Spectroscopy of Superfluid Atomic Fermi Gases Pivi Trm




















- Slides: 20
Spectroscopy of Superfluid Atomic Fermi Gases Päivi Törmä University of Jyväskylä International Conference on Finite Fermionic Systems 8/27/2021 Nilsson Model 50 Years Jami Kinnunen Mirta Rodriguez Timo Koponen Jani Martikainen 1
Contents n RF-spectroscopy of the pairing gap; theory related to the experiments of R. Grimm‘s group u n Spectroscopy and density response in an optical lattice u n T. Koponen, J. Martikainen, J. Kinnunen, P. T. Quasi 2 D superfluid Fermi gases u n J. Kinnunen, M. Rodriguez, P. T. J. Martikainen, P. T. Spectra beyond linear response u J. Kinnunen, P. T. 8/27/2021 2
Science and Physics World ranked the observation of Fermi condensates among the top ten scientific breakthroughs of the year 2004 BEC of molecules (dimers of two Fermions) 2003 -2004 Grimm, Jin, Ketterle, Salomon Fermion pairs near the Feshbach Resonance 2004 Jin, Ketterle Density profile throughout the crossover Grimm 2004 Collective modes Thomas 2004, Grimm 2004 8/27/2021 Heat capasity Thomas 2005 Vortices Ketterle 2005 Pairing gap Grimm 2004 3
The pairing gap in strongly interacting Fermi gases C. Chin, M. Bartenstein, A. Altmayer, S. Riedl, S. Jochim, J. H. Denschlag, and R. Grimm, Science 305, 1128, 2004 8/27/2021 J. Kinnunen, M. Rodriguez, and P. Törmä, Science 305, 1131, 2004 4
Spectroscopy of the pairing gap n D Driving a transition between a paired an unpaired state |1> |3> |2> Probing the superfluid excitation gap - P. Törmä and P. Zoller, PRL 85, 487 (2000) RF-spectroscopy of mean field effects - C. Regal and D. Jin, PRL 90, 230404 (2003) - S. Gupta, Z. Hadzibabic, M. W. Zwierlein, C. A. Stan, K. Dieckmann, C. H. Schunck, E. G. M. van Kempen, B. J. Verhaar, W. Ketterle, Science 300, 1723 (2003) 8/27/2021 5
Analogy to metallic superconductors D |1> |3> |2> superconductor normal metal e. V In the following: 1, 2, 3 = g’, g, e 8/27/2021 6
Superfluid with a pseudogap Feshbach detuning 8/27/2021 Picture from Stajic et al. 2004 7
Equilibrium state: Resonance superfluidity with a pseudogap M. Holland, S. J. J. M. F. Kokkelmans, M. L. Chiofalo, R. Walser, PRL 87, 120406 (2001) c. f. E. Timmermans, K. Furuya, P. W. Milonni, A. K. Kerman, Phys. Lett. A 63, 130402 (2002) Y. Ohashi and A. Griffin, PRL 89, 130402 (2002) J. Stajic, J. N. Milstein, Q. Chen, M. L. Chiofalo, M. J. Holland, K. Levin, PRA 69, 063610 (2004) Q. J. Chen, I. Kosztin, B. Janko, and K. Levin, PRL 81, 4708 (1998) 8/27/2021 c. f. A. Perali, P. Pieri, L. Pisani, G. C. Strinati, PRL 92, 220404 (2004) 8
Spectrum 8/27/2021 9
The spectrum is calculated using second-order perturbation theory and the local density approximation using Thomas-Fermi density distribution 8/27/2021 10
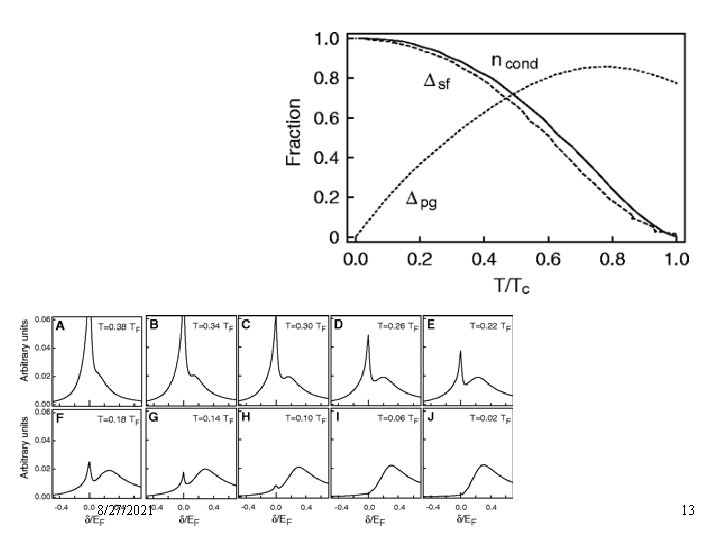
The calculated spectra at different temperatures Critical temperature Tc ~ 0. 27 TF J. Kinnunen, M. Rodríguez and P. Törmä, Science 305, 1131 (2004) 8/27/2021 11
8/27/2021 12
8/27/2021 13
8/27/2021 14
Quasi 2 D Superfluid Fermi gases Effectively 2 D system (e. g. optical lattices) n Steps in order parameter when consequtive trap levels become populated n C. f. finite size effects recently observed in thin films Guo et al. , Science 306, 1915 (2004) n C. f. 3 He on 4 He film: Steps in magnetization, Physics Today, June 1998, p. 30 n 8/27/2021 15
8/27/2021 16
8/27/2021 17
8/27/2021 18
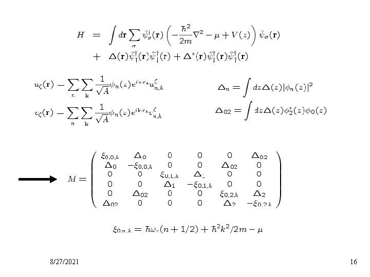
D(z=0) RF peak position Lowest Andreev state J. Martikainen and P. Törmä, cond-mat/0505275 8/27/2021 T=0 19
Conclusions Spectra from resonance superfluidity theory and linear response confirm that the pairing gap of a Fermi condensate was observed n Quasi 2 D Fermions: steps in order parameter n 8/27/2021 20