SISTEMA NERVOSO AUTONOMO SNA Il SNA si compone





























































- Slides: 61
SISTEMA NERVOSO AUTONOMO (SNA) Il SNA si compone di due divisioni (o branche), il Simpatico e il Parasimpatico. Utilizza le stesse vie nervose del SN somatico: i nervi cranici e i nervi spinali. Simpatico e parasimpatico utilizzano tuttavia vie diverse e complementari per raggiungere gli organi da loro innervati. A differenza del SN somatico in cui i motoneuroni spinali innervano direttamente il bersaglio (il muscolo), nel caso del SNA ci sono due ordini di neuroni, i neuroni pregangliari che si originano nel midollo o nel tronco dell’encefalo i quali fanno sinapsi fuori dal SNC con neuroni post gangliari i quali vanno a far sinapsi sugli organi. Il SNA è una complessa struttura formata da nervi , plessi e gangli ed è deputato al controllo e al coordinamento delle funzioni vegetative (secrezioni, escrezioni, tono vasale, motilità di organi a muscolatura liscia). Comprende tre sezioni: I afferente; II connessione e coordinamento; III efferente.
I sezione : La sezione afferente è distinta in una branca simpatica e una parasimpatica e in queste branche troviamo: 1) neurone pregangliare 2) sinapsi giunzionale 3) neurone postgangliare 4) sinapsi neuroeffettoriale
La sezione afferente è composta da fibre amieliniche incorporate in grossi nervi: vago (organi toracici), pelvico, splancnico (organi cavità addominale); trasmettono impulsi a carattere centripeto (dalla periferia ai centri nervosi). I corpi di queste fibre si trovano nei gangli sensoriali di alcuni nervi cranici e nei gangli delle radicole dorsali dei nervi spinali.
II sezione (connessione e coordinamento): neuroni che uniscono le fibre afferenti con i corpi cellulari delle fibre efferenti. III sezione (efferente): presenta gangli in cui le vie efferenti trovano un blocco ed entrano in rapporto sinaptico con altre fibre sino a raggiungere la struttura effettrice finale.
Gangli vertebrali: ventro lateralmente ai corpi vertebrali Gangli laterali: regione del cranio e addomepelvico Gangli intramurali: nella parete del viscere. Fibre pre-gangliari: dall’asse cerebro-spinale al ganglio Fibre post-gangliari: dal ganglio all’organo.
Le sinapsi dei neuroni pregangliari sono colinergiche. Nel parasimpatico anche le sinapsi dei neuroni post gangliari sono colinergiche mentre quelle del simpatico sono adrenergiche. Acetilcolina (nicotinico + muscarinico) Acetilcolina (nicotinico) Noradrenalina
Tra terminale della fibra post-gangliare e struttura recettoriale effettrice, si stabilisce una sinapsi (neuro-effettoriale). La sinapsi interneuronica intragangliare ha come mediatore chimico l’acetilcolina (mediazione nicotinica). La sinapsi neuro-effettoriale ha come mediatore l’acetilcolina (Ach) ma anche noradrenalina (mediazione muscarinica). Bloccanti: effetti muscarinici: atropina effetti nicotinici: curaro, ammonici quaternari, nicotina
Il SNA agisce sulla maggioranza degli organi interni e su una grande quantità di funzioni. Simpatico e parasimpatico agiscono nella maggioranza dei casi sulle stesse funzioni ma con effetti opposti Il parasimpatico promuove le funzioni legate al benessere a lungo termine, quali la conservazione dell’energia, l’alimentazione e la digestione, la risposta immunitaria, l’accrescimento e la riproduzione Il simpatico viene attivato nelle situazioni di crisi e mette a disposizione risorse per fronteggiare l’emergenza distogliendole dalle funzioni promosse dal parasimpatico Questi due obiettivi sono quasi sempre inconciliabili e le due divisioni del SNA tendono ad inibirsi a vicenda
Esempi di risposte contrapposte evocate dalla stimolazione simpatica o parasimpatica sullo stesso organo o tessuto effettore SISTEMA NERVOSO SIMPATICO • aumento della frequenza cardiaca • aumento della pressione del sangue • broncodilatazione • riduzione della motilità gastroenterica • dilatazione della pupilla (midriasi) SISTEMA NERVOSO PARASIMPATICO • riduzione della frequenza cardiaca • riduzione della pressione del sangue • broncocostrizione • aumento della motilità gastroenterica • costrizione della pupilla (miosi)
Il SNA innerva tre tipi di tessuto: • Ghiandole endocrine ed esocrine • Muscolatura liscia • Muscolo cardiaco Nella maggior parte dei casi ciascun sistema è innervato da entrambe le divisioni che vi esercitano un effetto opposto In qualche caso tuttavia l’innervazione viene da una sola delle due divisioni, come avviene ad esempio per la midollare del surrene che di fatto è un ganglio del simpatico Simpatico Parasimpatico
SIMPATICOMIMETICI Impulso→giunzione adrenocettiva adrenergica → liberazione noradrenalina. Effetti 1) Periferici eccitanti → recettori 2 (inibenti 1 intestinali) 2) Periferici inibenti → recettori 2 (eccitanti 1 cardiaci) 3) Eccitanti cardiaci 4) Metabolici 5) Eccitanti SNC Derivati in massima parte dalla b-feniletilamina con apposizione di gruppi ossidrilici (in genere 2: catecolamina per la somiglianza strutturale con la pirocatechina o catecolo): nor-adre-nalina, isoproterenolo.
MECCANISMO D’AZIONE Gli effetti di un farmaco simpaticomimetico sulla cellula effettrice dipendono dalla selettività che il farmaco ha nei confronti dei recettori. Es: le cellule muscolari lisce di molti vasi sanguigni posseggono quasi esclusivamente recettori la cui attivazione porta ad una costrizione dei vasi; la muscolatura liscia bronchiale, invece contiene recettori 2, la cui attivazione determina un rilasciamento della muscolatura. 1. Azione diretta: interazione diretta con il recettore (es: adrenalina e noradrenalina) 2. Azione indiretta: liberazione noradrenalina dalle vescicole di deposito
Adrenalina (ormone dell’emergenza) Accumulata in natura con la noradrenalina nella midollare surrenale Sintetizzata a partire dalla fenilalanina Azioni farmacologiche: • Ipotensiva a piccolissime dosi (1 -10 ng/kg) per stimolazione b-recettoriale. • Ipertensiva a dosi più elevate (0. 1 -1 mg/kg) per effetti cardiaci e vascolari.
Cuore • inotropo positivo (aumento forza contrattile, rinforzo sistole e gittata sistolica); • cronotropo positivo (aumento frequenza contrazioni cardiache); • dromotropo positivo (più rapida propagazione dello stimolo lungo il sistema di conduzione); • batmotropo positivo (diminuzione della soglia di eccitabilità e quindi più elevata irritabilità delle fibre miocardiche).
Vasi • azione su arteriole e sfinteri precapillari; • vasocostrittore sui vasi cutanei e delle mucose del distretto splancnico e cerebrale; • vasodilatatore sui vasi della muscolatura scheletrica e sulle arterie coronarie.
• Effetti eccitometabolici con azioni iperglicemizzante; stimolazione alla gluconeogenesi attraverso la liberazione di ACTH e aumentata messa in circolo di glicocorticoidi. • Utilizzata come coadiuvante nell’anestesia locale per l’effetto vasocostrittore e nell’arresto cardiaco (1 -5 mg/kg i. c. ). Eliminazione tal quale attraverso rene e metabolismo con COMT (catecol-ossimetil-transferasi) e MAO (mono-aminoossidasi).
• • • Noradrenalina Mediatore chimico responsabile del passaggio dell’impulso nelle vie adrenergiche. -Presenta effetto tachicardizzante meno evidente dell’adrenalina (cronotropismo) -Vasodilatazione più marcata a livello coronarico -Ipertensiva anche a piccolissime dosi -L’effetto iperglicemizzante si evidenzia solo a dosaggi molto elevati -Usata nel caso di collasso vasale i. v. a dose singola o ripetuta (0. 5 -1 mg/kg).
• • Isoprenalina Sostituzione del radicale metilico con isopropilico e azione più evidente sui -recettori con perdita degli effetti di stimolazione . Dieci volte più potente dell’adrenalina per il rilasciamento della muscolatura liscia bronchiale. Effetto cronotropo positivo più marcato e vasodilatazione intensa. Effetto metabolico più lieve. Usata raramente in veterinaria (0. 5 -1 mg/kg)
Amine non catecoliche • Efedrina : alcaloide presente nelle piante del genere Efedra; azione simpaticomimetica indiretta e dovuta a liberazione di noradrenalina, quindi assolutamente a livello presinaptico; effetti ino- e crono- tropi positivi. Stimolante S. N. C. (dosi 1. 5 -3 mg/kg i. v. per la stimolazione dei centri respiratori bulbari di animali depressi). Dose per os: 10 -20 mg/kg.
• Amfetamina : preparata per sintesi. Somministrabile per os. Meccanismo d’azione simile all’efedrina. Particolarmente importanti gli effetti eccitanti e stimolanti il S. N. C. , diminuzione della percezione dello stato di fatica (doping). Poco utilizzata come analettico perché la stimolazione del bulbo è associata agli effetti eccitatori sulle altre strutture S. N. C. • Fenilefrina: agonista a 1 recettoriale • Clonidina, Xilazina, Detomidina, Medetomidina: agonisti a 2 recettoriali • Clenbuterolo, Salbutamolo, Terbutalina: agonisti b 2 Altri simpaticomimetici Simpatolo - Neosimpatolo - Norden - Tiramina: somministrabili per os
FARMACI SIMPATICOLITICI a Adrenergico bloccanti • ergonovina, ergometrina (privi di attività adrenergico bloccante ma dotate di attività spasmogena sulla muscolatura liscia, e proprietà ossitocinosimili) • Alcaloidi dell’Ergot : ergotamina, ergotossina, ergobasina; ergocristina.
• I composti naturali e i derivati diidrogenati svolgono azione a-adrenergico bloccante non elevatissima ma persistente con un blocco di tipo competitivo; la risultante è un effetto ipotensivo (blocco , ma presente effetto ). Più attiva ergotamina che ergotossina. • La bradicardia sembra dovuta a stimolazione dei centri vagali. • S. N. C. notevolmente stimolato fino a convulsioni.
Yoimbina : derivata dalla corteccia della yohimbeche. • Provoca profondo blocco a 2 -adrenergico ma a dosi superiori agli Ergotaminici. • Tossica per stimolazione S. N. C. e successiva depressione bulbare e morte. • Dibenamina - Fenossibenzamina Fentolamina
b Adrenergico bloccanti • Dicloroisoproterenolo : fugaci effetti stimolanti ma soprattutto antagonizzanti; sostituito attualmente da Pronetalolo e Propranololo con meccanismi d’azione competitivi per il recettore. Impiego nelle aritmie cardiache e nelle tachicardie (1 -2 mg/kg i. v. )
Anti - adrenergici • Bretilio - Guanetidina; agiscono a carico della fibra post- gangliare adrenergica, quindi prima della sinapsi neuro- effettoriale. • Rauwolfia: Reserpina, azione a carico dei depositi di catecolamine, con svuotamento delle vescicole e riduzione della funzionalità dei neuroni.
RECETTORI COLINERGICI Nicotinici (muscolo scheletrico e gangli) Agonisti: ACh, nicotina (tabacco) Antagonisti: d-tubocurarina o curaro Muscarinici (cuore, muscolo liscio e SNC) Agonisti: ACh, muscarina (veleno di un fungo) Antagonisti: atropina (alcaloide dell’Atropa belladonna)
FARMACI PARASIMPATICOMIMETICI Sono di tipo organico, sintetizzati a partire dall’Ach. • Acetilcolina: sintetizzata nell’organismo dalla colinacetilasi, partendo da una molecola di acido acetico ed una di colina; rapidamente degradata dall’acetilcolinesterasi anche se somministrata per via i. v. La somministrazione per os non trova impiego poiché la molecola viene degradata. Ha azione nicotinica, muscarinica, curariforme. • Metacolina: simile all’ach ma viene idrolizzata in un tempo tre volte più lungo e di conseguenza è più lungo anche il suo effetto; mancano gli effetti nicotinici; fortemente ipotensiva e spasmogena; se somministrata per via s. c. o i. v. : effetti spasmogeni bronchiali e collasso cardiocircolatorio in veterinaria.
• Carbacolina: molto resistente all’acetilcolinesterasi; somministrata anche per os (molto meglio per via s. c. e i. m. ), non somministrata per e. v. per grave ipotensione, bradicardia e broncospasmo fino a morte. Dosi 0, 5 -4 mg/kg p. v. per interventi su tubo gastro-enterico e vescica. Azione abortigena nella femmina gravida per spasmo della muscolatura uterina. • Urecolina: resistente all’aceticolinesterasi, ha un’azione più muscarinica che nicotinica.
PARASIMPATICOMIMETICI NATURALI Pilocarpina: alcaloide estratto dal Pilocarpus jaborandi; azione simile all’ach soprattutto su ghiandole sudoripare e salivari; in veterinaria viene utilizzata per interventi topici (ha effetto miotico per la cura del glaucoma). Arecolina: alcaloide estratto dai rami dell’Areca catecu; azioni simili a pilocarpina, quindi all’ach; utilizzata in veterinaria come tenicida, ma ha un indice di maneggevolezza molto ristretto. Muscarina: alcaloide presente in alcuni funghi del genere amanita; azione sulla giunzione fra la terminazione della fibra post-gangliare e l’effettore colinergico. È tanto selettiva da aver fornito il termine “muscarinico” agli effetti dell’ach su tali strutture. Si assorbe bene a livello gastroenterico ed è 100 volte più potente dell’acetilcolina. Non viene attaccata dalle colinesterasi ed ha quindi una maggior durata d’azione. L’avvelenamento da muscarina viene trattato con atropina.
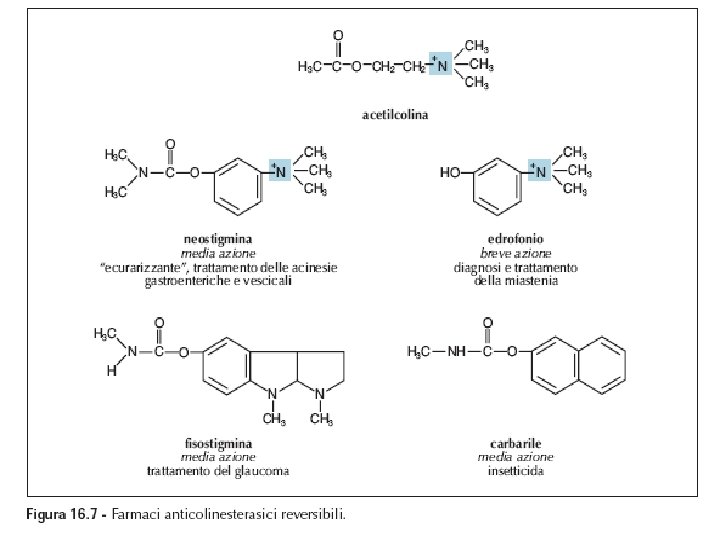
ANTICOLINESTERASICI • Sono detti parasimpaticomimetici indiretti perché evocano gli effetti di stimolazione del parasimpatico sopprimendo o inibendo l’azione demolitrice della colinesterasi (sia della colinesterasi vera che provoca la degradazione dell’Ach, che della pseudocolinesterasi che degrada la metacolina, la carbacolina…). Il punto di attacco è nella giunzione sinaptica, sia intragangliare che neuroeffetoriale colinergica, dove, con lo stimolo nervoso, si libera ach.
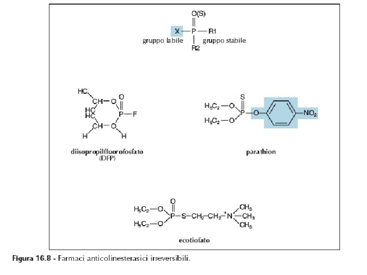
• Elettivi per il sito anionico: edrofonio, eserina o fisostigmina da cui derivano neostigmina o prostigmina: la loro azione è reversibile. • Elettivi per il sito esterasico: DFP (diisopropilfluorofosfato) e composti organofosforici attivi sulla colinesterasi vera tissutale (insetticidi: Parathion, Malathion, Ronnel, Coral, Tabun, Sarin, ecc. ). Effetti muscarinici e nicotinici. Il loro legame è più stabile. • Sintomi: scialorrea (abbondante produzione di saliva), dacriorrea (abbondante lacrimazione), miosi, iperperistalsi, bradicardia, ipotensione, sudorazione, broncospasmo, sovreccitazione fino a convulsioni (morte per arresto respiratorio).
Trattamento sintomatico (per allontanare i sintomi): si adopera l’antagonista, e cioè atropina, sali di metonio, curaro. Trattamento idiopatico (per allontanare la causa scatenante): si adopera l’antidoto che ha un’affinità maggiore per l’enzima e quindi permette il legame dell’Ach. Si usano derivati idrossilaminici od ossime: 2 PAM (Pralidossima), DAM (Diacetilmonossima). Se le ossime non vengono somministrate entro pochi minuti o alcune ore dopo l’inibizione dell’Ach. E, un gruppo alcossilico può staccarsi dall’enzima inattivandolo per sempre. Rivastig-mina.
PARASIMPATICOLITICI Atropina – Scopolamina (ioscina) - Stramonio (Frode nella bolsaggine): agiscono con meccanismo competitivo (sostituzione all’ach nell’interazione col recettore colinergico) e sormontabile (perché l’effetto inibente o bloccante può essere eliminato direttamente con dosi più elevate di ach o indirettamente con l’impiego di anticolinesterasici). Azione prevalentemente inibitoria sulla secrezione salivare; alte dosi causano tachicardia e gli effetti sui vasi sanguigni sono minimi. Riducono la secrezione gastrica e la motilità gastrointestinale. Esercitano un’azione di broncodilatazione e diminuiscono la secrezione bronchiale. Attraversano facilmente la barriera ematoencefalica e vengono assorbite bene a livello gastroenterico. PARASIMPATICOLITICI SINTETICI Analoghi sintetici dell’atropina, utilizzati per una più spiccata attività antimuscarinica: Omatropina, Tropicamide, Ossibutinina, Propantelina, Glicopirrolato Antagonisti muscarinici selettivi: pirenzepina, telenzepina, tripitamina.