Sampling Theory and Some Important Sampling Distributions parameters
Sampling Theory and Some Important Sampling Distributions 觀 念 • 統計主要問題在於如何透過樣本的統計量來 推估或檢證母體的參數(parameters)。 • A parameter is a numerical quantity that describes some characteristics of a population. 參數為描述母體某些特性的數值。 • 如μ、σ、母體中位數等皆為參數。 社會統計(上) ©蘇國賢 2000 1
Introduction to Sampling Distribution • 一個樣本的統計量( 如樣本平均數)是樣 本的函數 Population 母體參數 Sample樣本平均數 隨機變數 x 354 x 103 x 41 x 49 x 31 x 4 x 1005 x 411 x 42909 社會統計(上) ©蘇國賢 2000 觀 念 的特定值 4
Sampling distribution抽樣分配 觀 念 • A sample statistics is a random variable whose possible values vary from sample to sample. Thus, the sample statistics follows a probability distribution. This probability distribution is called the sampling distribution of the sample statistics. • 樣本的統計量為一隨機變數,每一個特定變 量出現的機率不同,因此,樣本統計量為一 機率分配,稱為樣本統計的抽樣分配 (sampling distribution),為多次抽樣結果的機 率分佈。 社會統計(上) ©蘇國賢 2000 7
Derivation of a Sampling Distribution 抽樣分配 Sampling distribution of sample mean Sampling distribution of sample median 樣本平均數 的抽樣分配 社會統計(上) ©蘇國賢 2000 觀 念 樣本中位數 的抽樣分配 14
Calculating E(X) and E(M) Sampling distribution of the sample mean Sampling distribution of the sample median 社會統計(上) ©蘇國賢 2000 觀 念 19
Biased and unbiased estimators Unbiased estimator. Biased estimator of Sampling distribution of B Sampling distribution of A E(A ) E(B ) Bias of B 社會統計(上) ©蘇國賢 2000 20
Relative Efficiency • Let A and B be two unbiased estimators of some population parameter. The relative efficiency of A with respect to B is the ratio of their variances; that is; • The estimator A is said to be more efficient than B if Var(A) < Var(B) 社會統計(上) ©蘇國賢 2000 23
Relative Efficiency • 假設X~N( , 2) Sampling distribution of X Sampling distribution of M E(X) = E(M) =μ 社會統計(上) ©蘇國賢 2000 24
Minimum Variance Unbiased Estimator • An estimator A is a minimum variance unbiased estimator of if A is an unbiased estimator of AND if no other unbiased estimator has a smaller variance. 社會統計(上) ©蘇國賢 2000 25
Sampling Distribution of Sample Mean 抽樣分配較原分配接近常態分配 E(X)=30. 47 Sx=2. 573 =30. 47 =16. 54 社會統計(上) ©蘇國賢 2000 28
Very simple random sample (VSRS) 觀 念 A very simple random sample is a sample whose n observations x 1, x 2, …xn are independent. The distribution of each X is the population distribution p(x): that is P(x 1) = P( x 2) … = P(xn) = population distribution P(x) Then each observation has the mean μ and standard deviation σof the population. E(x) = μ, Var(X) = σ2 社會統計(上) ©蘇國賢 2000 30
Standard Error of X-bar • The typical deviation of X from its target u represent the estimate error, and so it is commonly called the standard error, or SE: 社會統計(上) ©蘇國賢 2000 35
Small-population sampling • If sampling is done without replacement from a finite population containing N elements, then the variance of X is Finite population correction factor 社會統計(上) ©蘇國賢 2000 36
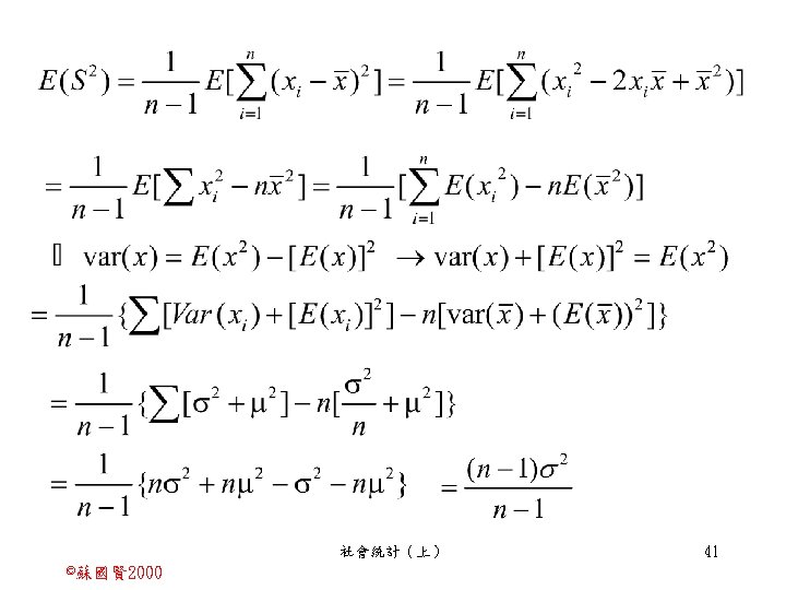
Variance of Discrete Random Variable 社會統計(上) ©蘇國賢 2000 40
Page 314, Table 7. 2 母體:A = 76, B = 78, C=79, D=81, E=86 社會統計(上) ©蘇國賢 2000 70
Page 314, Figure 7. 1 社會統計(上) ©蘇國賢 2000 71
Page 316, Figure 7. 3 社會統計(上) ©蘇國賢 2000 72
Page 316, Table 7. 4 社會統計(上) ©蘇國賢 2000 73
The Central Limit Theorem • 當母體為常態分配時,無論樣本數大小,樣 本平均數的抽樣分配必為常態。 • Suppose we select a random sample of n observations from any population having mean u and standard deviation . If n is sufficiently large (n=20~30), the sampling distribution of X will be: The approximation improves as the sample size increase. 社會統計(上) ©蘇國賢 2000 77
Page 330, Figure 7. 6 社會統計(上) ©蘇國賢 2000 81
例題 • (1) Suppose a large class in statistics has marks normally distributed around a mean of 72 with a standard deviation of 9. Find the probability that an individual student draw at random will have a mark over 80. • (2) Find the probability that a random sample of 10 students will have an average mark over 80. 社會統計(上) ©蘇國賢 2000 83
- Slides: 86