SECTION 6 2 MULTIPLYING AND DIVIDING RATIONAL EXPRESSIONS

  • Slides: 11
Download presentation
SECTION 6. 2 MULTIPLYING AND DIVIDING RATIONAL EXPRESSIONS © Copyright all rights reserved to

SECTION 6. 2 MULTIPLYING AND DIVIDING RATIONAL EXPRESSIONS © Copyright all rights reserved to Homework depot: www. BCMath. ca

I) REVIEW: MULTIPLYING & DIVIDING FRACTIONS Cancel Out any common factors in the Numerator

I) REVIEW: MULTIPLYING & DIVIDING FRACTIONS Cancel Out any common factors in the Numerator & Denominator The division sign becomes a multiplication sign. Take the reciprocal of the 2 nd fraction

II) MULTIPLYING & DIVIDING R. E. Ex: Simplify each of the following Rational Expressions

II) MULTIPLYING & DIVIDING R. E. Ex: Simplify each of the following Rational Expressions Cancel out any common factors When dividing a fraction, flip it and then multiply

PRACTICE: SIMPLIFY Cancel out any common factors

PRACTICE: SIMPLIFY Cancel out any common factors

III) FACTORING RATIONAL EXPRESSIONS When multiplying Rational Expressions with trinomials Factor every trinomial or

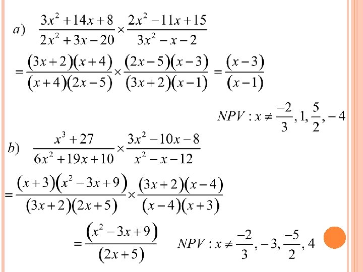
III) FACTORING RATIONAL EXPRESSIONS When multiplying Rational Expressions with trinomials Factor every trinomial or difference of squares Cancel out any common binomial in both the numerator & denominator Look for NPV’s from every bracket in the denominator Ex: Simplify & State the NPV Factor each trinomial Cancel out any common binomial Look for NPV’s (Denominator) © Copyright all rights reserved to Homework depot: www. BCMath. ca

PRACTICE: SIMPLIFY & FIND ALLNPV’S Look for NPV’s (Denominator) © Copyright all rights reserved

PRACTICE: SIMPLIFY & FIND ALLNPV’S Look for NPV’s (Denominator) © Copyright all rights reserved to Homework depot: www. BCMath. ca

EXTRA PRACTICE: SIMPLIFY EACH OF THE FOLLOWING AND STATE THE NPV’S

EXTRA PRACTICE: SIMPLIFY EACH OF THE FOLLOWING AND STATE THE NPV’S

The non-permissible values are for x are

The non-permissible values are for x are

The non-permissible values are for x are

The non-permissible values are for x are

HW: SECTION 6. 2 Assignment 6. 2

HW: SECTION 6. 2 Assignment 6. 2