Solving Rational Equation and Rational Inequality Paul Jorel
































- Slides: 32
Solving Rational Equation and Rational Inequality Paul Jorel R. Santos
Objective Solve rational equation and inequality
Review What is the difference between a rational function, from a rational equation, from a rational inequality?
Rational Equation is an equation containing at least one rational expression. Usually, a rational expression contains variable in the denominator. With this, it is a must to assure that the denominator is not zero.
Rational Equation To solve rational equation: (a) Eliminate denominators by multiplying each term of the equation by the least common denominator. (b) Note that eliminating denominators may introduce extraneous solutions. Check the solutions of the transformed equations with the original equation.
Example 1 •
Example 2 •
Example 2 •
Example 2 •
Interval Notation
Interval Notation
Rational Inequality is a mathematical statement that relates a rational expression as either less than or greater than another. Note: The zeros of the numerator and the denominator are called critical numbers.
Solving Rational Inequalities 1. Rewrite the inequality as a single fraction on one side of the inequality symbol and zero on the other side, as much as possible make the numerator and denominator in factored form.
Solving Rational Inequalities 2. Plot the critical numbers on a number line. The zeros of the denominator will not be included in the solution (not shaded). The zeros of the numerator will not be included (not shaded) in the solution if there is no equal sign below the inequality symbol. Otherwise, the zeros of the numerator will be included in the solution (shaded).
Solving Rational Inequalities 3. Identify the intervals made by plotting the critical numbers. Choose a test value in each interval and construct a table. The sign of the rational expression at this point is also the sign of the rational expression at each interior point in the aforementioned interval.
Solving Rational Inequalities •
Example 3 •
Example 3 •
Example 3 •
Example 3 •
Step 3 Test point
Step 4
Example 4 •
Example 4 •
Example 4 •
Example 4 •
Step 3 Test point
Step 4
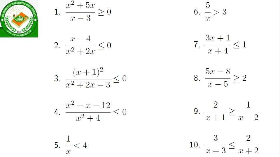
Seatwork •
Performance Task • Group yourselves into five. The task is to make a tutorial video in solving rational equation and rational inequality. • Criteria: Voice (Clear) 25% Accuracy of the Solution 50% Text (Readable) 25%