Solenoida dan elektromagnet Pendahuluan Magnet dalam teknologi terapan






























































- Slides: 62
Solenoida dan elektromagnet
Pendahuluan �Magnet dalam teknologi terapan
Kemagnetan �Macam macam bentuk magnet �Magnet batang, U bulat jarum
6. 2 Hukum columb
6. 3 pengertian medan magnet �Ruangan disekitar kutub magnet yang gaya tarik/tolaknya masih dirasakan oleh magnet lain �Kuat Medan magnet �Besar gaya pada suatu satuan kutub di titik itu didalam medan magnet m. �H = dalam satuan N/Am atau Web/m 2
Garis Gaya �Garis yang sedemikian rupa bentuknya hingga kuat medan di tiap titik dinyatakan oleh garis singgungnya
Hukum Coulumb F �Besarnya gaya tolak atau tarik menarik antara kutub-kutub magnet sebanding dengan kuat kutub masing 2 dan berbanding terbalik dengan kuadrat jaraknya F U M 1 U M 2
Rapat garis-garis gaya magnet �
6. 4 Bahan magnet �Feromagnetik memiliki momen magnetik permanen tanpa adanya medan magnet yang diberikan dari luar. Feromagnetik teletak pada logam transisi, diantaranya adalah Fe, Co, Ni serta pada logam tanah jarang (rare earth) seperti Nd, dan Gd. Suseptibilitas magnetnya dapat mencapai 106 [2].
�Paramagnetik Material paramagnetik mempunyai nilai suseptibilitas magnet yang kecil namun masih bernilai positif. Dengan adanya medan magnet yang diberikan pada material paramagnetik, maka dwikutub atom yang bebas berotasi akan mensejajarkan arah sesuai dengan arah medan magnet.
�Diamagnetik Material diamagnetik mempunyai susceptibility magnetik yang kecil dan bernilai negatif. Diamagnetik merupakan sifat magnet yang paling lemah, yaitu tidak permanen dan hanya muncul selama berada dalam medan magnet luar. Besarnya momen magnetik yang diinduksikan sangat kecil, dan dengan arah yang berlawanan dengan arah medan luar. Permeabilitas relatif (μr) lebih kecil dari satu dan suseptibilitas magnetiknya negatif, sehingga besaran B dalam bahan diamagnetik lebih kecil daripada dalam vakum. Jika disimpan diantara kutub-kutub dari electromagnet yang kuat, material diamagnetik akan ditarik ke daerah yang bermedan lemah.
� Antiferomagnetik Gabungan momen magnetik antara atom-atom atau ion-ion yang berdekatan dalam suatu golongan bahan tertentu akan menghasilkan pensejajaran anti paralel. Gejala ini disebut anti-feromagnetik. Sifat tersebut antara lain terdapat pada Mn. O, bahan keramik yang bersifat ionik yang memiliki ion-ion Mn 2+ dan O 2 -. Tidak ada momen magnetik netto yang dihasilkan oleh ion O 2 -, hal ini disebabkan karena adanya aksi saling menghilangkan total pada kedua momen spin dan orbital. Tetapi ion Mn 2+ memiliki momen magnetik netto yang terutama berasal dari gerak spin. Ion-ion Mn 2+ ini tersusun dalam struktur kristal sedemikian rupa sehingga momen dari ion yang berdekatan adalah antiparalel. Karena momen magnetik yang berlawanan tersebut saling menghilangkan, bahan Mn. O secara keseluruhan tidak memiliki momen magnetik.
6. 5 medan magnet disekitar kawat berarus
Hukum biot savart
�Keterangan: �d. B = perubahan medan magnet dalam tesla ( T ) k = μo = permeabilitas ruang hampa = �i = Kuat arus listrik dalam ampere ( A ) �dl = perubahan elemen panjang dalam meter (m) �θ = Sudut antara elemen berarus dengan jarak ke titik yang ditentukan besar medan magnetiknya � r = Jarak titik P ke elemen panjang dalam meter (m)
Medan magnet di sekitar kawat lurus berarus �Sebuah kawat apabila dialiri oleh arus listrik akan menghasilkan medan magnet yang garis-garis gayanya berupa lingkaran-lingkaran yang berada di sekitar kawat tersebut �
Keterangan �B = Medan magnet dalam tesla ( T ) � μo = permeabilitas ruang hampa = �I = Kuat arus listrik dalam ampere ( A ) �a = jarak titik P dari kawat dalam meter (m)
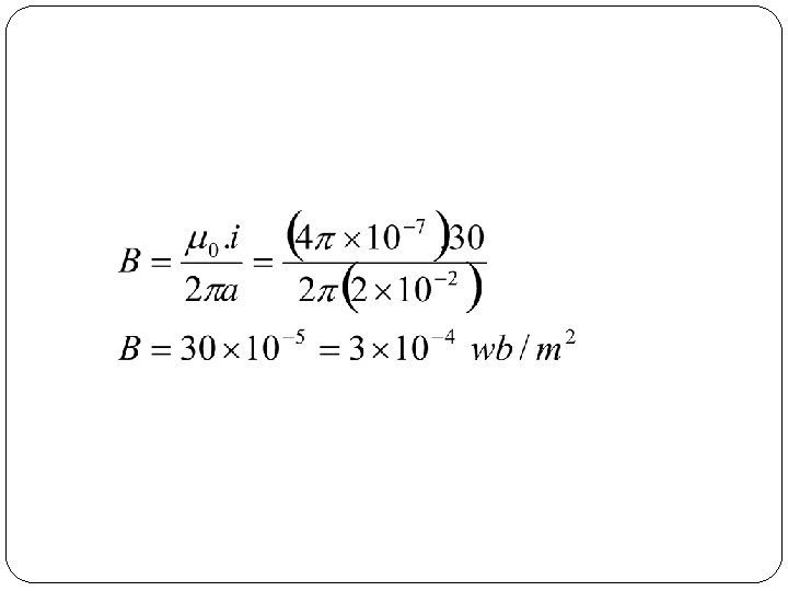
Contoh soal �Tentukan besarnya induksi magnet disuatu titik yang berjarak 2 cm dari kawat lurus panjang yang berarus listrik 30 A? � Penyelesaian: �Diketahui: a = 2 cm = 2 x 10 -2 m � I = 30 A � μo= 4 p x 10 -7 Wb/A. m �ditanya : B ? �Jawab:
Induksi magnetik di pusat arus lingkaran
� Keterangan: BP = Induksi magnet di P pada sumbu � kawat melingkar dalam tesla ( T) � I = kuat arus pada kawat dalam ampere ( A ) � a = jari-jari kawat melingkar dalam meter ( m ) � r = jarak P ke lingkaran kawat dalam meter ( m ) � θ = sudut antara sumbu kawat dan garis hubung P ke titik pada lingkaran kawat dalam derajad (°) � x = jarak titik P ke pusat lingkaran dalam mater ( m)
Induksi magnet di pusat lingkaran � � � B = Medan magnet dalam tesla ( T ) μo = permeabilitas ruang hampa = 4п. 10 -7 Wb/amp. m I = Kuat arus listrik dalam ampere ( A ) a = jarak titik P dari kawat dalam meter (m) = jari-jari lingkaran yang dibuat Arah ditentukan dengan kaidah tangan kanan
� Arus sebesar 2, 5 A mengalir dalam kawat berupa lingkaran dengan jari-jari 3 cm. Berapa besar induksi magnet dititik P, bila: �titik P berada disumbu lingkaran yang berjarak 4 cm dari pusat lingkaran �titik P berada di pusat lingkaran � Penyelesaian: � induksi magnet disumbu lingkaran. � i = 2, 5 A � r = 3 cm = 3 x 10 -2 m � x = 4 cm = 4 x 10 -2 m �
�sin q = r/a = 3/5, maka sin 2 q = (3/5)2 = 9/25
�Jadi Induksi magnet di dititik P sebesar 3, 6 x 10 -6 wb/m 2 � Induksi magnet di M (pusat lingkaran)
solenoida �Tanda = arah menembus bidang kertas �Tanda = arah keluar bidang kertas � induksi magnet pada ujung solenoida
�induksi magnet pada ujung solenoida �induksi magnet ditengah solenoida
�Keterangan: �l = panjang solenoida (m) �i = arus pada solenoida (A) �N = banyaknya lilitan �n = banyaknya lilitan persatuan panjang (N/ l )
Contoh soal � Suatu solenoida terdiri dari 300 lilita berarus 2 A. panjang solenoida 30 cm. Tentukanlah: � induksi magnet di tengah-tengah solenoida � induksi magnet pada ujung solenoida � Penyelesaian: � N = 300 lilitan �I = 2 A � L = 30 cm = 0, 3 � mo = 4 p x 10 -7 wb/A. m � n = N/l = 300/0, 3 = 1000 lilitan/m � ditanya : a. B ditengan solenoida � b. B diujung solenoida
�jawab: a. B � � = mo. i. n = 4 p x 10 -7 x 2 x 1000 = 8 p x 10 -4 wb/m 2 � b. B = mo. i. n � 2 �= 8 p x 10 -4 = 4 p x 10 -4 wb/m 2 �
�toroida adalah solenoida yang dilengkungkan �besar induksi magnet pada sumbunya: � l = 2 p. R (keliling slingkaran)
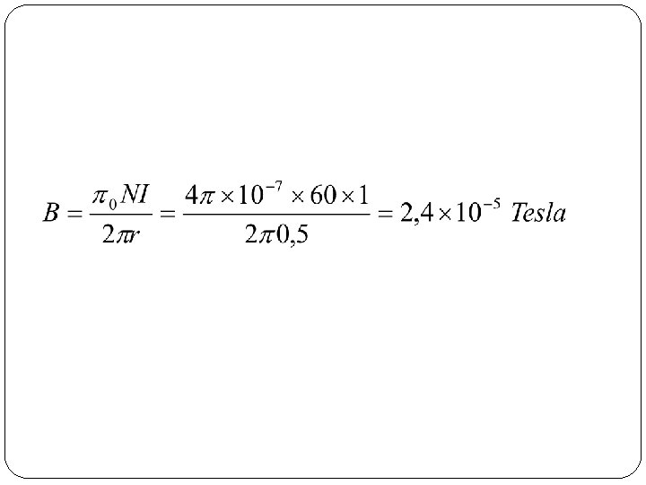
�Sebuah toroida memiliki jari-jari 50 cm dialiri arus sebesar 1 A. Jika toroida tersebut memiliki 60 lilitan, hitunglah besar induksi magnetic pada sumbunya. � �Penyelesaian �Diketahui: r = 50 cm = 0, 5 m, N = 60, I = 1 A �Ditanya : B pada sumbu toroida?
Gaya magnetik muatan bergerak �Kawat yang berarus listrik atau muatan listrik yang bergerak dalam medan magnet homogen, akan mendapatkan suatu gaya karena pengaruh medan magnet tersebut (gaya Lorentz) � �Arah gaya magnetic atau gaya lorentz bergantung pada arah arus dan arah medan magnet, dapat ditunjukkan dengan kaidah tangan kanan.
Kawat bermuatan listrik yang bergerak dalam medan magnet.
Contoh soal �Bila panjang kawat yang terpengaruh B adalah 4 cm, tentukan besar dan arah gaya magnetic yang timbul pada kawat! �Sebuah kawat penghantar berarus listrik 5 A arahnya keluar bidang gambar, memotong tegak lurus garis-garis gaya magnet dengan besar induksi magnet B = 2 x 10 -4 tesla
�Bila panjang kawat yang terpengaruh B adalah 4 cm, tentukan besar dan arah gaya magnetic yang timbul pada kawat!
�Diketahui: i = 5 A B = 2 x 10 -4 tesla L = 4 cm = 4 x 10 -2 m � � �i B �F Sin 900 = 1 �B = BI l sin 900 � = (2 x 10 -4)(5)( 4 x 10 -2) � = 4 x 10 -5 Newton �
b. Muatan listrik yang bergerak dalam medan magnet �
�Bila tidak ada gaya lain yang mempengaruhi gerakan partikel, maka berlaku:
untuk dua kawat yang bermuatan listrik yang bergerak sejajar;
�Sebuah electron berkecepatan 2 x 107 m/s masuk dalam medan magnet yang induksi magnetnya 1, 5 wb/m 2 dengan sudut 600 terhadap garis medan. Hitung gaya magnetic yang dialami electron. (q =1, 6 x 10 -19 C) �Penyelesaian: �Diketahui: v = 2 x 107 m/s � B = 1, 5 wb/m 2 � q =1, 6 x 10 -19 C � q = 600 �Ditanya: F ?
�Diawab: � � F =Bqv = 1, 5 x 1, 6 x 10 -19 x 2 x 107 = 4, 8 x 10 -12
tugas 1. Tentukan arah medan magnet dari gambar- gambar di bawah ini!
2. Tentukan besarnya induksi magnet disuatu titik yang berjarak 3 cm dari kawat lurus panjang yang berarus listrik 15 A? 3. Arus sebesar 2, 5 A mengalir dalam kawat berupa lingkaran dengan jari-jari 5 cm. Berapa besar induksi magnet dititik P, bila: �titik P berada disumbu lingkaran yang berjarak dari pusat lingkaran �titik P berada di pusat lingkaran 5 cm
4. Suatu solenoida terdiri dari 500 lilitan berarus solenoida 50 cm. Tentukanlah: � induksi magnet di tengah-tengah solenoida � induksi magnet pada ujung solenoida 2, 5 A. panjang � 5. Sebuah toroida memiliki jari-jari 50 cm dialiri arus sebesar 2, 5 A. Jika toroida tersebut memiliki 100 lilitan, hitunglah besar induksi magnetic pada sumbunya. 6. Seutas kawat penghantar panjangnya 200 cm, berarus listrik 10 A, berada dalam medan magnet homogen dengan induksi magnet 0, 02 tesla, dan membentuk sudut 300 terhadap arus listrik. Hitung besar gaya loretz yang ditimbulkan pada kawat tsb.
7. Sebuah penghantar berarus listrik berada di dalam medan magnetik. Bilakah penghantar itu mengalami
tugas Penerapan Medan magnet dalam kehidupan sehari Ketentuan Cover warna biru Kata pengantar Daftar isi Latar Belakang Aplikasi Medan Magnet Penutup Daftar Pustaka Huruf Ukuran time new roman ukuran 12 1 spasi Margin kanan 3 cm Margin kiri 4 cm Margin Atas 4 cm Margin bawah 3 cm Rata kiri kanan (justify)