ssplane inverse Laplace transform SAS07 4 Region of

  • Slides: 91
Download presentation

s-平面(s-plane) 逆向拉普拉斯轉換(inverse Laplace transform) SAS-07 4

s-平面(s-plane) 逆向拉普拉斯轉換(inverse Laplace transform) SAS-07 4

收斂區域(Region of convergence), ROC 例題7. 1 兩個極點的 函數收斂區域 SAS-07 7

收斂區域(Region of convergence), ROC 例題7. 1 兩個極點的 函數收斂區域 SAS-07 7

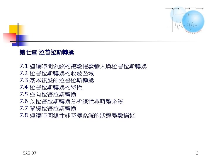
7. 3 基本訊號的拉普拉斯轉換 (1)脈衝函數(Impulse function) SAS-07 (2)步進函數(Step function) 12

7. 3 基本訊號的拉普拉斯轉換 (1)脈衝函數(Impulse function) SAS-07 (2)步進函數(Step function) 12

(3)逆向時間的步進函數 (Reversed step function) SAS-07 (4)指數函數(Exponential signal) 13

(3)逆向時間的步進函數 (Reversed step function) SAS-07 (4)指數函數(Exponential signal) 13

(5)逆向時間的指數函數(Reversed exponential signal) SAS-07 14

(5)逆向時間的指數函數(Reversed exponential signal) SAS-07 14

(6)弦波訊號(Sinewaves) 餘弦函數 SAS-07 16

(6)弦波訊號(Sinewaves) 餘弦函數 SAS-07 16

SAS-07 28

SAS-07 28

(5)共軛特性(Conjugation) SAS-07 29

(5)共軛特性(Conjugation) SAS-07 29

(7)對時間的微分 (Differentiation in time) SAS-07 (8) s- 域的微分 (Differentiation in s-domain) 31

(7)對時間的微分 (Differentiation in time) SAS-07 (8) s- 域的微分 (Differentiation in s-domain) 31

(9)對時間的積分(Integration in time) SAS-07 32

(9)對時間的積分(Integration in time) SAS-07 32

SAS-07 35

SAS-07 35

SAS-07 43

SAS-07 43

SAS-07 44

SAS-07 44

SAS-07 45

SAS-07 45

SAS-07 47

SAS-07 47

SAS-07 48

SAS-07 48

SAS-07 49

SAS-07 49

(1)線性特性(Linearity) SAS-07 51

(1)線性特性(Linearity) SAS-07 51

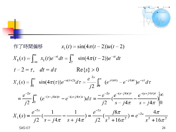
(2)時間偏移(Time shifting) 例題7. 12 時間偏移 SAS-07 52

(2)時間偏移(Time shifting) 例題7. 12 時間偏移 SAS-07 52

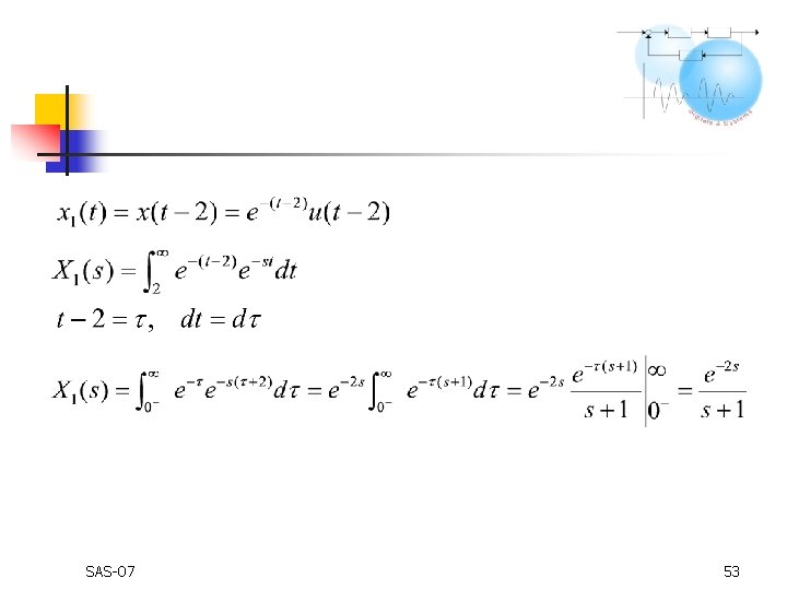
SAS-07 53

SAS-07 53

(3) s-域偏移(Shifting in sdomain) SAS-07 例題7. 13 s-域偏移 54

(3) s-域偏移(Shifting in sdomain) SAS-07 例題7. 13 s-域偏移 54

(4)時間的比例調整(Time scaling) SAS-07 55

(4)時間的比例調整(Time scaling) SAS-07 55

(5)捲迴特性(Convolution) SAS-07 56

(5)捲迴特性(Convolution) SAS-07 56

SAS-07 58

SAS-07 58

(6)對時間的微分(Differentiation in time) SAS-07 59

(6)對時間的微分(Differentiation in time) SAS-07 59

(7) s-域微分 (Differentiation in s-domain) SAS-07 61

(7) s-域微分 (Differentiation in s-domain) SAS-07 61

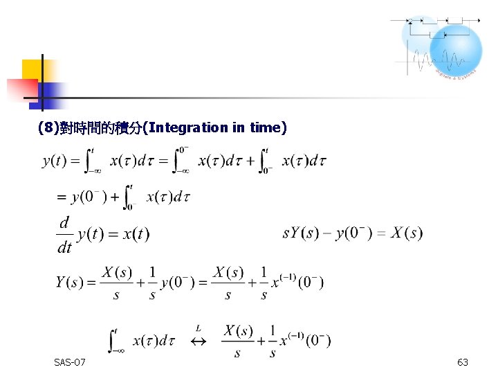
(8)對時間的積分(Integration in time) SAS-07 63

(8)對時間的積分(Integration in time) SAS-07 63

(9)初始值原理與終值原理(Initial value theorem and Final value theorem) SAS-07 65

(9)初始值原理與終值原理(Initial value theorem and Final value theorem) SAS-07 65

例題7. 18 計算訊號的初始值 初始值原理(initial value theorem) 終值原理(final value theorem) SAS-07 66

例題7. 18 計算訊號的初始值 初始值原理(initial value theorem) 終值原理(final value theorem) SAS-07 66

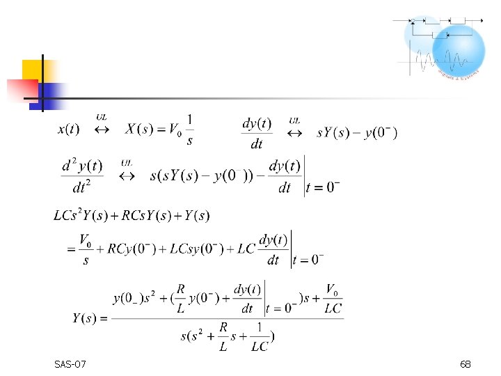
SAS-07 68

SAS-07 68

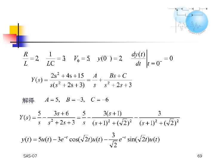
解得 SAS-07 69

解得 SAS-07 69

(3)電容(C) SAS-07 71

(3)電容(C) SAS-07 71

SAS-07 73

SAS-07 73

SAS-07 75

SAS-07 75

SAS-07 77

SAS-07 77

SAS-07 82

SAS-07 82

直接型第二式(direct form II ) SAS-07 83

直接型第二式(direct form II ) SAS-07 83

SAS-07 85

SAS-07 85

SAS-07 86

SAS-07 86

SAS-07 87

SAS-07 87

SAS-07 88

SAS-07 88

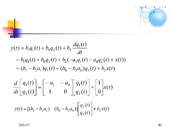
SAS-07 90

SAS-07 90

狀態向量(state vector) 狀態方程式(state equation) 輸出方程式(output equation) SAS-07 91

狀態向量(state vector) 狀態方程式(state equation) 輸出方程式(output equation) SAS-07 91