SINGULARITY METHOD DISCONTINUITY FUNCTIONS Metode Integral Ganda mendapatkan
















































- Slides: 48
SINGULARITY METHOD (DISCONTINUITY FUNCTIONS) Metode Integral Ganda mendapatkan persamaan lenturan elastik pada balok mempunyai keuntungan bila momen internal dapat diekspresikan sebagai fungsi kontinu pada setiap titik di sepanjang balok. Jika beberapa macam beban bekerja pada balok aplikasi metode integral ganda cukup sukar harus diadakan pemisahan/pemecahan fungsi momen internal untuk setiap daerah pembebanan. 1
Konstruksi balok AE mendapat beban seperti pd gambar dibawah 4 (empat ) daerah : AB, BC, CD dan DE. Y q F A B C Mo D E X Aplikasi pers. Diff. lenturan dgn. Integrasi ganda untuk tiap daerah 8 konstante integrasi C. Nilai konstante C syarat batas pd kondisi sudut lentur dan lenturan Y dari A – E didapat 6 kondisi kontinu untuk sudut lentur dan lenturan di titik B, C dan D. 2
Dengan Metode Singularity (fungsi diskontinu) momen internal yg timbul akibat beban luar yg bervariasi macamnya cukup dinyatakan dengan satu persamaan momen. Setelah persamaan momen ini diintegrasikan ganda 2 konstante integrasi C, maka penyelesaiannya hanya memerlukan 2 syarat batas saja analisanya cukup sederhana. 3
Momen internal pada balok dinyatakan dalam fungsi diskontinu, ditulis sbb : untuk dan (1) dimana : x = koordinat/posisi suatu titik sepanjang balok a = posisi titik pada balok dimana terjadi suatu kondisi diskontinu (posisi beban eksternal yg bekerja) Tanda kurung < tanda kurung ( > fungsi diskontinu, ) fungsi kontinu 4
Cara mengintegrasi fungsi diskontinu mengikuti fungsi ordiner : (2) dan (2 a) 5
Momen Kopel (Couple Moment) M=0 Mo x x a (a) Mo a x (b) M=-Mo (c) Momen kopel eksternal Mo bekerja pd balok di titik x = a momen internal M dinyatakan dlm pers diskontinu : x<a M=0 x ≥ a M = -Mo(x-a)0 = -Mo Mo positif ccw 6
Beban Terkonsentrasi F (Concentrated Force) M=0 F x x a (a) (b) F a x (c) M=-F(x-a) Momen internal M dinyatakan dlm fungsi diskontinu : x<a M=0 x ≥ a M = -F(x-a) F positif arah ke bawah 7
Beban Terdistribusi Merata (Uniform Distributed Loading) M=0 q x x a (a) q(x-a) (b) a x (c) M Momen internal M dinyatakan dlm fungsi diskontinu : x<a M=0 x ≥ a M = -1/2 q(x-a)2 q positif arah ke bawah 8
Beban Terdistribusi Linier (Linear Distributed Loading) M=0 slope = m x x a (a) 1/2 m(x-a)2 (b) a x (c) (x-a)/3 m(x-a) M Momen internal M dinyatakan dlm fungsi diskontinu : x<a M=0 x ≥ a M = -1/6 m(x-a)3 Distribusi beban linier positif arah ke bawah 9
CONTOH APLIKASI PERSAMAAN DISKONTINU Y q F C Mo B A D E X a b c (a) L F B A (b) RA C Mo M a b x 10
Persamaan diskontinu kondisi pembebanan diatas sejauh x dapat ditulis sbb : (7) Validitas dari persamaan diskontinu dari momen internal pada batang dapat dilihat melalui gambar (b), untuk daerah b<x<c. Hasil keseimbangan momen tsb sesuai dgn hasil yg akan diperoleh dari persamaan diskontinu momen internal (pers. 7) dimana suku terakhir bernilai = 0, krn untuk x<c <xc>2 = 0 (merupakan sifat fungsi diskontinu) 11
CONTOH SOAL 1 : q = 8 k. N/m F=12 k. N MB = 50 k. Nm A 5 m B 4 m C Tentukan persamaan lenturan elastik pada balok dgn kondisi pembebanan seperti terlihat pada gambar diatas. Balok mempunyai kekakuan EI 12
Penyelesaian : q = 8 k. N/m MA A 5 m F=12 k. N B MB = 50 k. Nm RA C 4 m x Kondisi ini tepat spt kondisi asal : q = 8 k. N/m MA RA q (x-0)/2 M A B MB = 50 k. Nm x q (x-5) 5 m 4 m (x-5)/2 13
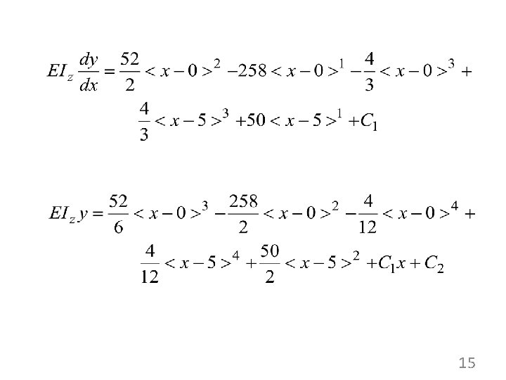
Jadi diperoleh : 14
15
Atau : Syarat batas : 16
Maka didapat : Ø Persamaan sudut lentur : Ø Persamaan lenturan : 17
SOAL 2 : Suatu konstruksi balok ACB yang ditumpu dengan tumpuan engsel di A dan tumpuan roll di B mendapat beban momen M seperti pada gambar dibawah ini. Tentukan persamaan lenturan dan sudut lentur balok AB pada saat pembebanan. Y C A M a B X b L 18
Penyelesaian : Y C A M a B X b L Y Ax C A Ay=M/L x a M L b By=M/L 19
Dengan menggunakan persamaan keseimbangan gaya dan momen pada konstruksi balok AB diperoleh reaksi tumpuan di A dan B sbb : Persamaan momen potongan sejauh x dari A : 20
Harga M(x) masuk ke persamaan differensial lenturan : (1) Integral pers (1) diperoleh : (2) 21
Integral pers (2) diperoleh : (3) Harga C 1 dan C 2 diperoleh dengan menggunakan syarat batas : masuk ke persamaan (2) dan (3) diperoleh harga C 1 dan C 2 : 22
Harga C 1 dan C 2 masuk ke pers (2) dan pers(3) diperoleh : (1) Persamaan sudut lentur : (2) Persamaan lenturan : 23
SOAL 3 : Suatu konstruksi balok ABC yang ditumpu dengan tumpuan engsel A dan tumpuan roll B mendapat beban terpusat P seperti pada gambar dibawah ini. Tentukan persamaan lenturan dan sudut lentur balok ABC pada saat pembebanan. Y P B A a C X b L 24
Penyelesaian : Diagram Benda Bebas balok ABC : Ax Y A Ay P B By a C X b L Reaksi tumpuan di A dan B dihitung dgn menggunakan persamaan keseimbangan statis : 25
Persamaan momen potongan sejauh x dari A : Harga M(x) masuk ke persamaan differensial lenturan : Integral pers (1) diperoleh : (1) (2) 26
Integral pers (2) diperoleh : (3) Harga C 1 dan C 2 diperoleh dengan menggunakan syarat batas : masuk ke persamaan (2) dan (3) diperoleh : 27
Harga C 1 dan C 2 masuk ke pers (2) dan pers(3) diperoleh : (1) Persamaan sudut lentur : (2) Persamaan lenturan : 28
SOAL 4 : Suatu kostruksi balok ABC yang ditumpu dengan tumpuan jepit di C mendapat beban merata q seperti pada gambar dibawah ini. Tentukan persamaan sudut lentur dan lenturan balok ABC pada saat pembebanan. Y q B A C a X b L 29
Penyelesaian : Diagram Benda Bebas balok ABC : Y q B A C a b L Cx X MC Cy Reaksi tumpuan di C dihitung dgn menggunakan persamaan keseimbangan statis : 30
Persamaan momen potongan sejauh x dari A : Y B A C Cx X MC a b Cy x L 31
Harga M(x) masuk ke persamaan differensial lenturan : (1) Integral pers (1) diperoleh : (2) 32
Integral pers (2) diperoleh : (3) Harga C 1 dan C 2 diperoleh dengan menggunakan syarat batas : masuk ke persamaan (2) dan (3) diperoleh : 33
Harga C 1 dan C 2 masuk ke pers (2) dan pers(3) diperoleh : (1) Persamaan sudut lentur : (2) Persamaan lenturan : 34
SOAL 5 : Suatu konstruksi balok ABCDE yang ditumpu dengan tumpuan engsel di A, tumpuan roll di D. Konstruksi balok tersebut mendapat beban momen M = 100 Nm di B, beban merata q = 100 N/m sepanjang CD dan beban P = 200 N di E seperti pada gambar dibawah ini. Tentukan persamaan sudut lentur dan lenturan balok ABCDE pada saat pembebanan. Y M = 100 Nm A B 1 m 1 m q = 100 N/m C D 2 m P = 200 N E X 3 m 35
Penyelesaian : Diagram Benda Bebas balok ABC : Y q = 100 N/m M = 100 Nm B C Ax A Ay 1 m E D 1 m 2 m Dy P = 200 N X 3 m x Reaksi tumpuan di A dan D dihitung dgn menggunakan persamaan keseimbangan statis : 36
Persamaan momen potongan sejauh x dari A : Harga M(x) masuk ke persamaan differensial lenturan : 37
Atau : (1) 38
Integral pers (1) diperoleh : (2) Integral pers (2) diperoleh : (3) 39
Harga C 1 dan C 2 diperoleh dengan menggunakan syarat batas : masuk ke persamaan (2) dan (3) diperoleh : Harga C 1 dan C 2 masuk ke pers (2) dan pers(3) diperoleh : (1) Persamaan sudut lentur : 40
(2) Persamaan lenturan : 41
SOAL 6 : Suatu kostruksi balok AB yang ditumpu dengan tumpuan engsel di A dan roll di B mendapat beban terdistribusi linier q seperti pada gambar dibawah ini. Tentukan persamaan sudut lentur dan lenturan balok AB pada saat pembebanan. q Y B A L/2 X C L/2 42
Penyelesaian : Diagram Benda Bebas balok ABC q : Y B Ax A Ay C L/2 X By L/2 D q E C Y B Ax A Ay L/2 2 q X By 43
Reaksi tumpuan di A dan B dihitung dgn menggunakan persamaan keseimbangan statis : Persamaan momen potongan sejauh x dari A : 44
Harga M(x) masuk ke persamaan differensial lenturan : (1) Integral pers (1) diperoleh : (2) 45
Pada pembebanan simetri maka lenturan maksimum terjadi ditengah-tengah balok AB. Syarat batas : Harga C 1 masuk ke pers (2) menjadi : 46
Integral pers (2) diperoleh : (3) Syarat batas : Harga C 2 masuk ke pers (3) menjadi : (4) 47
Lenturan ditengah-tengah balok AB diperoleh dgn memasukkan harga x = L/2 ke dalam pers (4) : 48