Spirometry By Dr Ziba Lookzadeh Introduction n A
Spirometry By: Dr Ziba Lookzadeh
Introduction n A non-invasive method for evaluation of pulmonary function Simple, cost-effective, accessible Not for definite diagnosis of disease but help diagnosis along with history, physical examination and other paraclinical diagnostic method
Spirometry as a screening method n Primary prevention q Pre-placement and fitness-for-duty examinations n n n Physical demands of a job (heavy manual labor, fire fighting); Characteristics of respiratory use (prolonged use of negativepressure mask under conditions of heavy physical exertion and/or heat stress - not required by OSHA); Research and monitoring of health status in groups of workers.
Spirometry as a screening method n Secondary prevention q Medical surveillance programs – workers at risk of developing occupationally related respiratory disorders n n Baseline and periodic evaluations Mandated OSHA regulations (asbestos, cadmium, coke oven emissions or cotton dust) Local mandated medical surveillance program Component of workplace health promotion program
Spirometry as a screening method n Tertiary prevention q Clinical evaluation of symptomatic individuals n n n q q Restrictive Obstructive Combined ventilatory defects Disability under Social Security Administration Workers’ compensation setting
Contraindications of Spirometry n Uncontrolled hypertension Suspected presence of active TB other communicable respiratory disease Thoracic or abdominal surgery within recent 3 wks MI or unstable angina within recent 6 wks Respiratory distress Active hemoptysis Recent eye/ear surgery or ear drum perforation n Abdominal or thoracic aortic aneurysm n n n
Confounding factors n n n Common cold (3 days ego) Severe respiratory infection (3 w) Smoking( 1 hr) Heavy food (1 hr) Bronchodilator use
Complications n n n Chest pain Syncope, dizziness Increased ICP Paroxysmal coughing Nosocomial infection Bronchospasm
Lung volumes n n TV : The volume of air inhaled & exhaled at each breath during normal quiet breathing IRV: The maximum amount of air that can be inhaled after a normal inhalation ERV: The volume of air that can be forcefully expired following a normal quiet expiration RV: The volume of air remaining in the lungs after a forceful expiration
Lung capacities n n TLC: The total volume of the lungs VC: The maximum amount of air that can be exhaled after the fullest inspiration possible IC : The maximum of air that can be inhale after end tidal position FRC: The amount of air remaining in the lungs after a normal quiet expiration
Spirometry Parameters n Forced Vital Capacity q n Forced Expiratory Volume in One Second q n FEV 1 Forced Expiratory Volume in One Second Expressed as a Percentage of the Forced Vital Capacity q n FVC FEV 1/FVC % Mean Forced Expiratory Flow during the Middle Half of the Forced Vital Capacity q FEF 25 -75%
FVC n Definition: q Defined as the maximal amount of air that can be exhaled forcefully after a maximal inspiration or the most air a person can blow out after taking the deepest possible breath.
FVC - forced vital capacity n defines maximum volume of exchangeable air in lung (vital capacity) q q n initial (healthy) FVC values approx 4 liters q n slowly diminishes with normal aging significantly reduced FVC suggests damage to lung parenchyma q q n forced expiratory breathing maneuver requires muscular effort and some patient training restrictive lung disease (fibrosis) loss of functional alveolar tissue (atelectasis) intra-subject variability factors q q age sex height ethnicity
FEV 1 n Definition: q q The volume of air exhaled during the first second of a forced expiratory maneuver. normal FEV 1 about 3 liters
FEV 1/FVC% n Definition: q q The value expresses the volume of air the worker exhales in one second as a percent of the total volume of air that is exhaled. Calculated by using largest valid FEV 1 and largest FVC even if they are not from the same tracing. n n Find largest valid FEV 1 Find largest valid FVC Divide FEV 1 by FVC Multiply by 100 to obtain percentage.
FEF 25 -75% n Definition: q The mean expiratory flow during the middle half of the FVC n n n More sensitive than FEV 1. Considerably more variability than FVC and FEV 1. ATS recommends only be considered after determining presence and clinical severity of impairment and should not be used to diagnosis disease in individual patients
PEF - Peak Expiratory Flow rate n measures airflow limitations in large (central) airways n PEF measurements recommended for asthma management q n PEF not recommend to evaluate patients for COPD q n cannot measure small airway airflow limitations advantages of PEF tests q q n spirometry is recommended to help make the diagnosis of asthma measurements within a minute (three short breaths) uses simple, safe, hand-held devices that typical, costs $20 disadvantages of PEF tests (compared to spirometry) q q q insensitive to obstruction of small airways (mild or early obstruction) PEF is very dependent on patient effort (large intra-subject variability) mechanical PEF meters are much less accurate than spirometers
mechanical
electronic
The Original Wright Peak Flow Meter - Standard and Low Range versions
The Mini Wright Peak Flow Meter - Standard and Low Range versions (from left to right: Wright scale, EU scale, ATS scale(
Other designs of peak flow meters are available
Most important parameters n n FEV 1 FVC n n PEF FEF 25 -75% V-T Curve F-V loop
Spirometry Performance Steps n n n n n Equipment performance criteria Equipment quality control ( calibration & leak ) Contraindications & interfering condition Age, height, race, gender Selection of appropriate reference value Patient maneuver Acceptability criteria Reproducibility criteria Selection of best curve and best result interpretation
Equipment validation n Calibration: daily if for screening every 4 hr
calibration
Subject’s position: position 1. 2. 3. 4. 5. 6. Sitting or standing? Chair with arms & without wheels Clothing Chin & neck position Nose clip Denture
Good Start of Test n n Start of test must be quick and forceful No excessive hesitation Best evaluated using the Flow-Volume tracing No excessive back extrapolated volume
Good Start of Test
Back extrapolation volume ( BEV or vext )
No Coughing n n Especially during the first 1 second of the maneuver Best if no coughing present during maneuver, however: q Some patients cough near the end of each test, if present then document
No Coughing
No Variable Flow n n Flow rate should be maximal and consistent throughout testing Volume-Time and Flow-Volume tracings should be smooth
No Variable Flow
No Early Termination of Effort n n n Best if maneuver lasts at least six (6) seconds Less than six seconds acceptable if a plateau of al least one (1) second is present If patient is unable to meet the above criteria, document in comment section
No Early Termination of Effort
n Reproducibility: q q q Ok Yes Reproducible test
n Reproducibility: q q No Non-reproducible
Reproducibility n Spirometry induced bronchospasm q q Each effort gets worse Patient eventually reaches a plateau, however they may be too short of breath to continue. Which effort to report? Best effort unless pre and post bronchodilator study, then report the worst effort.
Spirometry Induced Bronchospasm
Selection of measures: 1. 2. 3. Report the largest FVC & FEV 1, even if they are not from the same tracing. Calculate FEV 1/FVC by dividing the above parameters. All flow rates from one acceptable tracing with largest sum of FEV 1 + FVC.
Quality Control n Technician needs to be aware of patientrelated problems when performing FVC maneuvers q q Submaximal effort Leaks between lips and mouthpiece Incomplete inspiration or expiration (prior to or during forced maneuvers) Hesitation at start of the expiration
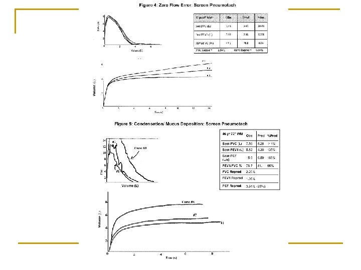
Technical errors in maneuvers n Zero flow errors q n n ( baseline error) Leak Sensor problems Small inspiration Excessive hesitation (false start) n n n Tongue in the mouthpiece Early termination Glottis closure Cough in first second Submaximal expiration ( weak push) Variable effort
Problematic examples compared with well-performed maneuvers.
Problematic examples compared with well-performed maneuvers.
Normal values n n n Race, gender, height, age Knudson, NHANES III Caucasian for Iranian race
- Slides: 75