SONLU ELEMANLAR DERS 5 BR BOYUTLU ELEMANLAR Bu
SONLU ELEMANLAR DERS 5
BİR BOYUTLU ELEMANLAR Bu bölümde bir boyutlu elemanlar, şekil fonksiyonları ve bunlara ait detaylar verilecektir. İlk olarak lineer elemanları inceleyelim. 1. Lineer Elemanlar: Uniform kesitli düzgün bir plak boyunca, sıcaklık dağılımı aşağıda gösterilmiştir. Bu plaka sonlu elemanlar modelinin elde edilmesi için 4 düğüm ve 3 elemana bölünmüştür.
T Yaklaşık sıcaklık eğrisi Gerçek sıcaklık eğrisi Lineer yaklaşım kullanarak, eleman boyunca sıcaklık dağılımı 1 2 Tana gövde 3 4 Takışkan L i. ve j. Düğümlerdeki Ti ve Tj sıcaklıkları verilerek elemanın sınır koşulları belirlenir. T Ti Tj xi (e) xj x
c 1 ve c 2 bilinmeyenleri çözülürse buradan
O halde buradan şekil fonksiyonları Si ve Sj olarak bulunur. Burada l elemanın uzunluğudur. O halde bir elemandaki sıcaklık dağılımını şekil fonksiyonları ile ifade edersek
Bu denklemi matris formatında yazarsak. Şekil fonksiyonlarını deplasman formülasyonundada kullanabiliriz. Genel olarak ise şekli fonksiyonlarını
ŞEKİL FONKSİYONLARININ ÖZELLİKLERİ 1. Xi ve Xj noktalarında Si ve Sj Si Sj 1 1 Xi Xj X
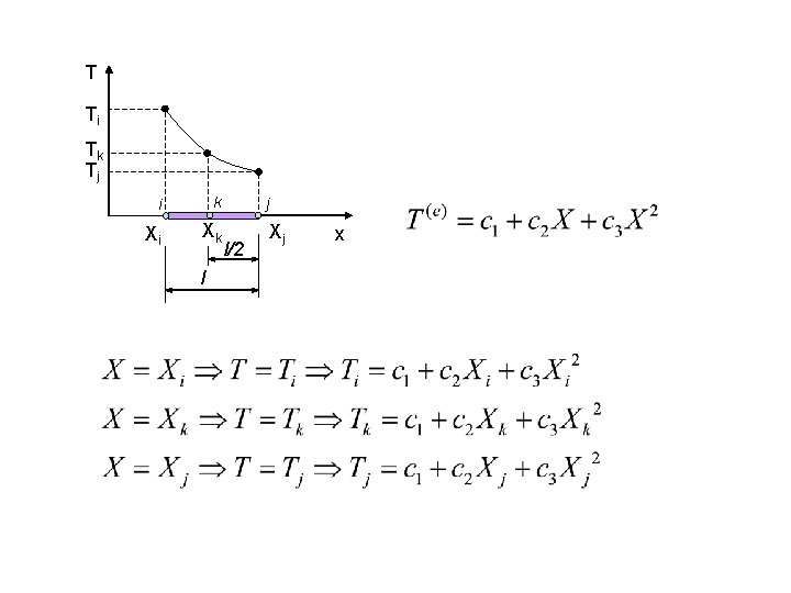
2. Si ve Sj toplamı 1 e eşittir. 1. Quadratic elemanlar: Sonlu elemanlardaki sonuçlarındaki doğruluğu arttırmak için ya eleman sayısı arttırılır yada daha yüksek dereceli fonksiyonlar kullanılır. Lineer elemanlar yerine quadratic (ikinci dereceden) elemanların kullanılışı bir elemanda üç düğüm kullanmamızı gerektirir.
T Ti Tk Tj i k Xi Xk l j l/2 Xj x
Burada Si, Sj ve Sk şekil fonksyonları olup formülleri aşağıdaki gibidir.
Şekil fonksiyonlarını deplasman formülasyonundada kullanabiliriz. Genel olarak ise şekli fonksiyonlarını
QUADRATIC FONKSİYONLARININ ÖZELLİKLERİ 1. Bir düğümün kendisinde şekil fonksiyonu 1 iken diğer düğümlerde 0 dır. 2. i. , j. ve k. Düğümlerde şekil fonksiyonlarının toplamı 1 e eşittir.
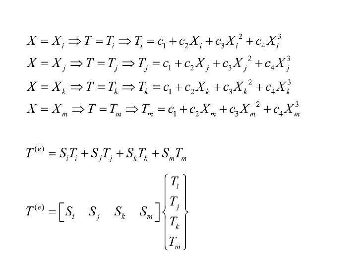
3. Cubic elemanlar: Cubic (üçüncü dereceden) elemanların kullanılışı bir elemanda dört düğüm kullanmamızı gerektirir. T Ti Tk Tm Tj i k m Xi Xk Xm l/3 l l/3 j Xj x
Burada Si, Sj , Sk ve Sm şekil fonksiyonları olup formülleri aşağıdaki gibidir.
Şekil fonksiyonlarını deplasman formülasyonundada kullanabiliriz. Genel olarak ise şekli fonksiyonlarını
CUBIC FONKSİYONLARININ ÖZELLİKLERİ 1. Bir düğümün kendisinde şekil fonksiyonu 1 iken diğer düğümlerde 0 dır. 2. i. , j. ve k. Düğümlerde şekil fonksiyonlarının toplamı 1 e eşittir.
LAGRANGE INTERPOLASYON FONKSYONU İLE ŞEKİL FONKSYONLARININ BULUNMASI (N-1). Derdeceden polinom için lagrange interpolasyonu:
LAGRANGE INTERPOLASYON FONKSYONU İLE LİNEER ŞEKİL FONKSYONLARININ BULUNMASI
LAGRANGE INTERPOLASYON FONKSYONU İLE QUADRATIK ŞEKİL FONKSYONLARININ BULUNMASI
LAGRANGE INTERPOLASYON FONKSYONU İLE CUBIC ŞEKİL FONKSYONLARININ BULUNMASI BUNUDA AYNI YÖNTEMLE SİZ BULUNUZ. SUNUÇLAR:
- Slides: 21