Soils Part 2 Working through examples Engineering Properties

















- Slides: 17
Soils Part 2: Working through examples
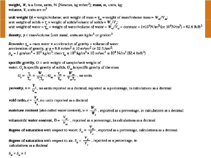
Engineering Properties of Soils • Soil Mechanics – Algebraic relationships • V m, V a, V v, V w , V s • W m, W a, W w , W s – Examples • Solution for water content (w) • Solution of void ratio (e) • Effect of water table level on effective pressure
Phase Diagram
Engr. Properties of Soils: Example # 2
Engineering Properties • Corrosion – Chemical decomposition – Affects fixtures such as culverts, cables and pipes – Depend on soil resistivity (low R-values have high corrosion potential) • Ease of excavation – Procedures for removal during construction – Excavation vs. blasting (definition)
Expansive Soils Expansion results from changes in cation hydration envelopes; improves when Ca+2 replaces Na+1 Pure Montmorillonite may expand up to 15 x original volume!
Engineering Properties • Shrink-swell potential (expansive) – – >3% volume increase potentially hazardous Gain or loss of water (PI) Clay mineralogy (smectites)/sulfate soils About $3 billion in losses/yr. (Most expensive) – Common problem in parts of Florida – Treatments • • Avoidance, Removal (Nationwide building) Slaked/hydrated lime (I-75 at Payne's Prairie) Portland Cement (sandy soils) Calcium chloride
Engineering Properties of Soils
Engineering Properties of Soil Auger for drilling Footings for Stadium addition, Sept. 13, 2001
Rates of Soil Erosion (Universal Soil Loss Equation) Sediment Pollution -The greatest source of pollution. Land Use and Environmental Problems of Soils – Urbanization • Increased erosion during construction • Increased run-off after construction • Increased stream erosion due to decreased sediment load and increased run-off – Off-Road Vehicles (snowmobiles, mountain bikes) • Dunes and forests • Damaging vegetation
Land Use Changes
Soil Pollution • • • Times Beach Missouri(dioxin) Alachua and High Springs (EDB) Cabot Carbon Superfund site School on landfill Inadvertent or deliberate Treatment – On-site – Excavation – Bioremediation
Desertification • Symptoms – – – Declining water table Salinization of soil and water Decrease in surface drainage High rates of soil erosion Damage to native vegetation • Minimization – – Protect and improve arable land Protect from overgrazing; increase restoration efforts Apply soil conservation practices Appropriate technology (less intense)
Desertification
Soil Surveys and Land-Use Planning • • Soils affect the best use of land Properties are mappable features Geohazards may be mapped or imaged Geographic Information Systems – Features identify "best uses" area – Exclude areas(paleo-sinkholes at landfill site) • Must be done on a large enough scale to be effective (satellite, SLAR, www. 3001 data. com/3001 website/main/lida r_files/cover. jpg)