or month 13. Payment of business/travel expenses 14. Furnishing tools or materials 15. Significant investment 16. Realization of profit or loss 17. Working for more than one business at a time 18. Making services available to the general public 19. Firm’s right to discharge 20. Worker’s right to terminate
Employment at Will • Exceptions to employment at will 1. Contracts 2. Estoppel 3. Retaliation 4. Discrimination 5. Jury Duty 6. Military Duty 7. Union Membership
Which Laws Apply 1. Title VII, Americans with Disabilities Act (ADA), and Texas Commission on Human Rights Act (TCHRA) 2. Age Discrimination in Employment Act (ADEA) 3. Occupational Safety and Health Act (OSHA) 4. Family and Medical Leave Act (FMLA) 5. Consolidated Omnibus Budget Reconciliation Act (COBRA) 6. Fair Labor Standards Act (FLSA) 7. Texas Payday Act 8. Employee Polygraph Protection Act (p. 78) 9. Concealed Handguns 10. Required Notices
Interview Questions • • • • Age Arrests Attendance Weekend work Birthplace Convictions Credit History Disability Drug and alcohol Use Family Status Height/Weight Language Litigation Marital Status
Interview Questions • • • • Medical History Military Service Name National Origin Organizations Photographs Pregnancy Race or Color References Relatives and Friends Religion or Creed Residence Sex Union Affiliation Workers’ compensation history
Preventive Practices • Interview thoroughly and verify references, licenses, and education • Written Agreements • Clear Policies • Progressive Discipline • Timing • Reasons for Termination • Unemployment Claims • Effective Communications • Job Descriptions • Staff Meetings • Training • Office Procedure Manual (may change “at will” status) • Set the tone for the office: professional, honest, service oriented
Termination/Release Agreement • . . . a waiver may not be considered knowing and voluntary unless at a minimum – (A) the waiver is part of an agreement between the individual and the employer that is written in a manner calculated to be understood by such individual, or by the average individual eligible to participate; – (B) the waiver specifically refers to rights or claims arising under this chapter; – (C) the individual does not waive rights or claims that may arise after the date the waiver is executed; – (D) the individual waives rights or claims only in exchange for consideration in addition to anything of value to which the individual already is entitled; – (E) the individual is advised in writing to consult with an attorney prior to executing the agreement; – (F) the individual is given a period of at least 21 days within which to consider the agreement. . . ; – (G) the agreement provides that for a period of at least 7 days following the execution of such agreement, the individual may revoke the agreement, and the agreement shall not become effective or enforceable until the revocation period has expired; – (H) if a waiver is requested in connection with an exit incentive or other employment termination program offered to a group or class of employees, . . . » 29 U. S. C. § 626(f)(1)
Compliance Plans • Seven Basic Elements – establishing compliance standards through the development of a code of conduct and written policies and procedures; – assigning compliance monitoring efforts to a designated compliance officer or contact; – conducting comprehensive training and education on practice ethics and policies and procedures; – conducting internal monitoring and auditing focusing on high-risk billing and coding issues through performance of periodic audits;
Compliance Plans • Seven Basic Elements (continued) – developing accessible lines of communication, such as discussions at staff meetings regarding fraudulent or erroneous conduct issues and community bulletin boards, to keep practice employees updated regarding compliance activities; – enforcing disciplinary standards by making clear or ensuring employees are aware that compliance is treated seriously and that violations will be dealt with consistently and uniformly; and
Compliance Plans • Seven Basic Elements (continued) – responding appropriately to detected violations through the investigation of allegations and the disclosure of incidents to appropriate Government entities. • Draft Compliance Program Guidance for Individual and Small Group Physician Practices, The Office of Inspector General • http: //www. dhhs. gov/progorg/oig/modcomp/cpgphysiciandraft. htm
Getting Paid • CPT Codes • Upcoding – 99201 - 99205 • Self-test • Associate Doctors’ Concerns – Stich v. Oakdale Dental Center (p. 90)
Piercing the Corporate Veil • We disregard the corporate fiction, even though corporate formalities have been observed and corporate and individual property have been kept separately, when the corporate form has been used as part of a basically unfair device to achieve an inequitable result. Specifically, we disregard the corporate fiction: • (1) when the fiction is used as a means of perpetrating fraud; • (2) where a corporation is organized and operated as a mere tool or business conduit of another corporation; • (3) where the corporate fiction is resorted to as a means of evading an existing legal obligation; • (4) where the corporate fiction is employed to achieve or perpetrate monopoly; • (5) where the corporate fiction is used to circumvent a statute; and • (6) where the corporate fiction is relied upon as a protection of crime or to justify wrong. Castleberry v. Branscum, 721 S. W. 2 d 270 (Tex. 1986)
- Slides: 65