ScientificCoordination Session on NonIdeal Plasma Physics Dielectric properties













![Dependence of reflectivity on density Collisionless plasma Drude model [2] DFT this work DFT Dependence of reflectivity on density Collisionless plasma Drude model [2] DFT this work DFT](https://slidetodoc.com/presentation_image/0f7164bb8c541a487e755b5399555b0b/image-14.jpg)



























- Slides: 41
Scientific-Coordination Session on "Non-Ideal Plasma Physics" Dielectric properties of Warm Dense Matter (WDM) Saitov I. M. 02. 12. 2014 Joint Institute for High Temperatures of RAS
Dielectric function DFT Kohn. Sham Dielectric function Reflectivity Absorbtion Trasmission Plasma frequency Effective free electron density Conductivity …… Electronic density of states
Outline 1. Calculation method. 2. Reflectivity. 3. Plasma frequency. 4. Conclusions.
1. Calculation method
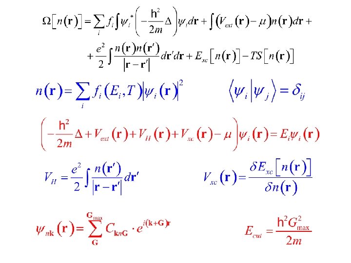
Dielectric function Longitudinal expression for the imaginary part of dielectric function:
Transversal expression Velocity operator Longitudinal expression
Transversal expression Velocity operator Non-Local potentials Kubo-Greenwood formula M. Gajdoš, K. Hummer, G. Kresse, J. Furthműller, F. Bechstedt, Phys. Rev. B 73, 045112 (2006).
Kramers-Kronig transformation for the imaginary part of the dielectric function: The convergence in the upper limit of the integral is checked Density functional theory is used for calculation of ψ and E
Pseudopotentional approach in DFT 46 e – «core» 8 e - valent
Reflectivity and conductivity
2. Reflectivity
Calculation parameters 0. 51 30050 0. 97 29570 1. 46 30260 1. 98 29810 2. 7 29250 3. 84 28810
Dependence of reflectivity on density Collisionless plasma Drude model [2] DFT this work DFT [3] Experiment [1] DFT with band gap corrections[3] [1] V. B. Mintsev, Yu. B. Zaporogets, Contrib. Plasma Phys. 29, 493 (1989). [2] H. Reinholz, G. Röpke, A. Wierling, V. Mintsev, V. Gryaznov, Contrib. Plasma Phys. 43, 3 (2003) [3] M. P. Desjarlais, Contrib. Plasma Phys. 45, 300 (2005).
3. Plasma frequency
Dependence of static conductivity of shocked xenon on density
DFT Drude
Method II. Sum rule. Xe, 3 e. V
Method III. Consideration of electrons with energies (E > Ef) as free particles
Dependence of plasma frequency in xenon on density
Effective free electron density
Dependence of plasma frequency on density for H
Dependence of plasma frequency on density for Se
Conclusions Method of estimation of plasma frequency and effective free electron number density is proposed, based on using sum rule. DFT is applied. The dependence of plasma frequency on density is obtained for warm dense Xe and H 2 and liquid Se.
Convergence (summary) in number of k-points in the Brillouin zone in number of particles in the supercell in frequency range in number of ionic configurations Relative error is ~ 5% - 30% depending on density
Dependence of reflectivity of shocked xenon on density
Dependence of reflectivity of shocked xenon on density
Dependence of reflectivity of shocked xenon on density
Calculation parameters 0. 51 30050 0. 53 32900 0. 97 29570 1. 1 33100 1. 46 30260 1. 6 33120 1. 98 29810 2. 2 32090 2. 7 29250 2. 8 32020 3. 84 28810 3. 4 31040
Longitudinal expression Kubo-Greenwood formula (transverse expression) M. Gajdoš, K. Hummer, G. Kresse, J. Furthműller, F. Bechstedt, Phys. Rev. B 73, 045112 (2006).
Plasma frequency of liquid selenium at ρ=5 g/cm 3
Dependence of plasma frequency on density in the liquid selenium
Dependence of charge density in plasma of shocked xenon on concentration of neutral atoms
эксперимент V. B. Mintsev, Yu. B. Zaporogets, Contrib. Plasma Phys. 29, 493 (1989). данная работа DFT/QMD with «band gap» corrections M. P. Desjarlais, Contrib. Plasma Phys. 45, 300 (2005)
Диэлектрические свойства разогретого Саитов И. М. плотного вещества (Warm Dense Matter) DFT Kohn. Sham Dielectric function Reflectivity Absorbtion Trasmission Plasma frequency Effective free electron density Conductivity …… Electronic density of states