Some Geometric integration methods for PDEs Chris Budd
Some Geometric integration methods for PDEs Chris Budd (Bath)
Have a PDE with solution u(x, y, t) Variational structure Symmetries linking space and time Conservation laws Maximum principles
Cannot usually preserve all of the structure and Have to make choices Not always clear what the choices should be BUT GI methods can exploit underlying mathematical links between different structures
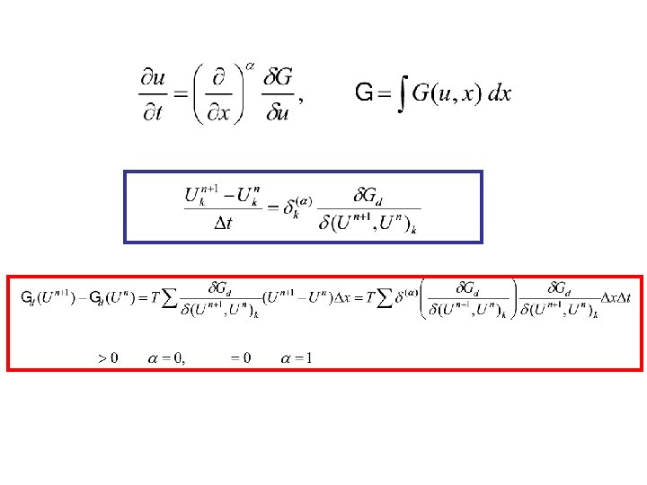
Variational Calculus Hamiltonian system
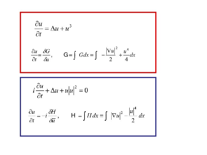
NLS is integrable in one-dimension, In higher dimensions Can we capture this behaviour?
Discrete Variational Calculus [B, Furihata, Ide]
Example: Implementation : • Predict solution at next time step using a standard implicit-explicit method • Correct using a Powell Hybrid solver
Problem: Need to adaptively update the time step Balance the scales
t n
U n
t
u x
Some issues with using this approach for singular problems • Doesn’t naturally generalise to higher dimensions • Doesn’t exploit scalings and natural (small) length scales • Conservation is not always vital in singular problems Peak may not contribute asymptotically NLS
Extend the idea of balancing the scales in d dimensions Need to adapt the spatial variable
Use r-refinement to update the spatial mesh Generate a mesh by mapping a uniform mesh from a computational domain into a physical domain F Use a strategy for computing the mesh mapping function F which is simple, fast and takes geometric properties into account [cf. Image registration]
Introduce a mesh potential Geometric scaling Control scaling via a measure
Evolve mesh by solving a MK based PDE (PMA) Spatial smoothing (Invert operator using a spectral method) Averaged measure Ensures right-handside scales like P in d. D to give global existence Parabolic Monge-Ampere equation PMA
Geometry of the method Because PMA is based on a geometric approach, it performs well under certain geometric transformations 1. System is invariant under translations and rotations 2. For appropriate choices of M the system is invariant under natural scaling transformations of the form
PMA is scale invariant provided that
Extremely useful property when working with PDEs which have natural scaling laws Example: Parabolic blow-up in d-D Scale: Regularise:
Solve in PMA parallel with the PDE 10 10^5 Solution: Y Mesh: X
Solution in the computational domain 10^5
NLS in 1 -D
- Slides: 26