Section 3 3 Dividing Polynomials Remainder and Factor

  • Slides: 25
Download presentation
Section 3. 3 Dividing Polynomials; Remainder and Factor Theorems

Section 3. 3 Dividing Polynomials; Remainder and Factor Theorems

Long Division of Polynomials and The Division Algorithm

Long Division of Polynomials and The Division Algorithm

Long Division of Polynomials

Long Division of Polynomials

Long Division of Polynomials

Long Division of Polynomials

Long Division of Polynomials with Missing Terms You need to leave a hole when

Long Division of Polynomials with Missing Terms You need to leave a hole when you have missing terms. This technique will help you line up like terms. See the dividend above.

Example Divide using Long Division.

Example Divide using Long Division.

Example Divide using Long Division.

Example Divide using Long Division.

Dividing Polynomials Using Synthetic Division

Dividing Polynomials Using Synthetic Division

Comparison of Long Division and Synthetic Division of X 3 +4 x 2 -5

Comparison of Long Division and Synthetic Division of X 3 +4 x 2 -5 x+5 divided by x-3

Steps of Synthetic Division dividing 5 x 3+6 x+8 by x+2 Put in a

Steps of Synthetic Division dividing 5 x 3+6 x+8 by x+2 Put in a 0 for the missing term.

Using synthetic division instead of long division. Notice that the divisor has to be

Using synthetic division instead of long division. Notice that the divisor has to be a binomial of degree 1 with no coefficients. Thus:

Example Divide using synthetic division.

Example Divide using synthetic division.

The Remainder Theorem

The Remainder Theorem

If you are given the function f(x)=x 3 - 4 x 2+5 x+3 and

If you are given the function f(x)=x 3 - 4 x 2+5 x+3 and you want to find f(2), then the remainder of this function when divided by x-2 will give you f(2)=5

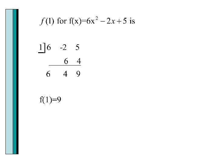
Example Use synthetic division and the remainder theorem to find the indicated function value.

Example Use synthetic division and the remainder theorem to find the indicated function value.

The Factor Theorem

The Factor Theorem

Solve the equation 2 x 3 -3 x 2 -11 x+6=0 given that 3

Solve the equation 2 x 3 -3 x 2 -11 x+6=0 given that 3 is a zero of f(x)=2 x 3 -3 x 2 -11 x+6. The factor theorem tells us that x-3 is a factor of f(x). So we will use both synthetic division and long division to show this and to find another factor. Another factor

Example Solve the equation 5 x 2 + 9 x – 2=0 given that

Example Solve the equation 5 x 2 + 9 x – 2=0 given that -2 is a zero of f(x)= 5 x 2 + 9 x - 2

Example Solve the equation x 3 - 5 x 2 + 9 x -

Example Solve the equation x 3 - 5 x 2 + 9 x - 45 = 0 given that 5 is a zero of f(x)= x 3 - 5 x 2 + 9 x – 45. Consider all complex number solutions.