Science and Technology Foresight Planning Dr Shahram Yazdani























































- Slides: 55
Science and Technology Foresight Planning Dr. Shahram Yazdani Shahid Beheshti University of Medical Sciences School of Medical Education Strategic Policy Sessions: 07
What is innovation policy? n n Dr. Shahram Yazdani n “Innovation policies aim at improving the capacity to innovate of firms, networks, industries and entire economies. Innovation is a process which involves flows of technology and information between multiple agents, including firms of all sizes and public and private research institutes. Innovation policy’s principal aim is to facilitate the interaction and communication among these various actors.
What is innovation policy? n Innovation policy is therefore different from science policy, which is concerned with the development of science and the training of scientists, and from technology policy, which has as its aims the support, enhancement and development of technology”. Dr. Shahram Yazdani
History of STI Policies n n n Dr. Shahram Yazdani Science policy in the Western world was established in the immediate aftermath of World War II. Initially, the main area of intervention and action was just science. In the late 1960 s, technology emerged more clearly as an area of concern; due to budgetary constraints there was a need to be more efficient in the allocation of resources and to ameliorate the impact of technological change on the overall economy and society. From the 1980 s onwards, there has been a shift in government policy agencies to a focus on innovation policy.
Classification of STI Policies (Christopher Freeman) n n n Dr. Shahram Yazdani 40 s and 50 s supply-side policies: focused on strengthening S&T capabilities, especially science. 60 s and 70 s demand-side policies: aiming at creating market needs for technology. 80 s onwards: policies designed to provide effective linkages between supply and demand, and to respond to a new technological paradigm based on information and communication technologies.
Different innovation policies (Dodgson and Bessant) Dr. Shahram Yazdani 1. Direct financial support (grants, loans guarantees), 2. Indirect financial support (venture capital), 3. Information (databases, consultancy services), 4. Scientific and technical infrastructure (public research labs, research grants), 5. Educational infrastructure (general education and training system),
Different innovation policies (Dodgson and Bessant) Dr. Shahram Yazdani 6. Public procurement (national or local governments), 7. Taxation (company, personal, tax credits for R&D), 8. Regulation (patents, environment control), 9. Public enterprise (innovation by public-owned industries), 10. Political (regional policies, awards and honours for innovation), 11. Public services (telecom, transport), and 12. Trade (trade agreements, tariffs).
Foresight Definition n Dr. Shahram Yazdani A foresight exercise involves a systematic process in which an attempt is made “…to look into the longer-term future of science, technology, and economy and society with the aim of identifying the areas of strategic research and the emerging generic technologies likely to yield the greatest economic and social benefit. ” (Irvine and Martin, 1984).
Foresight as a policy tool n Foresight is a policy tool whose aim is to improve coordination between different elements of innovation capacity or between different stakeholders whose activities affect innovation and long-term future of S&T and economy. Dr. Shahram Yazdani
Foresight Planning Strategic Planning Dr. Shahram Yazdani Time Horizon-for the enterprise Long Mid Short Extrapolation Enterprise Now Business ‘Space’ Time Horizon of Foresight
n The future cannot be predicted, but it can be invented. Dennis Gabor Dr. Shahram Yazdani
Characteristics of Foresight Dr. Shahram Yazdani n Clear definition of the nature of the technology considered n Projections of probable advances in the technology n Projection of the rates at which these advances will occur n Definition of potential follow-on technologies n Projections of how large the market for the emerging technology will be and how that market will develop
Characteristics of Foresight Dr. Shahram Yazdani n Identification of the organizations currently involved in the manufacture, distribution, operation, and maintenance of similar or related technologies n The implications of the advances in technology and development of market requirements to the country n Identification of trends, events, or decisions that might serve as drivers or constraints on the projected advances in technology, development of markets, or implications of these advances and developments.
Clusters of Foresight Dr. Shahram Yazdani
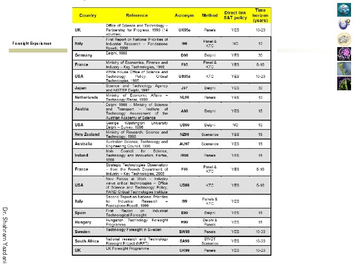
Foresight Experiences Dr. Shahram Yazdani
Foresight Sources of Information n n n Dr. Shahram Yazdani n Futurists Scientific Publications Universities, Institutes Government analyses, studies Venture Capital Community Patent Analysis Technical Community
Genius Forecasting n n Dr. Shahram Yazdani The term “genius forecasting” is used to describe the generation of a vision of the future through the insights of a gifted and respected individual. One of the problems of futures research has been the emergence from time to time of guru figures who, for a while, attract considerable attention and interest as prophets or as proponents of particular directions of change.
Examples of Genius Forecasters n n Gordon Rattray Taylor: Matrist society Alvin Toffler: Future Shock and The Third Wave, Power Shift John Naisbitt: Megatrends. Dr. Shahram Yazdani
Relevance Trees and Morphological Analysis n n n Dr. Shahram Yazdani “Normative forecasting” methods, being developed within the context of large managerial and technological efforts. For instance, “how can we get a human being on to and safely back from the Moon? ” These methods are used to identify what is needed to achieve future objectives – what the circumstances might be, what the key capabilities, actions, and knowledge requirements would be.
Relevance Trees and Morphological Analysis n n Dr. Shahram Yazdani A relevance tree subdivides a broad topic into increasingly smaller subtopics. This is presented in the form of a tree-like diagram. The result is a mapping of the various critical aspects of a system, or of a problem, or the possible solutions to a problem. Morphological analysis involves mapping “all possible” solutions to a problem, so as to determine different future possibilities. It has been used for new product development and in constructing scenarios.
The Delphi Method n n Delphi involves a survey of opinion – in principle this should be expert opinion. But it is a survey that is designed to feed information back to its respondents, not just to provide material for processing by data analysts. Dr. Shahram Yazdani
Trend Extrapolation n Dr. Shahram Yazdani Trend extrapolation is one of the most widely used of all forecasting techniques. Formal statistical methods of trend extrapolation have been developed, of varying degrees of sophistication. Many forecasts that stem from expert judgment are probably actually achieved by an impressionistic trend extrapolation of one sort or another, too.
Simulation Modeling n A computer model represents a system in terms of its key components and relationships, then, and can be used to project how the system will operate over time, or as a result of specific interventions. Dr. Shahram Yazdani
Evolution of Simulation Modeling Dr. Shahram Yazdani
What is the role of Panels? n n Dr. Shahram Yazdani The Steering Committee of a Foresight exercise will often be composed of high-level individuals whose time is already in high demand; and the tasks of managing and synthesizing the overall Foresight process is itself a daunting one. Thus it is common for national and regional Foresight Programs, which set out to address a wide agenda, to have a layer of Panels who implement Foresight analyses and produce analyses in a number of specific areas.
Which Panels? n n Dr. Shahram Yazdani In S&T Foresight, these areas are typically concerned with discrete technologies (e. g. ICT, biotechnology) or application areas (e. g. agriculture, transport). In more socially oriented Foresight, and indeed in some S&T Foresight activities, there are Panels who deal with more horizontal topics (e. g. environmental issues, demography).
Panels in the UK Foresight Dr. Shahram Yazdani
Panels in the UK Foresight Dr. Shahram Yazdani
Scenario Workshops n n Dr. Shahram Yazdani Scenario workshops are a particularly important component of many conventional exercises. As the name implies, the activity of scenario workshops involves creating or elaborating on scenarios. Such scenarios should also possess greater legitimacy than those generated by a smaller expert group or visionary guru. The resulting scenarios are not the main product of the work (though they may be important and particularly visible outputs).
Weak signals analysis n n n Dr. Shahram Yazdani Weak signals analysis is a linked method which uses horizon and environmental scanning and issues management techniques. Regions often lack a systematic approach for determining where on the horizon they should be looking, how to interpret weak signals they pick up, and how to allocate limited resources for scanning activity. The combination of horizon scanning and weak signals analysis provides an important input to the scoping and focus of the foresight activity.
Horizon Scanning &Weak signals analysis n n n Dr. Shahram Yazdani “the systematic examination of potential threats, opportunities and likely future developments which are at the margins of current thinking and planning. Horizon scanning may explore novel and unexpected issues, as well as persistent problems or trends. Overall, horizon scanning is intended to improve the robustness of health systems’ policies and evidence base”.
Science-to-Business Lag Time Industry 1 -3 Product Institutions, Industry, Government 3 -6 Technology Universities, Government Science 5 -20 0 1 2 3 4 5 6 7 8 9 10 11 12 13 14 15 16 17 18 19 20 Dr. Shahram Yazdani Years
What is a critical technology? Dr. Shahram Yazdani 1. Critical technology as generic and precompetitive recognizes the technology concerned as useful in many applications and likely to produce a wide array of returns not tied to any specific application. The technology is likely to have a synergistic or catalytic effect elsewhere. 2. Critical technology defined as the ratedetermining factor for specific applications connects the technology directly to some process or product; criticality is then not inherent in the technology itself, but relates to the output from the system and the enabling role of the technology.
What is a critical technology? Dr. Shahram Yazdani 3. Critical technology viewed as a component of national (or company) selfsufficiency treats the technology in a wider context and relates particularly to “competitiveness. ” 4. Critical technology as “state-of-the-art”; this equates ‘critical’ with ‘advanced’ and by implication high technology.
Top Patent Classes in 2001 Number of patents Dr. Shahram Yazdani
Main questions to answer n n n n How to invest money ? How to prioritize R&D budget? How to compete? How to identify growth platforms? How to train technical people? How to increase technology synergism? What are threats? Dr. Shahram Yazdani
Define The Question Technology Foresight Process Dr. Shahram Yazdani
Define The Question Analyze The Global Trends Technology Foresight Process Dr. Shahram Yazdani
Define The Question Technology Foresight Process Analyze The Global Trends Science Dynamism Technology Dynamism Market Dynamism Dr. Shahram Yazdani
Define The Question Technology Foresight Process Analyze The Global Trends Science Dynamism Technology Dynamism Market Dynamism Growth Opportunities National Capacities Technology Interaction Dr. Shahram Yazdani
Technology Foresight Process Define The Question Analyze The Global Trends Science Dynamism Technology Dynamism Market Dynamism Growth Opportunities National Capacities Technology Interaction Dr. Shahram Yazdani Emerging Growth Platforms
Technology Foresight Process Define The Question Analyze The Global Trends Science Dynamism Technology Dynamism Market Dynamism Growth Opportunities National Capacities Technology Interaction Dr. Shahram Yazdani Emerging Growth Platforms
Types of Technology: n n n Dr. Shahram Yazdani Driver Technology- a major broad technology that will drive and pace applications as well as other technologies Emergent Technology- an application area focused technology that emerges from one or more other technologies Strategic Technology- a broad and long range technology that will have several, mostly unanticipated applications in an enterprise
50 Emergent Application Needs 40 Strategic 30 20 10 Dr. Shahram Yazdani Driver Isolated technology 0 10 20 30 Enabling Power 40 50 60
Major Technology Drivers and Opportunities for 2002 -2010 Major Technology Drivers n n Dr. Shahram Yazdani n n Computational modeling and simulation Advanced Materials Micro- and Nanofabrication Optical systems Bioscience Software design and development Emergent Technology Opportunities n n n Future Computing Communications Nanotech applications Energy Biotechnology Medical Devices
Future Microcomputers Products Si, Si. Ge Ga. As Applied tech. Si. C Organics Tech. Dev. Spintronics Nanotubes Quantum Computing Diamond! Molecular Applied res. Dr. Shahram Yazdani Basic res. 1 2 3 4 5 10 Time (years) to market 15 20
Technology Foresight Process Define The Question Analyze The Global Trends Science Dynamism Technology Dynamism Market Dynamism Growth Opportunities Technology Interaction National Capacities Dr. Shahram Yazdani Emerging Growth Platforms
Nanotechnologies Microelectronics Molecular Electronics Advanced Materials Development Nanoparticle Development Sensors FAB Technology Carbon Nanotubes and Buckyballs Advanced Microscopy: AFM, STM, …. Nano-Biotech Dr. Shahram Yazdani Nano-patterning Nano- and Micro. Fabrication Computer Modeling and Simulation
M Pt Ad v. or s h. Se ns tec B FA cls ol. etr on ics Bi ot ec h Na no tu be Ad s v. M at. . m Si p. m oe Co icr M AF M , S lec TM tro ni cs Technology Interaction Matrix AFM, STM Micro-elec. Comp. Sim. FAB tech. Sensors Adv. Ptcls. Moletronics Biotech Nanotubes Dr. Shahram Yazdani Adv. Mat. Pacer, Gating 2 nd order effect
FA B tec Se h. ns or s Ad v. Pt M cls. ol etr on ics Bi ot ec h Na no tu be Ad s v. M at. . m Si p. m oe Co icr M AF M , S lec TM tro ni cs Technology Interaction Matrix AFM, STM Micro-elec. Comp. Sim. FAB tech. Sensors Adv. Ptcls. Moletronics Biotech Nanotubes Dr. Shahram Yazdani Adv. Mat. Sensor Technology Is a Technology with Many Required Antecedent Technologies
FA B tec Se h. ns or s Ad v. Pt M cls. ol etr on ics Bi ot ec h Na no tu be Ad s v. M at. . m Si p. m oe Co icr M AF M , S lec TM tro ni cs Technology Interaction Matrix AFM, STM Micro-elec. Comp. Sim. FAB tech. Sensors Adv. Ptcls. Moletronics Biotech Nanotubes Dr. Shahram Yazdani Adv. Mat. Computer Simulation Technology Is a Technology with Minimal Required Antecedent Technologies
FA B tec Se h. ns or s Ad v. Pt M cls. ol etr on ics Bi ot ec h Na no tu be Ad s v. M at. . m Si p. m oe Co icr M AF M , S lec TM tro ni cs Technology Interaction Matrix AFM, STM Micro-elec. Comp. Sim. FAB tech. Sensors Adv. Ptcls. Moletronics Biotech Nanotubes Dr. Shahram Yazdani Adv. Mat. Advanced Material Technology is Pacer, Gating or Driver for Many Other Technologies
FA B tec Se h. ns or s Ad v. Pt M cls. ol etr on ics Bi ot ec h Na no tu be Ad s v. M at. . m Si p. m oe Co icr M AF M , S lec TM tro ni cs Technology Interaction Matrix AFM, STM Micro-elec. Comp. Sim. FAB tech. Sensors Adv. Ptcls. Moletronics Biotech Nanotubes Dr. Shahram Yazdani Adv. Mat. Biotechnology is not Pacer, Gating or Driver for Other Technologies
50 Sensors Emergent Application Needs 40 Molecular Electronics 30 Nanotechnology FAB tech Biotech Microelectronics Strategic Particles AFM/STM Nanotubes 20 10 Advanced Mtls. Driver Dr. Shahram Yazdani Computer Simulation 0 10 20 30 Enabling Power 40 50 60
Thank You ! Any Question ?