Srie de Fourier As sries trigonomtricas infinitas formadas


![As funções sen [(n x)/T] e cos [(n x)/T], n = 1, 2, . As funções sen [(n x)/T] e cos [(n x)/T], n = 1, 2, .](https://slidetodoc.com/presentation_image_h2/fba34d403cb79c484a7b1f5d09e0b110/image-3.jpg)



















- Slides: 22
Série de Fourier As séries trigonométricas infinitas formadas por seno e/ou coseno são chamadas séries de Fourier. Seja a série na forma No conjunto de pontos onde ela converge, ela define uma função f, cujos valores em cada ponto x é a soma da série para aquele valor de x. Dizemos então que esta série é a série de Fourier de f.
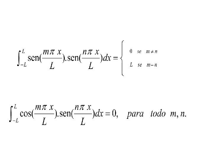
Periodicidade das funções seno e cosseno. Uma função é dita periódica com período T > 0 se o domínio de f contém (x+T) sempre que contiver x e se f(x+T) = f (x) para todo x. Nota-se claramente que, se T (período fundamental) é um período de f, então 2 T também o é como qualquer múltiplo inteiro de T. Em particular, as funções sen [(n x)/L] e cos [(n x)/L], n = 1, 2, . . . , são periódicas com período fundamental T = (2 L / n). Ortogonalidade das funções seno e cosseno Duas funções u e v são ditas ortogonais em x se seu produto interno é nulo, isto é, se
As funções sen [(n x)/T] e cos [(n x)/T], n = 1, 2, . . . formam um conjunto ortogonal de funções no intervalo -L x L. Senão vejamos
Supondo que uma série da forma converge. E considerando as propriedades de ortogonalidade vistas, temos que os coeficientes an e bn são dados por
Exemplo: Seja e suponha que f (x+6) = f (x). Encontre os coeficientes da série de Fourier de f. Como f tem período 6, segue que L = 3. Então a série de Fourier de f tem a forma onde os coeficientes an e bn são dados por
Similarmente, Logo a série de Fourier de f é
Funções pares e ímpares: Analiticamente, f é uma função par se seu domínio contém o ponto -x sempre que contiver o ponto x e se f (x) = f (-x) para cada x do domínio de f. Analogamente, f é uma função ímpar se seu domínio contém –x sempre que contiver x e se f (-x) = - f (x) para cada x no domínio de f.
Exemplos: Funções pares : 1, x 2, cos(nx), |x| e x 2 n. Funções ímpares: x, x 3, sen(nx) e x 2 n+1. A maioria das funções não é par nem ímpar. Por exemplo ex. A função identicamente nula é ímpar e par ao mesmo tempo. Propriedades elementares: a) A soma (diferença) e o produto (quociente) de duas funções pares é par. b) A soma (diferença) de duas funções ímpares é ímpar; o produto (quociente) de duas funções ímpares é par.
c) A soma (diferença) de uma função par e uma função ímpar não é par nem ímpar; o produto (quociente) é ímpar. d) Se f é uma função par, então e) Se f é uma função ímpar, então Como consequência das propriedades d e e, os coeficientes de Fourier de f são dados por (caso em cosseno, par)
bn = 0, n = 1, 2, . . . Logo e no caso em senos, ímpar, temos: an = 0, 1, 2, . . . E a série é dada por
Equação do calor A equação do calor tem a forma 2 uxx = ut, 0 < x < L, t>0 Onde 2 é uma constante conhecida como difusividade térmica. O parâmetro 2 depende, apenas, do material do qual é feita a peça e é definida por 2 = k / s, onde k é a condutibilidade térmica, é a densidade e s é o calor específico do material utilizado. As unidades de 2 (comprimento)2 / tempo.
Alguns valores de difusividade térmica. Material 2 (cm 2 / s) Prata 1, 71 Cobre 1, 14 Alumínio 0, 86 Água 0, 00144 O problema fundamental de condução de calor é encontrar u(x, t) que satisfaz a equação diferencial 2 uxx = ut, 0 < x < t, t > 0, a condição inicial u(x, 0) = f(x), 0 x L quando t = 0 e as condições de contorno u(0, t) = 0, u(L, t) = 0, t > 0.
Com estas condições, temos que a função será dada por onde A serem determinados. (Demonstração veja o Boyce ou Djairo em análise de Fourier e equações diferenciais parciais.
Exemplo: Encontre a temperatura u(x, t) em qualquer instante em uma barra de metal com 50 cm de comprimento, a uma temperatura uniforme, inicialmente, de 20 o C em toda a barra, e cujas extremidades são mantidas a 0 o C para todo t > 0. Solução: Temos L = 50 cm. , f(x) = 20 para 0 < x < 50, u(0, t) = u(L, t) = 0, t > 0, u(x, 0) = f(x), 0 x L. Então
para m ímpar e 0 Logo para m par.
A equação de onda A equação da onda é dada por 2 uxx = utt, 0 < x < L, t > 0. O coeficiente constate 2 é dado por 2 = T / onde T é a tensão na corda e é a massa por unidade de comprimento do material da corda. Assim, a unidade de é comprimento / tempo. Supondo-se que as extremidades permanecem fixas, logo as condições de contorno são u(0, t) = 0, u(L, t) = 0, t 0. Como a equação é de segunda ordem em t, é razoável ter 2 condições iniciais. u(x, 0) = f(x), 0 x L e a velocidade inicial ut(x, 0) = g(x), 0 x L, onde f e g são funções dadas.
Para a consistência da equação, faz necessário supor que f(0) = f(L) = 0 e g(0) = g(L) = 0. Com estas condições, temos que a solução é dada por: onde cm dever ser escolhidos por
Exemplo: Considere uma corda vibrante de comprimento L = 30 cm que satisfaz a equação de onda 4 uxx = utt com 0 < x < 30 e t > 0, e que a velocidade é dada por encontre o deslocamento com cm = (9/(m 2 2))sen(m /3).
Equação de Laplace Em duas dimensões, a equação de Laplace, que tem inúmeras aplicações, é uxx + uyy = 0, e tem três dimensões uxx + uyy + uzz = 0. Por exemplo, em um problema de calor a duas dimensões espaciais, a temperatura u(x, y, t) tem que satisfazer a equação 2 (uxx+ yxx) = ut, onde 2 é a difusividade térmica. O problema de encontrar uma solução da equação de Laplace com valores dados na fronteira é conhecido como um problema de Dirichilet.
Problema de Dirichlet em um retângulo Consiste em encontrar a função u que satisfaça a equação uxx + uyy = 0, 0 < x < a, 0 < y < b. e as condições de contorno: u(x, 0) = 0, u (x, b) = 0, u(0, y) = 0, u (a, y) = f(y), 0<x<a 0 y b. Donde a função f é dada em 0 y b. Para solucionar tal problema, temos
com Exemplo: Calcule cm no seguinte problema com a= 3 e b = 2. Solução: O valor de cm é dado por