Sandwich Theorem Lecture 1 3 Sandwich Theorem Modular

  • Slides: 28
Download presentation
Sandwich Theorem Lecture 1 -3

Sandwich Theorem Lecture 1 -3

Sandwich Theorem

Sandwich Theorem

Modular function

Modular function

Sandwich Theorem gives a surprising property of the set function.

Sandwich Theorem gives a surprising property of the set function.

Proof • DS decomposition • Sandwich theorem for submodular function Modular upper bound for

Proof • DS decomposition • Sandwich theorem for submodular function Modular upper bound for submodular function Modular lower bound for submodular function • Proof of Sandwich theorem

Fundamental Theorem

Fundamental Theorem

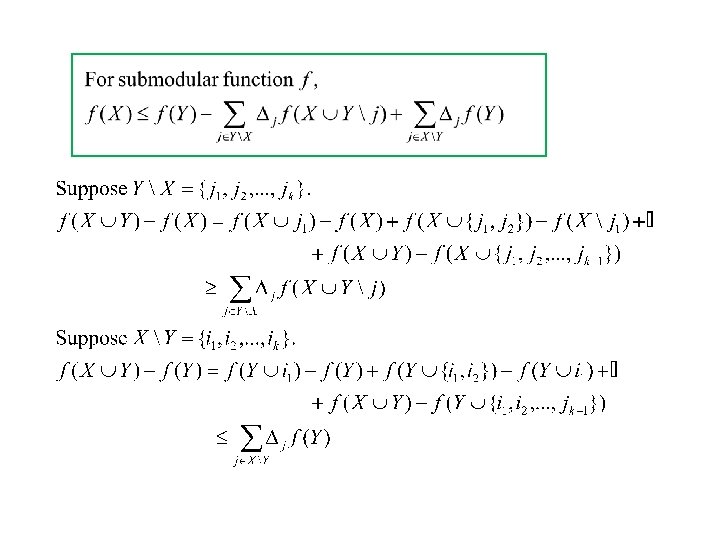
Modular Upper Bound for submodular function

Modular Upper Bound for submodular function

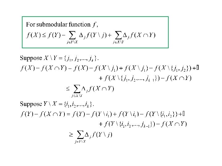
Modular Lower Bound for submodular function

Modular Lower Bound for submodular function

Proof of Sandwich Theorem

Proof of Sandwich Theorem

Thank You, end

Thank You, end

Submodular-Supermodular Procedure Lecture 1 -4

Submodular-Supermodular Procedure Lecture 1 -4

Minimize DS function Difference of Submodular functions! Rishabh Iyer and Jeff Bilmes: Algorithm for

Minimize DS function Difference of Submodular functions! Rishabh Iyer and Jeff Bilmes: Algorithm for approximate Minimization of the difference between submodular functions, with application, ar. Xiv: 1207. 0560 v 4 24 August 2013

Submodular-Supermodular (Sub. Sup) Procedure ? ? ? ?

Submodular-Supermodular (Sub. Sup) Procedure ? ? ? ?

Subdifferential

Subdifferential

Sub-differential

Sub-differential

Extreme Point

Extreme Point

Minimum unconstrained submodular function can be computed in polynomial-time

Minimum unconstrained submodular function can be computed in polynomial-time

Theorem Proof

Theorem Proof

What is the local minimum? • Two ways to understand: • Subdifferential: what is

What is the local minimum? • Two ways to understand: • Subdifferential: what is the subdifferential of a DS function? • Operation-based: what operations?

Variations

Variations

Supermodular-Submodular (Sup. Sub) Procedure ?

Supermodular-Submodular (Sup. Sub) Procedure ?

Modular-Modular (Mod. Mod) Procedure

Modular-Modular (Mod. Mod) Procedure

Thank You, end

Thank You, end

Quality of Bounds Difference of Submodular functions! DS maximization! Discrete DC maximization! Difference of

Quality of Bounds Difference of Submodular functions! DS maximization! Discrete DC maximization! Difference of Convex functions!

Bound of Any Submodular Function

Bound of Any Submodular Function