Serotonin the Ergot Alkaloids Assist Professor Dr Haitham






















- Slides: 22
Serotonin & the Ergot Alkaloids Assist. Professor Dr. Haitham M. Alwali Ph. D. Pharmacology Al-Nahrain College of Pharmacy 10/2/2020 1
Serotonin& the Ergot Alkaloids Ø Serotonin (5 -hydroxytryptamine; 5 -HT) is endogenous autacoids molecules that do not fall into traditional autonomic groups. Ø Serotonin( and Histamine) are the most important amine autacoids have powerful pharmacologic effects on smooth muscle and other tissues. Ø The ergot alkaloids are a heterogeneous group of drugs (not autacoids) that interact with serotonin receptors, dopamine receptors, and α receptors. 10/2/2020 2
10/2/2020 3
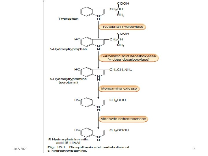
SEROTONIN (5 -HYDROXYTRYPTAMINE; 5 -HT) & RELATED AGONISTS § Serotonin is produced from tryptophan and stored in vesicles in the enterochromaffin cells of the gut and neurons of the CNS and enteric nervous system. § After release, it is metabolized by monoamine oxidase. Excess production in the body (eg, in carcinoid syndrome) can be detected by measuring its major metabolite, 5 -hydroxyindole acetic acid (5 -HIAA), in the urine. § Serotonin plays a physiologic role as a neurotransmitter in both the CNS and the enteric nervous system and may have a role as a local hormone that modulates gastrointestinal activity. 10/2/2020 4
10/2/2020 5
A. Receptors and Effects 1. 5 -HT 1 receptors are most important in the brain and mediate synaptic inhibition via increased potassium conductance. Peripheral 5 -HT 1 receptors mediate both excitatory and inhibitory effects in various smooth muscle tissues. 5 -HT 1 receptors are Gi-protein-coupled. 2. 5 -HT 2 receptors are important in both brain and peripheral tissues. These receptors mediate synaptic excitation in the CNS and smooth muscle contraction (gut, bronchi, uterus, some vessels) or relaxation (other vessels). Several mechanisms are involved, including (in different tissues) increased IP 3, decreased potassium conductance, and decreased c. AMP. This receptor probably mediates some of the vasodilation, diarrhea, and bronchoconstriction that occur as symptoms of carcinoid tumor, a neoplasm that releases serotonin and other substances. In the CNS, 5 -HT 2 C receptors mediate a reduction in appetite that has been used in the treatment of obesity. 10/2/2020 6
A. Receptors and Effects 3. 5 -HT 3 receptors are found in the CNS, especially in the chemoreceptive area and vomiting center, and in peripheral sensory and enteric nerves. These receptors mediate excitation via a 5 -HTgated cation channel. Antagonists acting at this receptor are extremely useful antiemetic drugs. 4. 5 -HT 4 receptors are found in the gastrointestinal tract and play an important role in intestinal motility. 10/2/2020 7
B. Clinical Uses q Serotonin has no clinical applications, but other more selective agonists are useful. Ø 1. 5 -HT 1 D/1 B agonists—Sumatriptan is the prototype. Almotriptan, eletriptan, frovatriptan, naratriptan, rizatriptan, zolmitriptan “-triptans” are similar to sumatriptan They are the first-line treatment for acute migraine and cluster headache attacks, an observation that strengthens the association of serotonin abnormalities with these headache syndromes. These drugs are active orally; sumatriptan is also available for nasal and parenteral administration. 10/2/2020 8
Ø 2. 5 -HT 2 C agonists—Lorcaserin has recently been approved for the treatment of obesity. It activates receptors in the CNS and appears to moderately reduce appetite. Older drugs, fenfluramine and dexfenfluramine, appear to act directly and by releasing neuronal 5 -HT or inhibiting SERT, and thereby activating central 5 -HT 2 C receptors. They were withdrawn in the USA because their use was associated with damage to cardiac valves. Dexfenfluramine was combined with phentermine, an amphetamine-like anorexiant, in a weight-loss product known as “dex-phen. ” Because of toxicity, this combination product is also banned in the USA. 10/2/2020 9
Ø 3. 5 -HT 4 Partial agonist—Tegaserod is a newer drug that acts as an agonist in the colon. It was approved and briefly marketed for use in chronic constipation, but because of cardiovascular toxicity, its use is now restricted. Ø 4. Selective serotonin reuptake inhibitors (SSRI) —A number of important antidepressant drugs act to increase activity at central serotonergic synapses by inhibiting the serotonin reuptake transporter, SERT. 10/2/2020 10
C. Hyperthermic Syndromes (serotonin syndrome) Serotonin and drugs with 5 -HT agonist effects are sometimes associated with drug reactions with high fever, skeletal muscle effects, and cardiovascular abnormalities that can be life-threatening. 10/2/2020 11
SEROTONIN ANTAGONISTS A. Classification and Prototypes Ø Ketanserin, phenoxybenzamine, and cyproheptadine are effective 5 -HT 2 blockers. Ø Ondansetron, granisetron, dolasetron, and alosetron are 5 -HT 3 blockers. Ø The ergot alkaloids are partial agonists (and therefore have some antagonist effects) at 5 HT and other receptors (see later discussion) 10/2/2020 12
B. Mechanisms and Effects q Ketanserin and cyproheptadine are competitive pharmacologic 5 -HT 2 antagonists. Phenoxybenzamine is an irreversible blocker at this receptor. q Ketanserin, cyproheptadine, and phenoxybenzamine are poorly selective agents. In addition to inhibition of serotonin effects, other actions include α-blockade (ketanserin, phenoxybenzamine) or H 1 -blockade (cyproheptadine). q Ondansetron, granisetron, and dolasetron are selective 5 -HT 3 receptor blockers and have important antiemetic actions in the area postrema of the medulla and also on peripheral sensory and enteric nerves. Although it acts at the 5 -HT 3 receptor, alosetron appears to lack these antiemetic effects. 10/2/2020 13
C. Clinical Uses Ø Ketanserin is used as an antihypertensive drug. Ø Ketanserin, cyproheptadine, and phenoxybenzamine may be of value (separately or in combination) in the treatment of carcinoid tumor: a neoplasm that secretes large amounts ofserotonin (and peptides) and causes diarrhea, bronchoconstriction, and flushing. Ø Ondansetron and its congeners are extremely useful in the control of vomiting associated with cancer chemotherapy and postoperative vomiting. Ø Alosetron is used in the treatment of women with irritable bowel syndrome associated with diarrhea. 10/2/2020 14
D. Toxicity v. Adverse effects of ketanserin are those of α blockade and H 1 blockade. v. The toxicities of ondansetron, granisetron, and dolasetron include diarrhea and headache. v. Dolasetron has been associated with QRS and QTc prolongation in the ECG and should not be used in patients with heart disease. v. Alosetron causes significant constipation in some patients and has been associated with fatal bowel complications. 10/2/2020 15
ERGOT ALKALOIDS Ø These complex molecules are produced by a fungus found in wet or spoiled grain. Ø They are responsible for the epidemics of “St. Anthony’s fire” (ergotism) described during the Middle Ages and recurring to the present time. Ø There at least 20 naturally occurring members of the family, but only a few of these and semisynthetic derivatives are used as therapeutic agents. Ø Most ergot alkaloids are partial agonists at α adrenoceptors and 5 -HT receptors, and some are potent agonists at dopamine receptors. 10/2/2020 16
A. Classification and Effects 10/2/2020 17
ü 1. Vessels— Ergot alkaloids can produce marked and prolonged α-receptor–mediated vasoconstriction. Ergotamine is the prototype. An overdose can cause ischemia and gangrene of the limbs or bowel. Because they are partial agonists, the drugs may also block the α-agonist effects of sympathomimetics, and ergotamine can cause epinephrine reversal. ü 2. Uterus—Ergot alkaloids produce powerful contraction in this tissue, especially near term. Ergonovine is the prototype. In pregnancy, the uterine contraction is sufficient to cause abortion or miscarriage. 10/2/2020 18
ü 3. Brain—Hallucinations may be prominent with the naturally occurring ergots and with lysergic acid diethylamide (LSD), a semisynthetic prototypical hallucinogenic ergot derivative. Although LSD is a potent 5 -HT 2 blocker in peripheral tissues, its actions in the CNS are thought to be due to agonist actions at dopamine receptors. In the pituitary, some ergot alkaloids are potent dopamine-like agonists and inhibit prolactin secretion. Bromocriptine and pergolide are among the most potent semisynthetic ergot derivatives. They act as dopamine D 2 agonists in the pituitary and the basal ganglia 10/2/2020 19
B. Clinical Uses Ø 1. Migraine—Ergotamine has been a mainstay of treatment of acute attacks and is still used in combination with caffeine. Methysergide, dihydroergonovine, and ergonovine have been used for prophylaxis. The triptan derivatives are now considered preferable to the ergots because of lower toxicity. Ø 2. Obstetric bleeding—Ergonovine and ergotamine are effective agents for the reduction of postpartum bleeding. They must not be given before delivery of the placenta. 10/2/2020 20
Ø 3. Hyperprolactinemia and parkinsonism— Bromocriptine, pergolide, and cabergoline have been used to reduce prolactin secretion (dopamine is the physiologic prolactin release inhibitor). • Pergolide has been withdrawn from the US market. • Bromocriptine also appears to reduce the size of pituitary tumors of the prolactin-secreting cells. • Bromocriptine and cabergoline are used in hyperprolactinemia and to treat acromegaly. • These drugs have been used in the treatment of Parkinson’s disease, but other drugs are preferred 10/2/2020 21
C. Toxicity: ü 1. Vascular effects—Severe prolonged vasoconstriction can result in ischemia and gangrene. The most consistently effective antidote is nitroprusside. ü 2. Gastrointestinal effects—Ergot alkaloids cause gastrointestinal upset (nausea, vomiting, diarrhea) in many persons. ü 3. Uterine effects—Marked uterine contractions more sensitive to ergot alkaloids during pregnancy. ü 4. CNS effects—Hallucinations resembling psychosis are common with LSD but less so with the other ergot alkaloids. Methysergide was occasionally used in the past as an LSD substitute by users of “recreational” drugs. 10/2/2020 22