Stability Tacoma Narrows Bridge a as oscillation begins
Stability
Tacoma Narrows Bridge (a) as oscillation begins and (b) at catastrophic failure.
Tacoma Narrows Bridge (a) as oscillation begins and (b) at catastrophic failure.
Stability Definitions • A system is stable if the natural response approaches zero as time approaches infinity • A system is unstable if the natural response approaches infinity as time approaches infinity • A system is marginally stable if the natural response neither decays nor grows but remains constant or oscillates. • A system is stable if every bounded input yields a bounded output • A system is unstable if any bounded input yields an unbounded output
Common cause of problems in finding closed-loop poles: a. original system; b. equivalent system Stable systems have closed-loop transfer functions with poles in the left half-plane. Unstable systems have closed-loop transfer functions with at least one pole in the right half-plane, and/or poles of multiplicity greater than one on the imaginary axis Marginally stable systems have closed-loop transfer functions with only imaginary axis poles of multiplicity one and poles in the left half-plane.
Routh-Hurwitz Criterion Using this method we can tell how many closed-loop poles are in the left half-plane, in the right half-plane and on the imaginary axis. The method requires two steps: (1) Generate the data table (Routh table) and (2) Interpret the table to determine the number of poles in LHP and RHP.
Introduction The issue of ensuring the stability of a closedloop feedback system is central to control system design. Knowing that an unstable closed -loop system is generally of no practical value, we seek methods to help us analyze and design stable systems. A stable system should exhibit a bounded output if the corresponding input is bounded. This is known as bounded-input, bounded-output stability.
The stability of a feedback system is directly related to the location of the roots of the characteristic equation of the system transfer function. The Routh–Hurwitz method is introduced as a useful tool for assessing system stability. The technique allows us to compute the number of roots of the characteristic equation in the right half-plane without actually computing the values of the roots. Thus we can determine stability without the added computational burden of determining characteristic root locations. This gives us a design method for determining values of certain system parameters that will lead to closed-loop stability. For stable systems we will introduce the notion of relative stability, which allows us to characterize the degree of stability.
The Concept of Stability A stable system is a dynamic system with a bounded response to a bounded input. Absolute stability is a stable/not stable characterization for a closed-loop feedback system. Given that a system is stable we can further characterize the degree of stability, or the relative stability.
The Concept of Stability The concept of stability can be illustrated by a cone placed on a plane horizontal surface. A necessary and sufficient condition for a feedback system to be stable is that all the poles of the system transfer function have negative real parts. A system is considered marginally stable if only certain bounded inputs will result in a bounded output.
Stability Definitions • A system is stable if the natural response approaches zero as time approaches infinity • A system is unstable if the natural response approaches infinity as time approaches infinity • A system is marginally stable if the natural response neither decays nor grows but remains constant or oscillates. • A system is stable if every bounded input yields a bounded output • A system is unstable if any bounded input yields an unbounded output
Common cause of problems in finding closed-loop poles: a. original system; b. equivalent system Stable systems have closed-loop transfer functions with poles in the left half-plane. Unstable systems have closed-loop transfer functions with at least one pole in the right half-plane, and/or poles of multiplicity greater than one on the imaginary axis Marginally stable systems have closed-loop transfer functions with only imaginary axis poles of multiplicity one and poles in the left half-plane.
Stability of Control System • There are several meanings of stability, in general there are two kinds of stability definitions in control system study. • Absolute Stability • Absolute stability is just telling if the system is stable or not ( routh hurwitz criteria) • Relative Stability • Relative stability is being able to tell the exact stability domain of the given system ( rootlocus, bode plot, Nyquist etc) 13
Relative stability and absolute stability • Relative stability and absolute stability are not two different "kinds" of stability. Absolute stability is a binary thing, is the system stable or not? • Relative stability will tell you, if your system is stable, by how much can you increase the gain of the system or the phase lag of the system before it becomes unstable? • So any technique that tell you whether a system is stable or not could also be used to calculate these two relative stability metrics 14
Stability of Control System • Roots of denominator polynomial of a transfer function are called ‘poles’. • The roots of numerator polynomials of a transfer function are called ‘zeros’. 15
Stability of Control System • Poles of the system are represented by ‘x’ and zeros of the system are represented by ‘o’. • System order is always equal to number of poles of the transfer function. • Following transfer function represents nth order plant (i. e. , any physical object). 16
Stability of Control System • Poles is also defined as “it is the frequency at which system becomes infinite”. Hence the name pole where field is infinite. • Zero is the frequency at which system becomes 0. 17
Stability of Control System • Poles is also defined as “it is the frequency at which system becomes infinite”. • Like a magnetic pole or black hole. 18
Relation b/w poles and zeros and frequency response of the system • The relationship between poles and zeros and the frequency response of a system comes alive with this 3 D pole-zero plot. Single pole system 19
Example • Consider the Transfer function calculated in previous slides. • The only pole of the system is 20
Examples • Consider the following transfer functions. • Determine • • Whether the transfer function is proper or improper Poles of the system zeros of the system Order of the system i) iii) iv) 21
Stability of Control Systems • The poles and zeros of the system are plotted in s-plane to check the stability of the system. LHP RHP s-plane 22
Stability of Control Systems • If all the poles of the system lie in left half plane the system is said to be Stable. • If any of the poles lie in right half plane the system is said to be unstable. • If pole(s) lie on imaginary axis the system is said to be marginally stable. LHP RHP s-plane 23
Stability of Control Systems • For example • Then the only pole of the system lie at LHP RHP X -3 s-plane 24
Examples • Consider the following transfer functions. § § § Determine whether the transfer function is proper or improper Calculate the Poles and zeros of the system Determine the order of the system Draw the pole-zero map Determine the Stability of the system i) iii) iv) 25
The Routh-Hurwitz Stability Criterion It was discovered that all coefficients of the characteristic polynomial must have the same sign and non-zero if all the roots are in the left-hand plane. These requirements are necessary but not sufficient. If the above requirements are not met, it is known that the system is unstable. But, if the requirements are met, we still must investigate the system further to determine the stability of the system. The Routh-Hurwitz criterion is a necessary and sufficient criterion for the stability of linear systems.
The Routh-Hurwitz Stability Criterion Characteristic equation, q(s) Routh array The Routh-Hurwitz criterion states that the number of roots of q(s) with positive real parts is equal to the number of changes in sign of the first column of the Routh array.
Initial layout for Routh table
Completed Routh table
The Routh-Hurwitz Stability Criterion Case One: No element in the first column is zero.
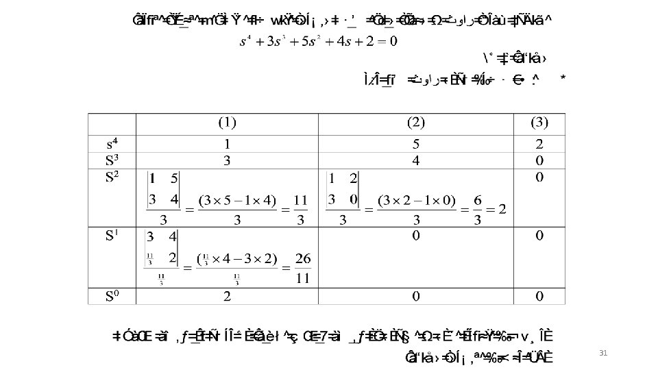
31
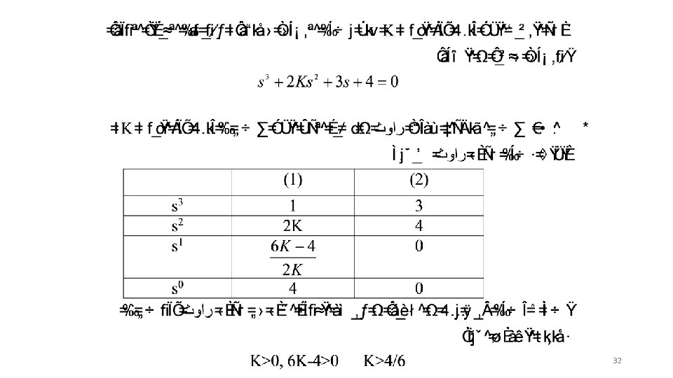
32
The Routh-Hurwitz Stability Criterion Case Two: Zeros in the first column while some elements of the row containing a zero in the first column are nonzero.
The Routh-Hurwitz Stability Criterion Case Three: Zeros in the first column, and the other elements of the row containing the zero are also zero.
The Routh-Hurwitz Stability Criterion Case Four: Repeated roots of the characteristic equation on the jw-axis. With simple roots on the jw-axis, the system will have a marginally stable behavior. This is not the case if the roots are repeated. Repeated roots on the jw-axis will cause the system to be unstable. Unfortunately, the routh-array will fail to reveal this instability.
- Slides: 35