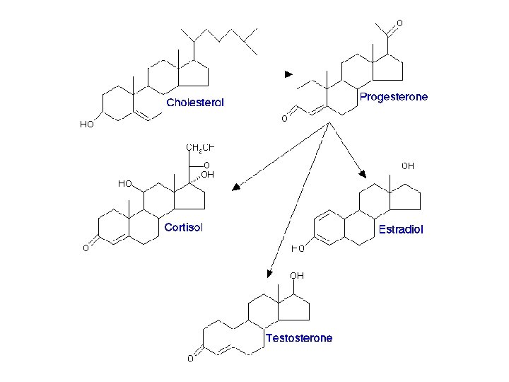
SNTESIS DEL COLESTEROL Y DE LAS HORMONAS ESTEROIDEAS

  • Slides: 21
Download presentation
SÍNTESIS DEL COLESTEROL Y DE LAS HORMONAS ESTEROIDEAS

SÍNTESIS DEL COLESTEROL Y DE LAS HORMONAS ESTEROIDEAS

COLESTEROL Esteroide membranas celulares precursor de hormonas esteroides y de los ácidos biliares. Se

COLESTEROL Esteroide membranas celulares precursor de hormonas esteroides y de los ácidos biliares. Se sintetiza en hígado: citoplasma Biosíntesis / utilización / transporte

Biosíntesis de colesterol: Acetato intermediario isoprenoide producto ciclización esqualeno colesterol Requiere de acetil-Co. A

Biosíntesis de colesterol: Acetato intermediario isoprenoide producto ciclización esqualeno colesterol Requiere de acetil-Co. A citosólico : ATP + Co. A Citrato(mit) citrato (cit) oxaloacetato + acetil. Co. A ADP +Pi ATP-citrato liasa

Acetil. Co. A isopreno Hidroximetilglutaril-Co. A Tiolasa HMGCo. A sintasa regulatoria

Acetil. Co. A isopreno Hidroximetilglutaril-Co. A Tiolasa HMGCo. A sintasa regulatoria

Fosfomevalonato cinasa

Fosfomevalonato cinasa

colesterol 19 pasos Oxidaciones Perdida 3 metilos NADPH y O 2

colesterol 19 pasos Oxidaciones Perdida 3 metilos NADPH y O 2

Ácido cólico Ácido quenodeoxicólico

Ácido cólico Ácido quenodeoxicólico

Transporte del colesterol ingesta Síntesis de novo

Transporte del colesterol ingesta Síntesis de novo

Ingesta Hígado Receptores: Endocitosis: Acidos biliares VLDL Tej. periféricos

Ingesta Hígado Receptores: Endocitosis: Acidos biliares VLDL Tej. periféricos

Transporte del colesterol Recicladas/excretadas**** HDL Hígado Ac. biliares A membranas almacén acil. Co. A:

Transporte del colesterol Recicladas/excretadas**** HDL Hígado Ac. biliares A membranas almacén acil. Co. A: colesterol acil transferasa Colesteril ésteres TS O // R-C-O Músculo/adiposo TAG Apolipoproteínas* VLDL IDL Endocitosis/rec. Tel. periféricos * LDL

Control biosíntesis y transporte a) Enzima reguladora: HMG-Co. A reductasa Inhibición competitiva Alosterismo Modificación

Control biosíntesis y transporte a) Enzima reguladora: HMG-Co. A reductasa Inhibición competitiva Alosterismo Modificación covalente Síntesis y degradación de la enzima b) Síntesis de receptores LDL Alto colesterol intracelular: menos síntesis receptores c) Velocidad de esterificación: ACAT (fosforilación Y síntesis enzima)

Reductasa cinasa Cinasa (AMPc indep) Reductasa cinasa Control hormonal inhibidor

Reductasa cinasa Cinasa (AMPc indep) Reductasa cinasa Control hormonal inhibidor

Control Hormonal Insulina: <AMPc: Estimula biosíntesis Glucagon >AMPc Inhibe biosíntesis

Control Hormonal Insulina: <AMPc: Estimula biosíntesis Glucagon >AMPc Inhibe biosíntesis