Sound Waves Sound is a longitudinal wave in
































- Slides: 32
Sound Waves Sound is a longitudinal wave in a medium Audible range of human ear is 20 to 20000 Hz
P 1 P 2
Bulk modulus
Please estimate the speed of sound in water, the bulk modulus of fresh water at 20 o. C is about 2. 28× 106 Pa. A. 150 B. 340 B. D. 1480 C. 710 E. 3000 m/s
Characteristic impedance or specific acoustic resistance
Energy in Wave Motion The instantaneous rate of doing work at the point x and time t is For sinusoidal wave with wave function given as The speed of the displacement would be
Energy in Wave Motion The instantaneous rate of doing work at the point x and time t is
Sound Velocity and Gauge Pressure intensity of a sinusoidal sound wave definition of sound intensity level
The maximum sound wave pressure human can tolerate is 28 Pa above the atmospheric pressure. Find the max displacement if frequency is 1000 Hz. Given speed of sound is 344 m/s A. 11 nm B. 0. 11μm C. 11 μm B. D. 0. 11 mm E. 1. 1 mm
Sound Attenuation Which thunder is heard as a higher frequency crash? A. distant one B. nearby one C. same Why distant thunder is heard as a low rumble while nearby one is a higher frequency crash. High or low frequency is better for long distance communication?
Sound Attenuation Which material will have largest displacement under same sound pressure variation? A. Steel B. Alumina C. water D. Air
Sources of Musical Sound What factors would affect the frequency of sound generated from a guitar string?
The Doppler effect Moving listener and stationary source
Moving source and moving listener
Shack Wave (Sonic Boom) H. W. Estimate the speed of the fighter. http: //en. wikipedia. org/wiki/Sound_barrier
People used Doppler flow meter to measure the blood flow rates. The speed of sound in blood is known to be 1570 m/s and a typical red blood cell has a radius of 5μm. Please estimate what would be the frequency for the flow meter? If the frequency shift measured by the Doppler flow meter is 100 Hz (the meter was operated at 107 Hz), please find the average velocity of blood flow. A. 3. 5 mm/s B. D. 65 cm/s B. 1. 5 cm/s E. 120 cm/s C. 23 cm/s
橫波(transverse wave)彈性體所產生之形 變為剪應變(shear strain)
縱波(longitudinal wave)彈性體所產生之 形變為拉伸應變(tensile strain)恢復力為 拉伸應力(tensile stress)
Can bat tells what’s its prey? Insect has its own characteristic flapping frequency The echo is modulated by the beating wing of prey, as a result, the motion of wings impose a “warble” to the echo. In air or water, which is easier to detect via Doppler shift?
Hearing The otolith organs are the primary means by which we sense linear acceleration of the head and the orientation of the head with respect to Earth's gravity. Each of these otolith organs contains a small sensory area known as a macula. Each macula contains several thousand vestibular hair cells. The cilia are embedded in a gelatinous matrix called the otolithic membrane. This membrane contains small piles of calcium carbonate crystals (Ca. CO 3), called otoliths, a word which literally means "ear stones. "
Hearing In most animal, a change in pressure is heard There is a problem for terrestrial animals. Energy propagation at interfaces. Newton’s 3 rd law at the interfaces
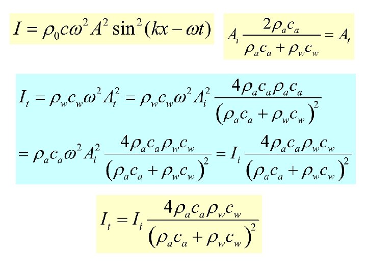
The amplitude of sound transmitted into water is only about 1/1800 th that in air
The intensity of sound transmitted from air into water is about ? A. 50% 1. D. 0. 1% B. 20% C. 1% E. 0. 01% How can terrestrial animal hear?
The Anatomy of Human Ear A eardrum = 43 mm 2 A stirrup = 3. 2 mm 2 V fluid =1500 m/s
http: //www. sfu. ca/sca/Manuals/ZAAPf/e/equal_loud_cont. html
Sound Amplifier When the size of an air bubble in water is smaller than sound wavelength, it can function as a sound amplifier More realistic model is to treat the bubble as a damped oscillator system