Solving Rational Equations Objectives 1 To solve rational
Solving Rational Equations Objectives: 1. To solve rational equations and inequalities
Objective 1 You will be able to solve rational equations and inequalities
Warm-Up Solve for x. Proportion: Set the cross products equal to each other.
Exercise 1 Solve for x.
Solving Rational Equations, I When 2 rational expressions are equal, to solve the resulting rational equation: 1. Set the cross products equal to each other 2. Solve the resulting equation 3. Check your answer
Exercise 2 Solve for x. Sometimes, before you cross multiply, you have to add or subtract some rational expressions by getting an LCD.
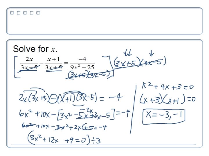
Solving Rational Equations, II Another way to solve a rational equation is to simply multiply both sides of the equation by the LCD of all of the rational expressions in the equation. • This gets rid of all of the fractions • You also have to check for extraneous solutions
Exercise 2 (Revisited) Solve for x.
Exercise 3 Solve for x.
Exercise 4 Solve for x. 1. 2.
Exercise 5 Solve for x.
Exercise 6 Solve for x.
Exercise 7 A company produces computer desks. The average cost to produce x desks can be modeled by the equation How many desks should the company produce each month in order to achieve an average cost of $85 per desk?
Quadratic Inequalities (Review) Solving quadratic inequalities in one variable is similar to solving a combination of linear inequalities and absolute value inequalities. • Like linear: graphed on a number line • Like absolute value: involves “and” or “or” intervals – “And” = segment; “Or” = 2 rays in opposite directions
Quadratic Inequalities (Review) Consider the simple quadratic inequality: Now taking the square root of both sides doesn’t translate well with inequalities, so solve the corresponding quadratic equation: These are our critical values Graph them.
Quadratic Inequalities (Review) Consider the simple quadratic inequality: Now you have 3 intervals to consider. Which one(s) make(s) the inequality true? Great. OR
Quadratic Inequalities (Review) Consider the simple quadratic inequality: Now you have 3 intervals to consider. Which one(s) make(s) the inequality true? Less Th. AND
Quadratic Inequalities (Review) Another way to think about solving a quadratic inequality in one variable is to relate it to a quadratic inequality in two variables. Instead of , consider. Now graph this inequality, shading the appropriate region.
Quadratic Inequalities (Review) The answer is where the shading touches the x-axis:
Quadratic Inequalities (Review) The answer is where the shading touches the x-axis:
Rational Inequalities Solving rational inequalities is similar to solving quadratic inequalities in that you must look for critical values The solution to the inequality will be outside/between these values. So solve a rational inequality: 1. Set equal to zero 2. Find critical values 3. Plot critical values on a number line and use test values to determine the appropriate intervals
Rational Inequalities Critical Values Occur: 1. Where the numerator equals zero 2. Where the denominator equals zero
Exercise 8 Solve for x.
Exercise 8 (Graphical Sol’n) Solve for x.
Exercise 9 Solve for x. 1. 2.
Solving Rational Equations Objectives: 1. To solve rational equations and inequalities
- Slides: 32